Modeling of Heat Treatment Processes in a Vortex Layer of Dispersed Materials
Abstract
1. Introduction
2. Materials and Methods
2.1. Raw Materials and Characterization
2.2. Principles of Foaming and Structural Formation
2.3. Formulation Strategy and Component Modification
2.4. Raw Mixture Composition and Preparation
2.5. Thermal Processing Stages
2.6. PM Characteristics and Pore Analysis
3. Mathematical Modeling of Pore Formation Dynamics
3.1. Modeling the Dynamics of Pore Growth
3.2. Thermodynamic Criteria for Gas-Forming and Expansion Processes
3.3. Comprehensive Model for Pore Evolution
- -
- model for the kinetics of a gas bubble in a viscous, solidifying liquid.
- -
- model for thermodynamic processes inside the gas-vapor bubble.
- -
- model for heat and mass exchange processes at the bubble boundary.
- -
- modeling of phase transition in the surrounding liquid.
- -
- modeling of heat exchange processes in the liquid surrounding the bubble.
- -
- the gas-vapor bubble has a spherical shape;
- -
- the liquid is viscous and incompressible.
3.3.1. Hydrodynamics, Mass Transfer, and Equilibrium
3.3.2. Thermodynamics and Equations of State
3.4. Results of Mathematical Modeling
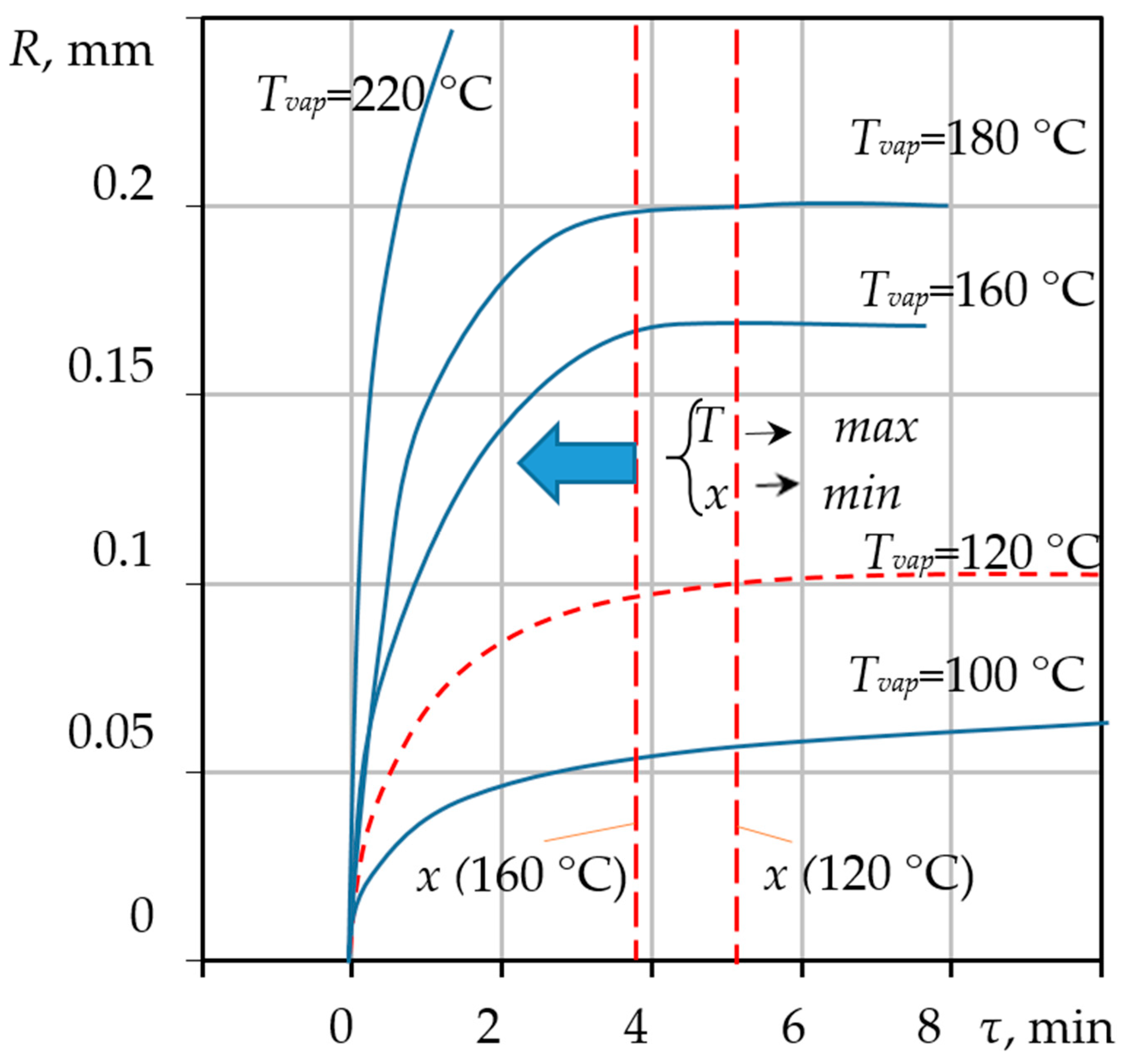
3.4.1. Temperature and Pore Growth Dynamics
3.4.2. Analysis of Mass Transfer Kinetics
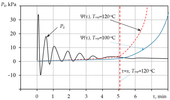
- The maximum values of the specific mass flux are consistently observed to correspond with the temperature ranges of the endothermic effects recorded in the DTA data. This correspondence confirms that the peak mass transfer intensity is directly driven by the phase transition (evaporation) occurring at the gel-vapor interface, which requires significant latent heat input.
