Turning Data Optimization of Titanium Alloy Produced by Casting and DMLS
Abstract
1. Introduction
2. Materials and Methods
3. Results and Discussion
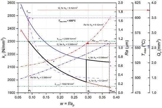
4. Application of the Algorithm
- Selection of Limit Values
- Ra_limit—allowable surface roughness after machining;
- T_limit—maximum permissible temperature in the cutting zone;
- w_limit—limit value of the ratio of feed to depth of cut;
- kc_limit—allowable value of the specific cutting force;
- Qv_limit—minimum required volumetric efficiency of the process.
- 2.
- Determination of the Input Parameter Set
- 3.
- Verification of the Limiting Criteria
- kc_limit = 2300 N/mm2 and 1950 N/mm2—allowable specific cutting force;
- Ra_limit < 1.1 µm—allowable surface roughness;
- T_max_limit < 600 °C—allowable cutting-zone temperature;
- Qv_limit—minimum volumetric efficiency.
- The specific cutting force kc decreases;
- The maximum temperature T_max also decreases;
- Surface roughness Ra increases slightly;
- Volumetric efficiency Qv increases.
5. Conclusions
- -
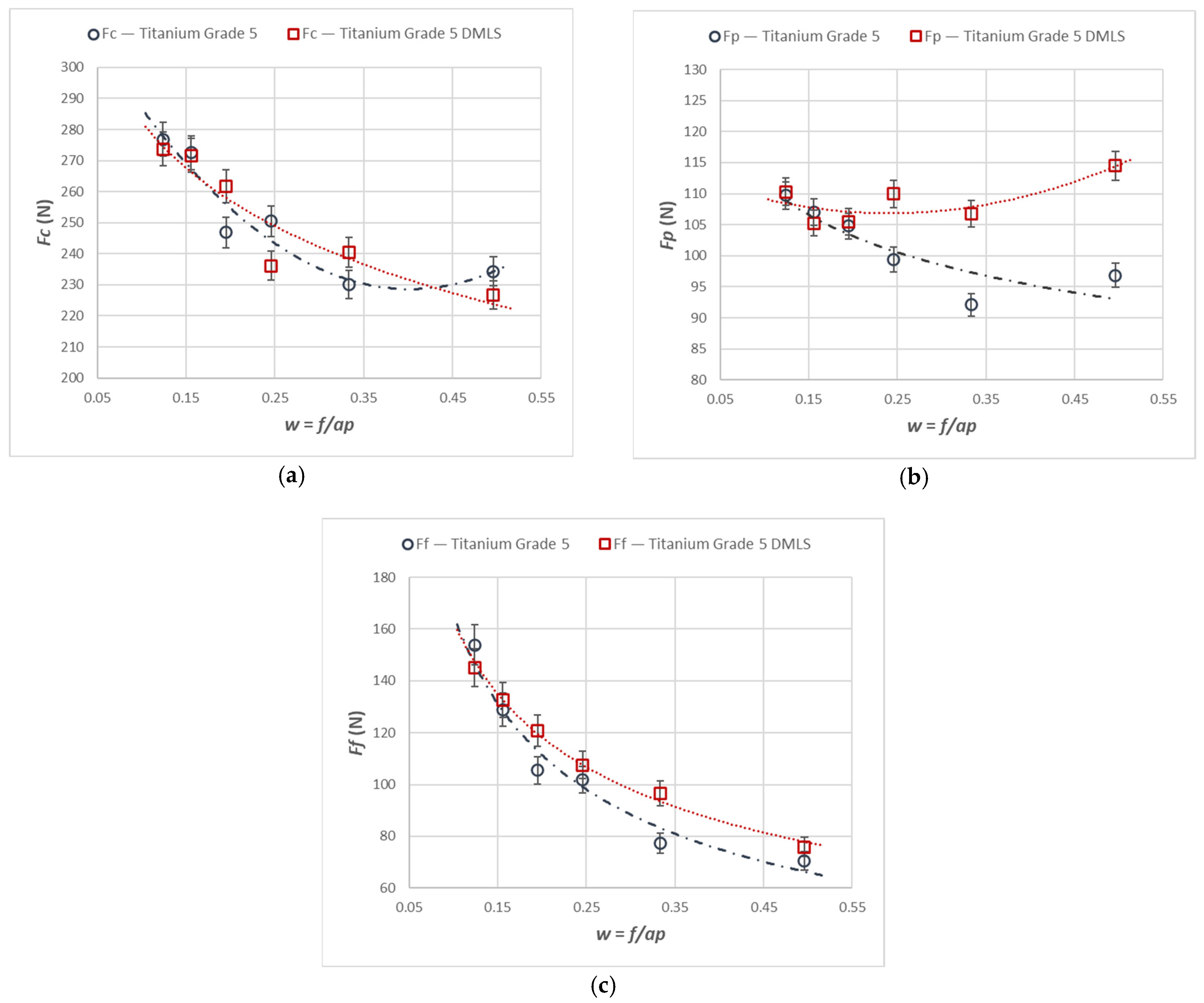
- The values of all components of the total cutting force during turning of additively manufactured material are similar to, or slightly higher than, those observed when turning cast material. A progressive increase in these differences was observed for parameters above w > 0.15. For w < 0.15, the cutting force values during turning of cast and laser-sintered material are comparable across all components.
- -
- By modifying the cross-sectional shape of the machined layer, the turning process can be carried out at reduced cutting resistance. However, in the present case, in order to maintain the surface roughness requirement of Ra ≤ 1.1 µm, a slight increase in the specific cutting resistance kc is necessary.
Author Contributions
Funding
Institutional Review Board Statement
Informed Consent Statement
Data Availability Statement
Conflicts of Interest
References
- Chunxiang, C.; BaoMin, B.; Lichen, Z.; Shuangjin, L. Titanium alloy production technology, market prospects and industry development. Mater. Des. 2011, 32, 1684–1691. [Google Scholar] [CrossRef]
- Pushp, P.; Dasharath, S.M.; Arati, C. Classification and Applications of Titanium and Its Alloys. Mater. Today Proc. 2022, 54, 537–542. [Google Scholar] [CrossRef]
- Gupta, K.; Laubscher, R.F. Sustainable machining of titanium alloys. A critical review. Proc. Inst. Mech. Eng. Part B J. Eng. Manuf. 2016, 231, 2543–2560. [Google Scholar] [CrossRef]
