Performance Optimization and Carbon Reduction Potential of Bamboo Biochar for Lightweight Artificial Aggregates
Abstract
1. Introduction
2. Materials and Preparation Methods
2.1. Raw Materials
2.2. Mix Proportions
2.3. Preparation Method
2.4. Testing Methods
2.4.1. Engineering Properties of Artificial Aggregates
2.4.2. Hydration Heat
2.4.3. XRD
2.4.4. SEM/X-CT
2.4.5. Calculation of CO2 Uptake
3. Results and Discussion
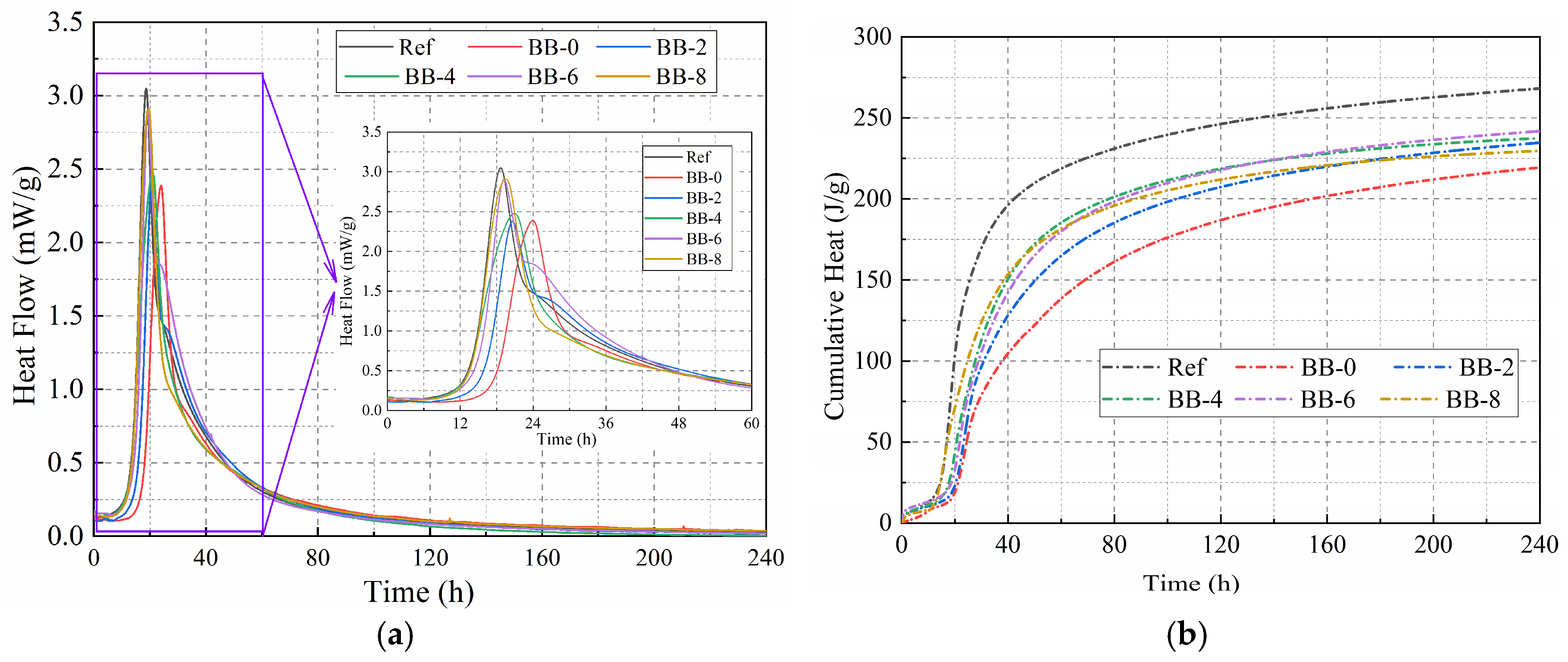
3.1. Hydration Heat Characteristics of Shell Materials
3.2. Analysis of Hydration Products
3.3. Engineering Properties of Artificial Aggregates
3.3.1. Loose Bulk Density
3.3.2. Crushing Strength
3.3.3. Water Absorption
3.3.4. CO2 Uptake
3.4. SEM/X-CT
3.5. CO2 Emission
3.5.1. Calculation Method of CO2 Emission
3.5.2. Carbon Emission Calculation and Advantage Assessment
4. Conclusions
- (1)
- The loose bulk density of the core–shell lightweight artificial aggregates ranged from 750 to 840 kg/m3, which met the engineering requirements for lightweight aggregates. This indicates that the artificial aggregates prepared with biochar possessed the performance advantage of low density.