- The results strongly demonstrate the dependence of mass transfer kinetics and thus the final porous structure on the external thermal conditions . At a moderate heating temperature , the specific mass flux stabilizes at a lower equilibrium value, facilitating a slower, more controlled release of vapor. This kinetic regime allows the surrounding gel matrix to potentially solidify or compact around the pore before maximum expansion is achieved, leading predominantly to a structure with closed porosity. Conversely, at a high heating temperature , the mass flux increases dramatically, stabilizing around = 2.6 . This rapid, intense evaporation rate drives a swift and powerful pore expansion that likely exceeds the rate of gel hardening, preventing the formation of dense, closed walls and resulting in the desired open porosity. Crucially, the entire pore formation phase concludes in approximately 5 min. This extremely brief and dynamic processing window establishes a critical technological constraint, confirming the theoretical necessity of employing specialized, high-efficiency equipment, such as VLR, to ensure the uniform and controlled heat application required for precise porosity synthesis.
4. Results
4.1. Trajectory Dependence on Injection Strategy and Flow Velocity
4.2. Technological and Design Implications and Future Directions
4.3. Material Characteristics and Pore Analysis
5. Conclusions
- -
- the optimal thermal treatment temperatures necessary for the rapid expansion of the fly ash-based mixture were precisely determined;
- -
- a direct, quantifiable relationship was established between the final average pore size and the duration of the intense thermal processing;
- -
- the feasibility of controlled synthesis of lightweight porous geopolymers was definitively demonstrated by precisely adjusting the processing regimes, intensity, and duration of the heat application.