- Schwartz, A.; Kossenko, A.; Zinigrad, M.; Danchuk, V.; Sobolev, A. Cleaning Strategies of Synthesized Bioactive Coatings by PEO on Ti-6Al-4V Alloys of Organic Contaminations. Materials 2023, 16, 4624. [Google Scholar] [CrossRef] [PubMed]
- Blakely-Milner, B.; Gradal, P.; Snedden, G.; Brooks, M.; Pitot, J.; Lopez, E.; Leary, M.; Berto, F.; du Plessis, A. Metal additive manufacturing in aerospace: A review. Mater. Des. 2021, 209, 110008. [Google Scholar] [CrossRef]
- Shafir, S.; Rahime, E.; Sasahara, H. Machinability of Titanium Alloys in Drilling, Titanium Alloys. In Towards Achieving Enhanced Properties for Diversified Applications; IntechOpen: Rijeka, Croatia, 2012; pp. 117–138. [Google Scholar]
- Dudek, Ł.; Hryniewicz, T.; Rokosz, K. Zastosowanie Tytanu i wybranych stopów tytanu w lotnictwie. Autobusy Tech. Eksploat. Syst. Transp. 2016, 8, 62–66. [Google Scholar]
- Sachdev, A.K.; Kulkarni, K.; Fang, Z.Z.; Yang, R.; Girshov, V. Titanium for Automotive Applications: Challenges and Opportunities in Materials and Processing. J. Miner. Met. Mater. Soc. 2012, 64, 553–565. [Google Scholar] [CrossRef]
- El-Hadad, S.; Elsayed, A.; Shi, B.; Attia, H. Experimental Investigation on Machinability of Titanium Alloys with Different Microstructures. Materials 2023, 16, 7157. [Google Scholar] [CrossRef]
- Siju, A.S.; Waigaonkar, S.D. Effects of rake surface texture geometries on the performance of single-point cutting tools in hard turning of titanium alloy. J. Manuf. Process. 2021, 69, 235–252. [Google Scholar] [CrossRef]
- Hosokawa, A.; Kosugi, K.; Ueda, T. Turning characteristics of titanium alloy Ti-6Al-4V with high-pressure cutting fluid. CIRP Ann. 2022, 71, 81–84. [Google Scholar] [CrossRef]
- Shetty, P.K.; Shetty, R.; Shetty, D.; Rehaman, F.; Jose, T.K. Machinability Study on Dry Drilling of Titanium Alloy Ti-6-Al-4V using L9 Orthogonal Array. Procedia Mater. Sci. 2014, 5, 2605–2614. [Google Scholar] [CrossRef]
- Seketi, S.; Odelros, S.; Östby, J.; Olsson, M. Experimental Study of Wear Mechanisms of Cemented Carbide in the Turning of Ti6Al4V. Materials 2019, 12, 2822. [Google Scholar] [CrossRef] [PubMed]
- Gutowski, T.; Dahmus, J.; Thirie, A. Electrical energy requirements for manufacturing processes. In Proceedings of the 13th CIRP International Conference on Life Cycle Engineering, Leuven, Belgium, 31 May–2 June 2006. [Google Scholar]
- Da Silva, R.B.; Machado, Á.R.; Ezugwu, E.O.; Bonney, J.; Sales, W.F. Tool life and wear mechanisms in high speed machining of Ti-6Al-4V alloy with PCD tools under various coolant pressures. J. Mater. Process. Technol. 2013, 213, 1459–1464. [Google Scholar] [CrossRef]