- (2)
- The incorporation of F-BB not only further reduced the density of artificial aggregates but also formed nearly connected transmission channels of F-BB particles in the shell material matrix, which accelerated the carbonation of calcium hydroxide crystals in the aggregate shell matrix. The carbonation reaction increased the CO2 uptake capacity of the core–shell artificial aggregates, which endowed them with both engineering and environmental advantages.
- (3)
- The core–shell artificial aggregates showed promising potential for CO2 uptake under the CC system, and when the F-BB content reached 8%, the carbon dioxide uptake per unit mass of the artificial aggregates achieved a 5.78% mass fraction of CO2 uptake.
- (4)
- The crushing strength–carbon emission ratio of artificial aggregates in the CC system increased gradually with the increase in F-BB content and reached the highest value of 0.31 when the F-BB content was 6%, which implies that the comprehensive properties of the BB-6-CC group were superior to those of commonly used commercial lightweight aggregates in terms of both engineering performance and carbon emission reduction.
Author Contributions
Funding
Data Availability Statement
Conflicts of Interest
Abbreviations
| BB | Bamboo biochar |
| C-BB | Coarse-particle bamboo biochar |
| CSW | Concrete slurry waste |
| CCS | Calcium carbide slag |
| F-BB | Fine-particle bamboo biochar |
| XRD | X-ray diffraction |
| SEM | Scanning electron microscopy |
| X-CT | X-ray computed tomography |
| AC system | Air curing system |
| CC system | CO2 curing system |
| C3S | Tricalcium silicate |
| C2S | Dicalcium silicate |
| ITZ | Interfacial transition zone |
References
- Niu, B.; Xue, X.; Sai, Y.; Xu, J.J.E. Impact of digitalization inputs on CO2 emissions in China’s construction industry under the “Dual Carbon” goal. Energy Build. 2025, 344, 116014. [Google Scholar] [CrossRef]
- Yang, X.; Yang, H.; Arras, M.; Chong, C.H.; Ma, L.; Li, Z. Unveiling the Energy Transition Process of Xinjiang: A Hybrid Approach Integrating Energy Allocation Analysis and a System Dynamics Model. Sustainability 2024, 16, 4704. [Google Scholar] [CrossRef]
- Jin, W.; Wang, S.; Zhao, W.J. Urban-rural carbon emission differences in China’s urbanization: Spatial effects and influencing factors. Environ. Pollut. 2025, 366, 125423. [Google Scholar] [CrossRef]
- Yuan, B.; Zhong, Y.; Li, S.; Zhao, Y. The degree of population aging and living carbon emissions: Evidence from China. J. Environ. Manag. 2024, 353, 120185. [Google Scholar] [CrossRef]
- Zhao, X.; Ma, X.; Chen, B.; Shang, Y.; Song, M. Challenges toward carbon neutrality in China: Strategies and countermeasures. Resour. Conserv. Recycl. 2022, 176, 105959. [Google Scholar] [CrossRef]
- Chen, B.; Chen, F.; Ciais, P.; Zhang, H.; Lü, H.; Wang, T.; Chevallier, F.; Liu, Z.; Yuan, W.; Peters, W. Challenges to achieve carbon neutrality of China by 2060: Status and perspectives. Sci. Bull. 2022, 67, 2030–2035. [Google Scholar] [CrossRef]
- Akimoto, K.; Sano, F.; Oda, J.; Kanaboshi, H.; Nakano, Y. Climate change mitigation measures for global net-zero emissions and the roles of CO2 capture and utilization and direct air capture. Energy Clim. Chang. 2021, 2, 100057. [Google Scholar] [CrossRef]
- Okonkwo, E.C.; AlNouss, A.; Shahbaz, M.; Al-Ansari, T. Developing integrated direct air capture and bioenergy with carbon capture and storage systems: Progress towards 2 °C and 1.5 °C climate goals. Energy Convers. Manag. 2023, 296, 117687. [Google Scholar] [CrossRef]