Author Contributions
Funding
Institutional Review Board Statement
Informed Consent Statement
Data Availability Statement
Conflicts of Interest
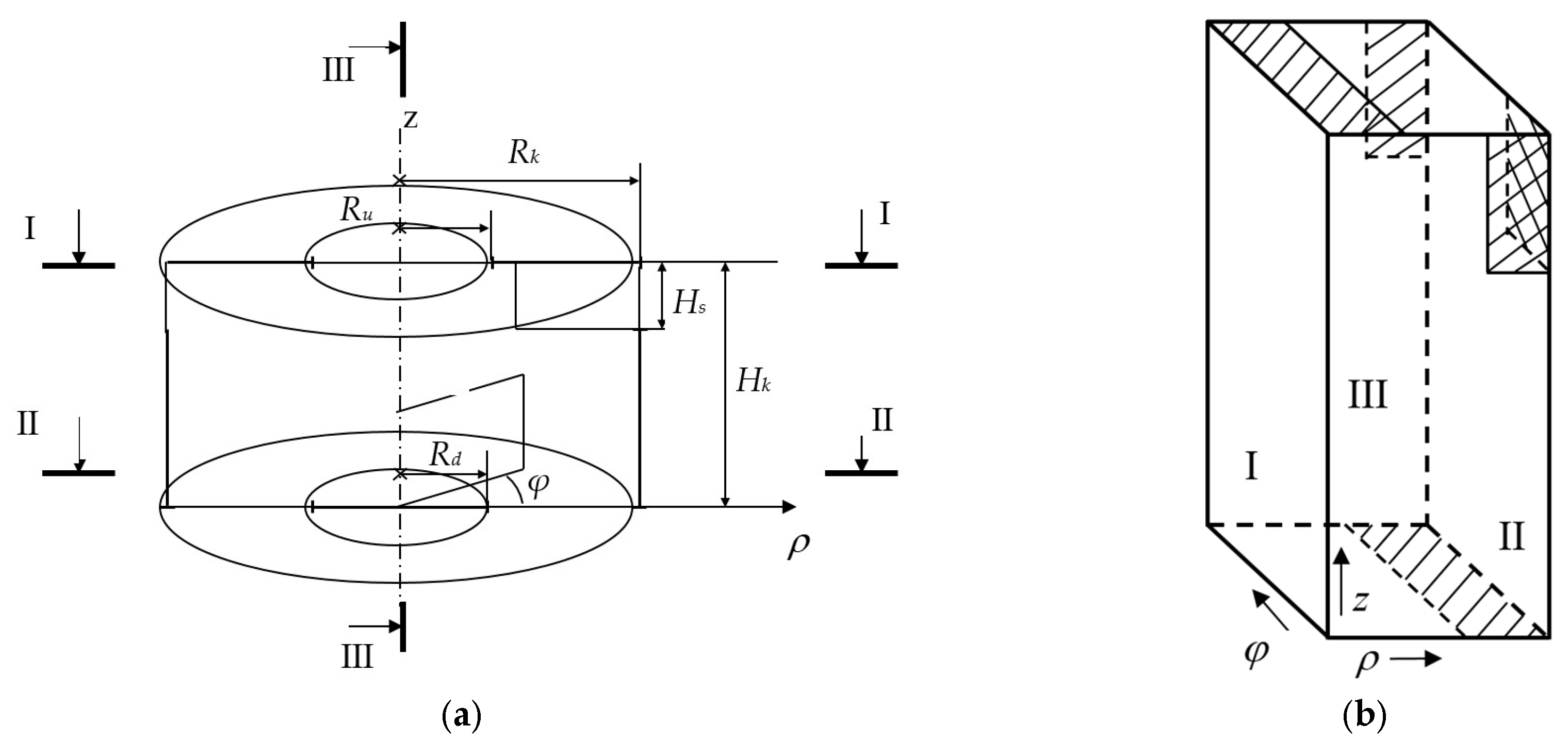
Appendix A. Technological Implementation and VLR Modeling
Appendix A.1. Mathematical Model of Porous Material Thermal Treatment in the Vortex Gas Layer

Appendix A.2. Hydrodynamic Flow Field Analysis


Appendix A.3. Mathematical Model of Particle Trajectory and Thermal Coupling
Appendix A.4. Equation of Particle Motion
Appendix A.5. Thermal Model of the Particle
Appendix B. Trajectory Dependence on Injection Strategy and Flow Velocity

References
- Liu, C.; Guo, R.; Su, Y. A deep learning based prediction model for effective elastic properties of porous materials. Sci. Rep. 2025, 15, 6707. [Google Scholar] [CrossRef]
- Singh, R.P.; Vanapalli, K.R.; Jadda, K.; Mohanty, B. Durability assessment of fly ash, GGBS, and silica fume based geopolymer concrete with recycled aggregates against acid and sulfate attack. J. Build. Eng. 2024, 82, 108354. [Google Scholar] [CrossRef]
- Xi, Z.; Tang, S.; Zhang, S.; Qi, Y.; Wang, X. Evaluation of mechanical properties of porous media materials based on deep learning: Insights from pore structure. Fuel 2024, 371, 131923. [Google Scholar] [CrossRef]
- Chen, K.; Qin, H.; Ren, Z. Establishment of the microstructure of porous materials and its relationship with effective mechanical properties. Sci. Rep. 2023, 13, 18064. [Google Scholar] [CrossRef] [PubMed]
- Fan, Z.; Zuo, C.; Guo, C.; Yang, Z.; Yan, X.; Li, X. Uncertainty Quantification in Predicting Physical Property of Porous Medium With Bayesian Evidential Learning. IEEE Trans. Geosci. Remote Sens. 2024, 62, 4508717. [Google Scholar] [CrossRef]
- Deng, W.; Kumar, S.; Vallone, A.; Kochmann, D.M.; Greer, J.R. AI-Enabled Materials Design of Non-Periodic 3D Architectures With Predictable Direction-Dependent Elastic Properties. Adv. Mater. 2024, 36, e2308149. [Google Scholar] [CrossRef] [PubMed]
- Moghadasi, M.; Abbasi, M.; Mousavi, M.; Apoorvari, M.A.; Khoshghamat, A.; Hosseini, A.; Jalaeian, S.; Sheida, M.; Mobaraki, M.; Torabi, E.; et al. Porous materials in analytical sample preparation: Current status and future perspectives. TrAC Trends Anal. Chem. 2025, 186, 118193. [Google Scholar] [CrossRef]
- Luo, M.; Wang, C.; Zhao, J.; Liu, L. Characteristics of effective thermal conductivity of porous materials considering thermal radiation: A pore-level analysis. Int. J. Heat Mass Transf. 2022, 188, 122597. [Google Scholar] [CrossRef]