- Lindvall, R.; Bjerke, A.; Salmasi, A.; Lenrick, F.; M’Saoubi, R.; Stahl, J.E.; Bushyla, V. Predicting wear mechanisms of ultra-hard tooling in machining Ti6Al4V by diffusion couples and simulation. J. Eur. Ceram. Soc. 2023, 43, 291–303. [Google Scholar] [CrossRef]
- Rao, R.V.; Kalyanakar, V.D. Optimization of modern machining processes using advanced optimization techniques. A review. Int. J. Adv. Manuf. Technol. 2014, 73, 1159–1188. [Google Scholar] [CrossRef]
- Jawahir, I.S.; Wang, X. Development of hybrid predictive models and optimization techniques for machining operations. J. Mater. Process. Technol. 2007, 185, 46–59. [Google Scholar] [CrossRef]
- Löschner, P.; Niesłony, P.; Kołodziej, S. Parameter Sensitivity Study of the Johnson–Cook Model in FEM Turning of Ti6Al4V Alloy. Materials 2025, 18, 3351. [Google Scholar] [CrossRef] [PubMed]
- Sánchez Hernández, Y.; Trujillo Vilches, F.J.; Bermudo Gamboa, C.; Sevilla Hurtado, L. Experimental parametric relationships for chip geometry in dry machining of the Ti6Al4V alloy. Materials 2018, 11, 1260. [Google Scholar] [CrossRef]
- Pimenov, D.Y.; Mia, M.; Gupta, M.K.; Machado, A.R.; Tomaz, I.V.; Sarikaya, M.; Wojciechowski, S.; Mikołajczyk, T.; Kapłonek, W. Improvement of machinability of Ti and its alloys using cooling-lubrication techniques: A review and future prospect. J. Mater. Res. Technol. 2021, 11, 719–753. [Google Scholar] [CrossRef]
- Kumari, S.; Shah, M.; Modi, Y.; Bandhu, D.; Zadafiya, K.; Abhishek, K.; Saxena, K.K.; Msomi, V.; Mohammed, K.A. Effect of Various Lubricating Strategies on Machining of Titanium Alloys: A State-of-the-Art Review. Coatings 2022, 12, 1178. [Google Scholar] [CrossRef]
- Singh, J.; Gill, S.S.; Dogra, M.; Singh, R. A review on cutting fluids used in machining processes. Eng. Res. Express 2021, 3, 012002. [Google Scholar] [CrossRef]
- Zhang, P.; Liu, Z. Modeling and prediction for 3D surface topography in finish turning with conventional and wiper inserts. Measurement 2016, 94, 37–45. [Google Scholar] [CrossRef]
- Sartori, S.; Bordin, A.; Ghiotti, A.; Bruschi, S. Analysis of the surface integrity in cryogenic turning of Ti6Al4V produced by Direct Melting Laser Sintering. Procedia CIRP 2016, 45, 123–126. [Google Scholar] [CrossRef]
- Martínez, E.G.; Miguel, V.; Martínez, A.M.; Manjabacas, M.C.; Coello, J. Sustainable Lubrication Methods for the Machining of Titanium Alloys: An Overview. Materials 2019, 12, 3852. [Google Scholar] [CrossRef]
- Gupta, M.; Sood, P.K.; Singh, G.; Sharma, V.S. Sustainable machining of aerospace material–Ti (grade-2) alloy: Modeling and optimization. J. Clean. Prod. 2017, 147, 614–627. [Google Scholar] [CrossRef]