- Sirico, A.; Bernardi, P.; Sciancalepore, C.; Vecchi, F.; Malcevschi, A.; Belletti, B.; Milanese, D. Biochar from wood waste as additive for structural concrete. Constr. Build. Mater. 2021, 303, 124500. [Google Scholar] [CrossRef]
- Senadheera, S.S.; Gupta, S.; Kua, H.W.; Hou, D.; Kim, S.; Tsang, D.C.W.; Ok, Y.S. Application of biochar in concrete—A review. Cem. Concr. Compos. 2023, 143, 105204. [Google Scholar] [CrossRef]
- Lin, X.; Li, W.; Guo, Y.; Dong, W.; Castel, A.; Wang, K. Biochar-cement concrete toward decarbonisation and sustainability for construction: Characteristic, performance and perspective. J. Clean. Prod. 2023, 419, 138219. [Google Scholar] [CrossRef]
- Aneja, A.; Sharma, R.L.; Singh, H. Mechanical and durability properties of biochar concrete. Mater. Today Proc. 2022, 65, 3724–3730. [Google Scholar] [CrossRef]
- Jia, Y.; Li, H.; He, X.; Li, P.; Wang, Z. Effect of biochar from municipal solid waste on mechanical and freeze–thaw properties of concrete. Constr. Build. Mater. 2023, 368, 130374. [Google Scholar] [CrossRef]
- Beskopylny, A.N.; Stel’makh, S.A.; Shcherban’, E.M.; Mailyan, L.R.; Meskhi, B.; Smolyanichenko, A.S.; Beskopylny, N. High-Performance Concrete Nanomodified with Recycled Rice Straw Biochar. Appl. Sci. 2022, 12, 5480. [Google Scholar] [CrossRef]
- Song, N.; Li, Z.; Wang, S.; Li, G. Biochar as internal curing material to prepare foamed concrete. Constr. Build. Mater. 2023, 377, 131030. [Google Scholar] [CrossRef]
- Chen, L.; Zhang, Y.; Wang, L.; Ruan, S.; Chen, J.; Li, H.; Yang, J.; Mechtcherine, V.; Tsang, D.C.W. Biochar-augmented carbon-negative concrete. Chem. Eng. J. 2022, 431, 133946. [Google Scholar] [CrossRef]
- Zhang, Q.; Dong, S.; Wu, F.; Cai, Y.; Xie, L.; Huang, C.; Zhao, J.; Yang, S.; Xu, F.; Zhu, Z.; et al. Investigation of the macro performance and mechanism of biochar modified ultra-high performance concrete. Case Stud. Constr. Mater. 2024, 21, e03595. [Google Scholar] [CrossRef]
- Shang, X.; Chang, J.; Yang, J.; Ke, X.; Duan, Z. Life cycle sustainable assessment of natural vs artificial lightweight aggregates. J. Clean. Prod. 2022, 367, 133064. [Google Scholar] [CrossRef]
- Liu, H.; Li, Q. Preparation of artificial aggregates from concrete slurry waste and waste brick masonry powder: CO2 uptake and performance evaluation. Constr. Build. Mater. 2023, 382, 131356. [Google Scholar] [CrossRef]
- Singh, N.; Raza, J.; Colangelo, F.; Farina, I. Advancements in Lightweight Artificial Aggregates: Typologies, Compositions, Applications, and Prospects for the Future. Sustainability 2024, 16, 9329. [Google Scholar] [CrossRef]
- Lee, K.H.; Lee, K.G.; Lee, Y.S.; Wie, Y.M. Manufacturing and application of artificial lightweight aggregate from water treatment sludge. J. Clean. Prod. 2021, 307, 127260. [Google Scholar] [CrossRef]
- Chen, B.; Liu, B.; Yang, L. Study on performance improvement of artificial lightweight aggregate prepared from municipal solid waste incineration fly ash. Process. Saf. Environ. 2025, 201, 107568. [Google Scholar] [CrossRef]
- Chen, L.; Zhu, X.; Zheng, Y.; Wang, L.; Poon, C.S.; Tsang, D.C.W. Development of high-strength lightweight concrete by utilizing food waste digestate based biochar aggregate. Constr. Build. Mater. 2024, 411, 134142. [Google Scholar] [CrossRef]
- Jiang, X.; Qu, F.; Zhang, Y.; Zhu, X.; Leung, A.Y.F.; Poon, C.S.; Tsang, D.C.W. Cold-bonded biochar-cement lightweight aggregates for evaporation-enhanced permeable bricks. J. Clean. Prod. 2025, 493, 144886. [Google Scholar] [CrossRef]