- Encalada, Á.; Espinoza-Andaluz, M.; Andersson, M. Thermal Conductivity Correlation for Microscale Porous Media by Using OpenPNM. In Advances in Heat Transfer and Thermal Engineering; Wen, C., Yan, Y., Eds.; Springer: Singapore, 2021. [Google Scholar] [CrossRef]
- Liu, B.; Zhao, J.; Grigoriev, S.; Gusarov, A. Gusarov, Particle non-isothermality effect on the radiative thermal conductivity in dense particulate systems. Int. J. Heat Mass Transf. 2023, 204, 123822. [Google Scholar] [CrossRef]
- Basok, B.; Davydenko, B.; Novikov, V.; Pavlenko, A.M.; Novitska, M.; Sadko, K.; Goncharuk, S. Evaluation of Heat Transfer Rates through Transparent Dividing Structures. Energies 2022, 15, 4910. [Google Scholar] [CrossRef]
- Liu, B.; Zhao, J.; Liu, L. Continuum approach based on radiation distribution function for radiative heat transfer in densely packed particulate system. J. Quant. Spectrosc. Radiat. Transf. 2020, 253, 107028. [Google Scholar] [CrossRef]
- Pavlenko, A.; Koshlak, H. Production of porous material with projected thermophysical characteristics. Metall. Min. Ind. 2015, 1, 123–127. [Google Scholar]
- Buyak, N.; Deshko, V.; Bilous, I.; Pavlenko, A.; Sapunov, A.; Biriukov, D. Dynamic interdependence of comfortable thermal conditions and energy efficiency increase in a nursery school building for heating and cooling period. Energy 2023, 283, 129076. [Google Scholar] [CrossRef]
- Pásztory, Z.; Anh Le, D.H. An overview of factors influencing thermal conductivity of building insulation materials. J. Build. Eng. 2021, 44, 102604. [Google Scholar] [CrossRef]
- Ali, A.; Issa, A.; Elshaer, A. A Comprehensive Review and Recent Trends in Thermal Insulation Materials for Energy Conservation in Buildings. Sustainability 2024, 16, 8782. [Google Scholar] [CrossRef]
- Wang, X.; Wang, X.; Niu, X.; Qiu, X.; Wang, L. Effects of Pore Complex Shape, Distribution and Overlap on the Thermal Conductivity of Porous Insulation Materials. Int. J. Thermophys. 2020, 41, 145. [Google Scholar] [CrossRef]
- Qiu, L.; Zou, H.; Tang, D.; Wen, D.; Feng, Y.; Zhang, X. Inhomogeneity in pore size appreciably lowering thermal conductivity for porous thermal insulators. Appl. Therm. Eng. 2018, 130, 1004–1011. [Google Scholar] [CrossRef]
- Babaei, H.; McGaughey, A.J.H.; Wilmer, C.E. Effect of pore size and shape on the thermal conductivity of metal-organic frameworks. Chem. Sci. 2017, 8, 583–589. [Google Scholar] [CrossRef]
- Wang, L.; Ye, L.; Cheng, X.; Huang, C.; Zhang, Y.; Situ, Y.; Huang, H. Shape-stabilized polyethylene glycol composite phase change materials based on dendritic mesoporous silica sphere support for thermal energy storage. Sol. Energy Mater. Sol. Cells 2025, 282, 113425. [Google Scholar] [CrossRef]