- Wang, X.; Da, Z.J.; Balaji, A.K.; Jawahir, I.S. Performance-based predictive models and optimization methods for turning operations and applications: Part 3—Optimum cutting conditions and selection of cutting tools. J. Manuf. Process. 2007, 9, 61–74. [Google Scholar] [CrossRef]
- Lisowicz, J.; Krupa, K.; Leksycki, K.; Rusinek, R.; Wojciechowski, S. Analysis of Tool Wear in Finish Turning of Titanium Alloy Ti-6Al-4V Under Minimum Quantity Lubrication Conditions Observed with Recurrence Quantification Analysis. Materials 2025, 18, 79. [Google Scholar] [CrossRef] [PubMed]
- Wang, Z.; Tan, Y.; Ning, L. Powder metallurgy of titanium alloys: A brief review. J. Alloys Compd. 2023, 965, 171030. [Google Scholar] [CrossRef]
- Guo, M.; Gu, D.; Xi, L.; Du, L.; Zhanga, H.; Zhanga, J. Formation of scanning tracks during Selective Laser Melting (SLM) of pure tungsten powder: Morphology, geometric features and forming mechanisms. Int. J. Refract. Met. Hard Mater. 2019, 79, 37–46. [Google Scholar] [CrossRef]
- Srivastava, M.; Jayakumar, V.; Udayan, Y.; Sathishkumar, M.; Muthu, S.M.; Gautam, P.; Nag, A. Additive manufacturing of Titanium alloy for aerospace applications: Insights into the process, microstructure, and mechanical properties. Appl. Mater. Today 2024, 41, 102481. [Google Scholar] [CrossRef]
- Schuch, M.; Hahn, T.; Herzig, N.; Bleckmann, M. The Mechanical Behavior and Microstructure of Additively Manufactured Ti6AI4V for Different Material States and Loading Conditions. J. Dyn. Behav. Mater. 2022, 8, 273–284. [Google Scholar] [CrossRef]
- Boyer, R.R. An overview on the use of titanium in the aerospace industry. Mater. Sci. Eng. 1996, A213, 103–114. [Google Scholar] [CrossRef]
- Champin, B.; Graff, L.; Armand, M.; Béranger, G.; Coddet, C. Oxydation des alliages de titane au voisinage des températures d’utilisation dans les turbomoteurs. J. Less Common Met. 1980, 69, 163–183. [Google Scholar] [CrossRef]
- Zębala, W.; Struzikiewicz, G.; Rumian, K. Cutting Forces and Tool Wear Investigation during Turning of Sintered Nickel-Cobalt Alloy with CBN Tools. Materials 2021, 14, 1623. [Google Scholar] [CrossRef] [PubMed]
- Dejian, L.; Chenbing, N.; Yougiang, W.; Zhu, L. Review of serrated chip characteristics and formation mechanism from conventional to additively manufactured titanium alloys. J. Alloys Compd. 2024, 970, 172573. [Google Scholar]








| Property | Value |
|---|---|
| Mechanical | |
| Tensile strength (MPa) | 1000 |
| Yield strength (Rp 0.2%) (MPa) | 900 |
| Hardness (HRC) | 30 |
| Elongation to break A (%) | 15 |
| Percent reduction in area after fracture (Z) | 41 |