- Liu, J.; Liu, G.; Zhang, W.; Li, Z.; Jin, H.; Xing, F. A new approach to CO2 capture and sequestration: A novel carbon capture artificial aggregates made from biochar and municipal waste incineration bottom ash. Constr. Build. Mater. 2023, 398, 132472. [Google Scholar] [CrossRef]
- Zou, S.; Sham, M.L.; Xiao, J.; Leung, L.M.; Lu, J.-X.; Poon, C.S. Biochar-enabled carbon negative aggregate designed by core-shell structure: A novel biochar utilizing method in concrete. Constr. Build. Mater. 2024, 449, 132472. [Google Scholar] [CrossRef]
- Zou, S.; Chen, X.; Sham, M.L.; Lu, J.-X.; Poon, C.S. Carbon sequestration in aggregate and concrete by encapsulated biochar and carbonation: Experiment and simulation. Cem. Concr. Compos. 2025, 159, 105990. [Google Scholar] [CrossRef]
- Liu, H.; Li, Q.; Wang, P. Assessment of the engineering properties and economic advantage of recycled aggregate concrete developed from waste clay bricks and coconut shells. J. Build. Eng. 2023, 68, 106071. [Google Scholar] [CrossRef]
- Lübeck, A.; Gastaldini, A.L.G.; Barin, D.S.; Siqueira, H.C. Compressive strength and electrical properties of concrete with white Portland cement and blast-furnace slag. Cem. Concr. Compos. 2012, 34, 392–399. [Google Scholar] [CrossRef]
- Xuan, D.; Zhan, B.; Poon, C.S.; Zheng, W. Carbon dioxide sequestration of concrete slurry waste and its valorisation in construction products. Constr. Build. Mater. 2016, 113, 664–672. [Google Scholar] [CrossRef]
- Liu, H.; Li, Q. Preparation of green concrete from bamboo biochar (BB) and concrete slurry waste (CSW): Preparation method and performance evaluation. Constr. Build. Mater. 2025, 462, 139964. [Google Scholar] [CrossRef]
- Qing, L.; Zhang, H.; Zhang, Z. Effect of biochar on compressive strength and fracture performance of concrete. J. Build. Eng. 2023, 78, 107587. [Google Scholar] [CrossRef]
- De Guzman, A.I.R.; Mateo, W.C.; Denson, M.D.; Villota, E.M.; Garcia-Perez, M. Synthesis and evaluation of rice straw-derived biochar as cement replacement for concrete. J. Build. Eng. 2025, 111, 113617. [Google Scholar] [CrossRef]
- Wang, D.; Jantwal, A.; Kaynak, E.; Sas, G.; Das, O. Promoting internal curing in concrete by replacing sand with sustainable biochar. Case Stud. Constr. Mater. 2025, 22, e04542. [Google Scholar] [CrossRef]
- Wang, L.; Fan, Y. Carbon sequestration technology in concrete: A review of mechanism, application and optimization strategy. J. Build. Eng. 2025, 102, 111862. [Google Scholar] [CrossRef]
- Ni, S.; Liu, H.; Li, Q.; Quan, H.; Gheibi, M.; Fathollahi-Fard, A.M.; Tian, G. Assessment of the engineering properties, carbon dioxide emission and economic of biomass recycled aggregate concrete: A novel approach for building green concretes. J. Clean. Prod. 2022, 365, 132780. [Google Scholar] [CrossRef]
- Zhang, Y.; He, M.; Wang, L.; Yan, J.; Ma, B.; Zhu, X.; Ok, Y.S.; Mechtcherine, V.; Tsang, D.C.W. Biochar as construction materials for achieving carbon neutrality. Biochar 2022, 4, 59. [Google Scholar] [CrossRef]
- Chen, L.; Zhang, Y.; Labianca, C.; Wang, L.; Ruan, S.; Poon, C.S.; Ok, Y.S.; Tsang, D.C.W. Carbon-negative cement-bonded biochar particleboards. Biochar 2022, 4, 58. [Google Scholar] [CrossRef]



















| Types | CaO | SiO2 | Al2O3 | Fe2O3 | MgO | SO3 | TiO2 | Na2O | Others |
|---|---|---|---|---|---|---|---|---|---|
| CSW | 35.1 | 29 | 9.3 | 4.5 | 1.3 | 2.3 | - | 0.2 | 17.2 |
| CCS | 68.1 | 2.2 | 1.4 | 0.1 | 0.3 | 0.6 | - | 0.1 | 27.2 |
| Sample | Shell Materials | Core Material (C-BB) | Mixing Water | Curing Methods | ||
|---|---|---|---|---|---|---|
| CSW | CCS | F-BB | ||||
| Ref-AC | 1476 | 0 | 0 | 164 | 361 | AC |