- Zhu, J. Impact of Size Distribution of Cell Model on the Effective Thermal Conductivity of Saturated Porous Media. Int. J. Thermophys. 2020, 41, 34. [Google Scholar] [CrossRef]
- Pavlenko, A.M.; Usenko, B.O.; Koshlak, H.V. Analysis of thermal peculiarities of alloying with special properties. Metall. Min. Ind. 2014, 2, 15–19. [Google Scholar]
- Skibinski, J.; Cwieka, K.; Ibrahim, S.H.; Wejrzanowski, T. Influence of Pore Size Variation on Thermal Conductivity of Open-Porous Foams. Materials 2019, 12, 2017. [Google Scholar] [CrossRef]
- Degefu, D.M.; Liao, Z.; Berardi, U.; Labbé, G. The effect of activator ratio on the thermal and hygric properties of aerated geopolymers. J. Build. Eng. 2022, 45, 103414. [Google Scholar] [CrossRef]
- Gadkar, A.; Subramaniam, K.V. Tailoring porosity and pore structure of cellular geopolymers for strength and thermal conductivity. Constr. Build. Mater. 2023, 393, 132150. [Google Scholar] [CrossRef]
- Wang, X.; Gu, W.; Lu, H. Effects of three-dimensional pore structure on effective thermal conductivities of thermal insulation materials. Int. Commun. Heat Mass Transf. 2022, 139, 106523. [Google Scholar] [CrossRef]
- Song, Y.; Xue, C.; Guo, W.; Bai, Y.; Shi, Y.; Zhao, Q. Foamed geopolymer insulation materials: Research progress on insulation performance and durability. J. Clean. Prod. 2024, 444, 140991. [Google Scholar] [CrossRef]
- Zhang, H.; Liang, Q.; Shao, M.; Jiang, N.; Ma, W.; Ge, Z.; Šavija, B. Optimization of low-carbon lightweight foamed concrete using ground circulating fluidized bed fly ash. J. Clean. Prod. 2025, 489, 144697. [Google Scholar] [CrossRef]
- Yatsenko, E.A.; Goltsman, B.M.; Trofimov, S.V.; Kurdashov, V.M.; Novikov, Y.V.; Smoliy, V.A.; Ryabova, A.V.; Klimova, L.V. Improving the Properties of Porous Geopolymers Based on TPP Ash and Slag Waste by Adjusting Their Chemical Composition. Materials 2022, 15, 2587. [Google Scholar] [CrossRef]
- Amin, M.; Elsakhawy, Y.; Abu El-Hassan, K.; Abdelsalam, B.A. Behavior evaluation of sustainable high strength geopolymer concrete based on fly ash, metakaolin, and slag. Case Stud. Constr. Mater. 2022, 16, e00976. [Google Scholar] [CrossRef]
- Singh, R.P.; Vanapalli, K.R.; Cheela, V.R.S.; Peddireddy, S.R.; Sharma, H.B.; Mohanty, B. Fly ash, GGBS, and silica fume based geopolymer concrete with recycled aggregates: Properties and environmental impacts. Constr. Build. Mater. 2023, 378, 131168. [Google Scholar] [CrossRef]