| Element | Ti | Al | V | O | Fe | C | Mn | N | H |
|---|---|---|---|---|---|---|---|---|---|
| wt.(%) | rest. | 5.5–6.75 | 3.5–4.5 | 0.2 max | 0.3 max | 0.06 | 0.05 | 0.05 | 0.01 |
| No. | Coded Parameter | AD = 0.08 mm2 | AD = 0.12 mm2 | ||||
|---|---|---|---|---|---|---|---|
| A | B | vc (m/min) | f (mm/rev) | ap (mm) | f (mm/rev) | ap (mm) | |
| 1. | 1 | 1 | 30 | 0.084 | 1 | 0.124 | 1 |
| 2. | 2 | 2 | 30 | 0.092 | 0.9 | 0.14 | 0.9 |
| 3. | 3 | 3 | 30 | 0.1 | 0.8 | 0.156 | 0.8 |
| 4. | 4 | 4 | 30 | 0.124 | 0.7 | 0.172 | 0.7 |
| 5. | 5 | 5 | 30 | 0.14 | 0.6 | 0.2 | 0.6 |
| 6. | 6 | 6 | 30 | 0.172 | 0.5 | 0.248 | 0.5 |
| Cross-Section of Cutting Layer | Titanium Grade 5 | Titanium Grade 5 DMLS |
|---|---|---|
| AD = 0.08 mm2 | ap = 1.0 mm, f = 0.084 mm/rev. | ap = 1.0 mm, f = 0.084 mm/rev. |
![]() | ![]() | |
| ap = 0.8 mm, f = 0.100 mm/rev. | ap = 0.8 mm, f = 0.100 mm/rev. | |
![]() | ![]() | |
| ap = 0.5 mm, f = 0.172 mm/rev. | ap = 0.5 mm, f = 0.172 mm/rev. | |
![]() | ![]() | |
| AD = 0.12 mm2 | ap = 1.0 mm, f = 0.084 mm/rev. | ap = 1.0 mm, f = 0.084 mm/rev. |
![]() | ![]() | |
| ap = 0.8 mm, f = 0.100 mm/rev. | ap = 0.8 mm, f = 0.100 mm/rev. | |
![]() | ![]() | |
| ap = 0.5 mm, f = 0.172 mm/rev. | ap = 0.5 mm, f = 0.172 mm/rev. | |
![]() | ![]() |
Disclaimer/Publisher’s Note: The statements, opinions and data contained in all publications are solely those of the individual author(s) and contributor(s) and not of MDPI and/or the editor(s). MDPI and/or the editor(s) disclaim responsibility for any injury to people or property resulting from any ideas, methods, instructions or products referred to in the content. |
© 2025 by the authors. Licensee MDPI, Basel, Switzerland. This article is an open access article distributed under the terms and conditions of the Creative Commons Attribution (CC BY) license (https://creativecommons.org/licenses/by/4.0/).
Share and Cite
Latosińska, K.; Zębala, W. Turning Data Optimization of Titanium Alloy Produced by Casting and DMLS. Materials 2025, 18, 5583. https://doi.org/10.3390/ma18245583
Latosińska K, Zębala W. Turning Data Optimization of Titanium Alloy Produced by Casting and DMLS. Materials. 2025; 18(24):5583. https://doi.org/10.3390/ma18245583
Chicago/Turabian StyleLatosińska, Ksenia, and Wojciech Zębala. 2025. "Turning Data Optimization of Titanium Alloy Produced by Casting and DMLS" Materials 18, no. 24: 5583. https://doi.org/10.3390/ma18245583
APA StyleLatosińska, K., & Zębala, W. (2025). Turning Data Optimization of Titanium Alloy Produced by Casting and DMLS. Materials, 18(24), 5583. https://doi.org/10.3390/ma18245583