| BB-0-AC | 1328 | 148 | 0 | 164 | 361 | AC |
| BB-2-AC | 1298 | 148 | 30 | 164 | 386 | AC |
| BB-4-AC | 1269 | 148 | 59 | 164 | 411 | AC |
| BB-6-AC | 1239 | 148 | 89 | 164 | 436 | AC |
| BB-8-AC | 1210 | 148 | 118 | 164 | 460 | AC |
| Ref-CC | 1476 | 0 | 0 | 164 | 361 | CC |
| BB-0-CC | 1328 | 148 | 0 | 164 | 361 | CC |
| BB-2-CC | 1298 | 148 | 30 | 164 | 386 | CC |
| BB-4-CC | 1269 | 148 | 59 | 164 | 411 | CC |
| BB-6-CC | 1239 | 148 | 89 | 164 | 436 | CC |
| BB-8-CC | 1210 | 148 | 118 | 164 | 460 | CC |
| Raw Materials and Preparation Procedures | Carbon Emission Factor | Source of Data |
|---|---|---|
| CSW (Includes cleaning, sedimentation, and filter-pressing processes) | 0.008 kg CO2 e/kg | A ready-mixed concrete plant in Yantai |
| CCS | 0.006 kg CO2 e/kg | An acetylene gas factory in Yantai |
| BB | 0.08 kg CO2 e/kg | A biochar plant in Yantai |
| Mixing water | 1.68 × 10−5 kg CO2 e/kg | GB/T 51336–2019 [36] |
| Sintered ceramic aggregate | 0.21 kg CO2 e/kg | A building materials factory in Yantai |
| Road transportation (2 t class petrol transporter) | 0.344 kg CO2 e/(t·km) | GB/T 51336–2019 [36] |
| Pelletization and curing (based on electricity consumption) | 3.1 kg CO2 e/h | Statistically obtained from the preparation process |
| Sample | Raw Materials | Road Transportation | Pelletization | Carbonation | Total |
|---|---|---|---|---|---|
| Ref-AC | 14.7 | 14.6 | 30.3 | −0.1 | 59.5 |
| BB-0-AC | 14.5 | 14.6 | 29.9 | −0.2 | 58.8 |
| BB-2-AC | 15.8 | 14.2 | 29.2 | −0.2 | 59 |
| BB-4-AC | 17 | 15 | 28.6 | −0.2 | 60.4 |
| BB-6-AC | 18.2 | 15.1 | 27.7 | −0.2 | 60.8 |
| BB-8-AC | 19.5 | 15.4 | 27 | −0.2 | 61.7 |
| Ref-CC | 14.7 | 14.6 | 30.3 | −22.7 | 36.9 |
| BB-0-CC | 14.5 | 14.6 | 29.9 | −29.3 | 29.7 |
| BB-2-CC | 15.8 | 14.2 | 29.2 | −35.5 | 23.7 |
| BB-4-CC | 17 | 15 | 28.6 | −42.9 | 17.7 |
| BB-6-CC | 18.2 | 15.1 | 27.7 | −45.7 | 15.3 |
| BB-8-CC | 19.5 | 15.4 | 27 | −46.2 | 15.7 |
| Sintered aggregate | - | - | - | - | 210 |
Disclaimer/Publisher’s Note: The statements, opinions and data contained in all publications are solely those of the individual author(s) and contributor(s) and not of MDPI and/or the editor(s). MDPI and/or the editor(s) disclaim responsibility for any injury to people or property resulting from any ideas, methods, instructions or products referred to in the content. |
© 2025 by the authors. Licensee MDPI, Basel, Switzerland. This article is an open access article distributed under the terms and conditions of the Creative Commons Attribution (CC BY) license (https://creativecommons.org/licenses/by/4.0/).
Share and Cite
Liu, H.; Bu, L.; Wang, Y.; Chen, M.; Chen, D. Performance Optimization and Carbon Reduction Potential of Bamboo Biochar for Lightweight Artificial Aggregates. Materials 2025, 18, 5415. https://doi.org/10.3390/ma18235415
Liu H, Bu L, Wang Y, Chen M, Chen D. Performance Optimization and Carbon Reduction Potential of Bamboo Biochar for Lightweight Artificial Aggregates. Materials. 2025; 18(23):5415. https://doi.org/10.3390/ma18235415
Chicago/Turabian StyleLiu, Haibao, Lingbao Bu, Yulin Wang, Mingxu Chen, and Dongdong Chen. 2025. "Performance Optimization and Carbon Reduction Potential of Bamboo Biochar for Lightweight Artificial Aggregates" Materials 18, no. 23: 5415. https://doi.org/10.3390/ma18235415
APA StyleLiu, H., Bu, L., Wang, Y., Chen, M., & Chen, D. (2025). Performance Optimization and Carbon Reduction Potential of Bamboo Biochar for Lightweight Artificial Aggregates. Materials, 18(23), 5415. https://doi.org/10.3390/ma18235415