- Singh, G.B.; Prasad, V.D. Environmental impact of concrete containing high volume fly ash and ground granulated blast furnace slag. J. Clean. Prod. 2024, 448, 141729. [Google Scholar] [CrossRef]
- Gogineni, A.; Panday, I.K.; Kumar, P.; Paswan, R.K. Predicting compressive strength of concrete with fly ash and admixture using XGBoost: A comparative study of machine learning algorithms. Asian J. Civ. Eng. 2024, 25, 685–698. [Google Scholar] [CrossRef]
- Nayak, D.K.; Abhilash, P.; Singh, R.; Kumar, R.; Kumar, V. Fly ash for sustainable construction: A review of fly ash concrete and its beneficial use case studies. Clean. Mater. 2022, 6, 100143. [Google Scholar] [CrossRef]
- Wang, M.; Chen, D.; Wang, H.; Gao, W. A review on fly ash high-value synthesis utilization and its prospect. Green Energy Resour. 2024, 2, 100062. [Google Scholar] [CrossRef]
- Yu, S.; Chen, L.-H.; He, M.-Y.; Su, B.-L. Pore science and engineering: A new era of porous materials. Natl. Sci. Rev. 2025, 12, nwaf258. [Google Scholar] [CrossRef]
- Imoisili, P.E.; Jen, T.-C. Synthesis and characterization of amorphous nano silica from South African coal fly ash. Mater. Today Proc. 2024, 105, 21–26. [Google Scholar] [CrossRef]
- He, P.; Zhang, X.; Chen, H.; Zhang, Y. Waste-to-resource strategies for the use of circulating fluidized bed fly ash in construction materials: A mini review. Powder Technol. 2021, 393, 773–785. [Google Scholar] [CrossRef]
- Lee, S.; Chen, R.; Volz, S. Engineering and understanding of thermal conduction in materials. J. Appl. Phys. 2022, 132, 040401. [Google Scholar] [CrossRef]
- Pavlenko, A.; Koshlak, H.; Usenko, B. Peculiarities of controlled forming of porous structure. Metall. Min. Ind. 2014, 6, 92–95. [Google Scholar]
- Du, S.; Li, D.; Li, M.-J.; He, Y.-L. Numerical study on the effective thermal conductivity and thermal tortuosity of porous media with different morphologies. Sci. China Technol. Sci. 2024, 67, 1685–1694. [Google Scholar] [CrossRef]
- Wang, A.; Ma, Y.; Zhao, D. Pore engineering of Porous Materials: Effects and Applications. ACS Nano 2024, 18, 22829–22854. [Google Scholar] [CrossRef] [PubMed]
- Pavlenko, A.; Koshlak, H.; Usenko, B. Heat and mass transfer in fluidized layer. Metall. Min. Ind. 2014, 6, 96–100. [Google Scholar]
- Koshlak, H.; Pavlenko, A. Mathematical model of particle free settling in a vortex apparatus. Rocz. Ochr. Sr. 2020, 22, 727–734. [Google Scholar]
- ASTM C618-19; American Society for Testing and Materials, Standard Specification for Coal Fly Ash and Raw or Calcined Natural Pozzolan for Use in Concrete. ASTM: West Conshohocken, PA, USA, 2019.
- Koshlak, H. Synthesis of Zeolites from Coal Fly Ash Using Alkaline Fusion and Its Applications in Removing Heavy Metals. Materials 2023, 16, 4837. [Google Scholar] [CrossRef]
- Koshlak, H.; Pavlenko, A. Method of Formation of Thermophysical Properties of Porous Materials. Rocz. Ochr. Sr. 2019, 21, 1253–1262. [Google Scholar]
- Pavlenko, A.; Szkarowski, A. Thermal insulation with a high-porosity structure based on water glass and mineral fillers of post-production origin. Rocz. Ochr. Sr. 2018, 20, 725–740. [Google Scholar]
- ASTM C373-18; Standard Test Methods for Determination of Water Absorption and Associated Properties by Vacuum Method for Pressed Ceramic Tiles and Glass Tiles and Boil Method for Extruded Ceramic Tiles and Non-Tile Fired Ceramic Whiteware Products. ASTM: West Conshohocken, PA, USA, 2018.
- Pavlenko, A.M.; Koshlak, H. Application of Thermal and Cavitation Effects for Heat and Mass Transfer Process Intensification in Multicomponent Liquid Media. Energies 2021, 14, 7996. [Google Scholar] [CrossRef]
- Pavlenko, A.M.; Basok, B.I.; Avramenko, A.A. Heat conduction of a multi-layer disperse particle of emulsion. Heat Transf. Res. 2005, 36, 55–61. [Google Scholar] [CrossRef]
- Singh, P.; Hemachandran, E.; Prasad, U.; Singh, K.K.; Mallik, B. Numerical analysis of a gas-solid vortex dryer integrated with a waste heat recovery system. J. Taiwan Inst. Chem. Eng. 2025, 171, 106037. [Google Scholar] [CrossRef]
- Wang, L.; Xu, Y.; Fan, D. Numerical investigation of vortical structures and heat transfer in elliptic impinging synthetic jets. Int. Commun. Heat Mass Transf. 2025, 161, 108562. [Google Scholar] [CrossRef]









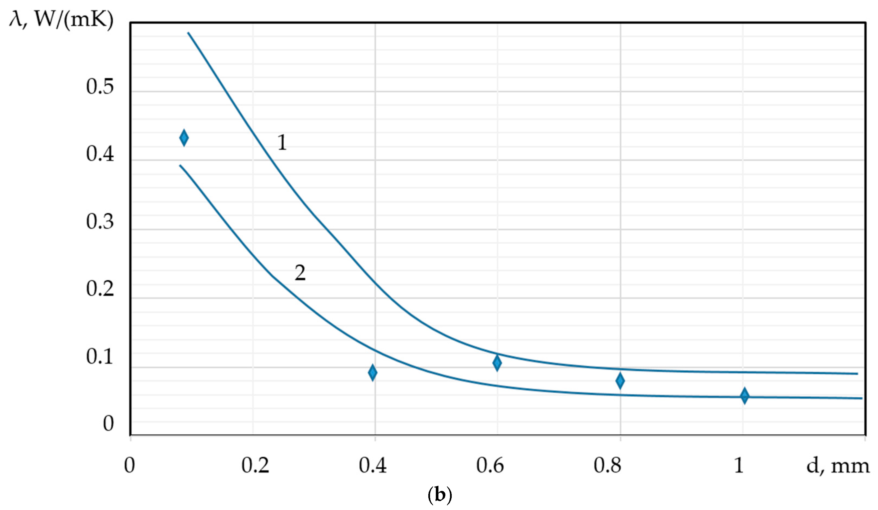
experimental data;
calculated values; 1—foamed concrete, 2—foamed granules (new PM).
experimental data;
calculated values; 1—foamed concrete, 2—foamed granules (new PM).

| Components | Composition (wt%) of CFA |
|---|---|
| SiO2 | 49.73 |
| Al2O3 | 24.57 |
| Fe2O3 | 7.15 |
| CaO | 4.65 |
| MgO | 3.19 |
| Na2O | 1.39 |
| K2O | 2.86 |
| TiO2 | 1.12 |
| P2O5 | 0.49 |
| MnO | 0.11 |
| Loss On Ignition | 7.0 |
| SO3 | 0.76 |
| Free CaO | 0.69 |
| ph, t = 22 °C | 11.75 |
| Component | Content, Parts by Mass |
|---|---|
| CFA | 100 |
| mineral filler | up to 20 |
| clay | up to 10 |
| up to 5 | |
| up to 5 | |
| water | 60 |
| up to 5 | |
| OPC | up to 10 |
| Mixture Designation | CFA, Mass Parts | OPC, Mass Parts | Total Mass, Parts | OPC Content, wt% |
|---|---|---|---|---|
| mixture 1 | 80 | 5 | 85 | 5.9 |
| mixture 2 | 70 | 15 | 85 | 17.6 |
| mixture 3 | 50 | 30 | 80 | 37.5 |
| Stage Designation | Temperature Range (T), °C | Physico-Chemical Process |
|---|---|---|
| stage I | 100–120 | transition from solid mixture to pseudo-plastic state (paste formation). |
| stage II | 120–150 | release of free and adsorbed water; initial pore formation (evaporation) |
| stage III | >150 | cessation of major water loss and structure rearrangement (hardening/crystallization). |
| Parameter | Unit | Foamed Granules (New PM) | Foamed Concrete | Expanded Clay Aggregate |
|---|---|---|---|---|
| thermal conductivity, | 0.045 | 0.09–0.38 | 0.09–0.1 | |
| compressive strength | MPa | 0.6–3.0 | 1–5 | 1–3 |
| water absorption | % | 3.0 | 10–16 | 15–25 |
| bulk density | kg/m3 | 160–180 | - | - |
| true density | kg/m3 | 360–440 | 400 | 280–700 |
| porosity | % | 75–80 | 80 | 80 |
| expansion coefficient | 7–8 | 0.34–0.57 | - | |
| average pore diameter | mm | 0.1–2.0 | - | - |
| Component | Content, Parts by Mass |
|---|---|
| fly ash | 100 |
| mineral filler | up to 20 |
| clay | up to 10 |
| up to 5 | |
| up to 5 | |
| water | 60 |
| up to 5 | |
| portland cement | up to 10 |
Disclaimer/Publisher’s Note: The statements, opinions and data contained in all publications are solely those of the individual author(s) and contributor(s) and not of MDPI and/or the editor(s). MDPI and/or the editor(s) disclaim responsibility for any injury to people or property resulting from any ideas, methods, instructions or products referred to in the content. |
© 2025 by the authors. Licensee MDPI, Basel, Switzerland. This article is an open access article distributed under the terms and conditions of the Creative Commons Attribution (CC BY) license (https://creativecommons.org/licenses/by/4.0/).
Share and Cite
Koshlak, H.; Pavlenko, A.; Basok, B.; Telega, J. Modeling of Heat Treatment Processes in a Vortex Layer of Dispersed Materials. Materials 2025, 18, 5459. https://doi.org/10.3390/ma18235459
Koshlak H, Pavlenko A, Basok B, Telega J. Modeling of Heat Treatment Processes in a Vortex Layer of Dispersed Materials. Materials. 2025; 18(23):5459. https://doi.org/10.3390/ma18235459
Chicago/Turabian StyleKoshlak, Hanna, Anatoliy Pavlenko, Borys Basok, and Janusz Telega. 2025. "Modeling of Heat Treatment Processes in a Vortex Layer of Dispersed Materials" Materials 18, no. 23: 5459. https://doi.org/10.3390/ma18235459
APA StyleKoshlak, H., Pavlenko, A., Basok, B., & Telega, J. (2025). Modeling of Heat Treatment Processes in a Vortex Layer of Dispersed Materials. Materials, 18(23), 5459. https://doi.org/10.3390/ma18235459

