Steam Coating-Based Synthesis and Corrosion Inhibition Performance of Mg–Al-Layered Double Hydroxide Films with Different Interlayer Anions on Al-Si-Cu Alloys
Abstract
1. Introduction
2. Materials and Methods
3. Results
3.1. Characterization of LDH Films
3.2. Surface and Cross-Sectional Morphologies of Mg–Al LDH Films
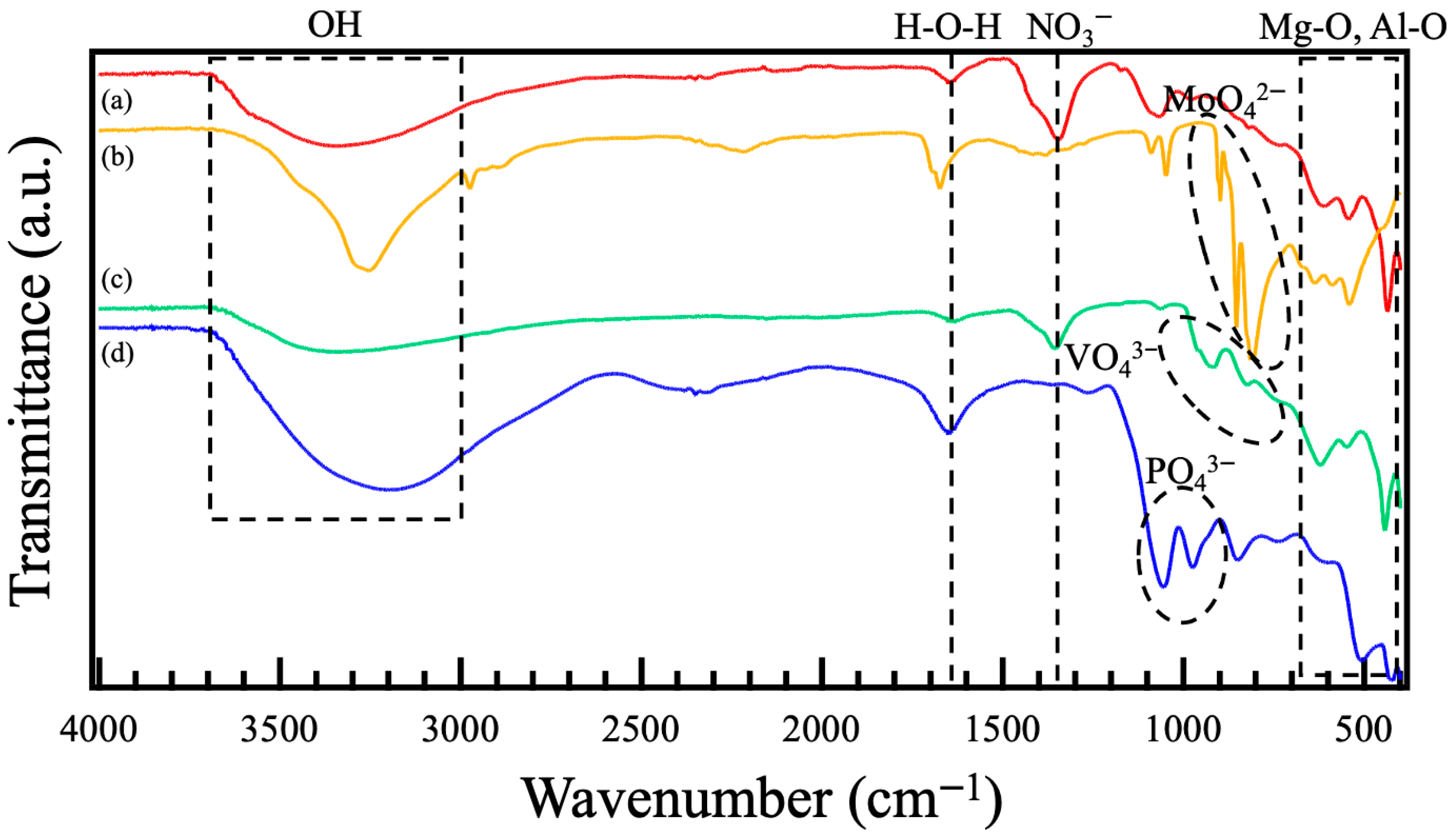
3.3. Chemical Bonding States of Films
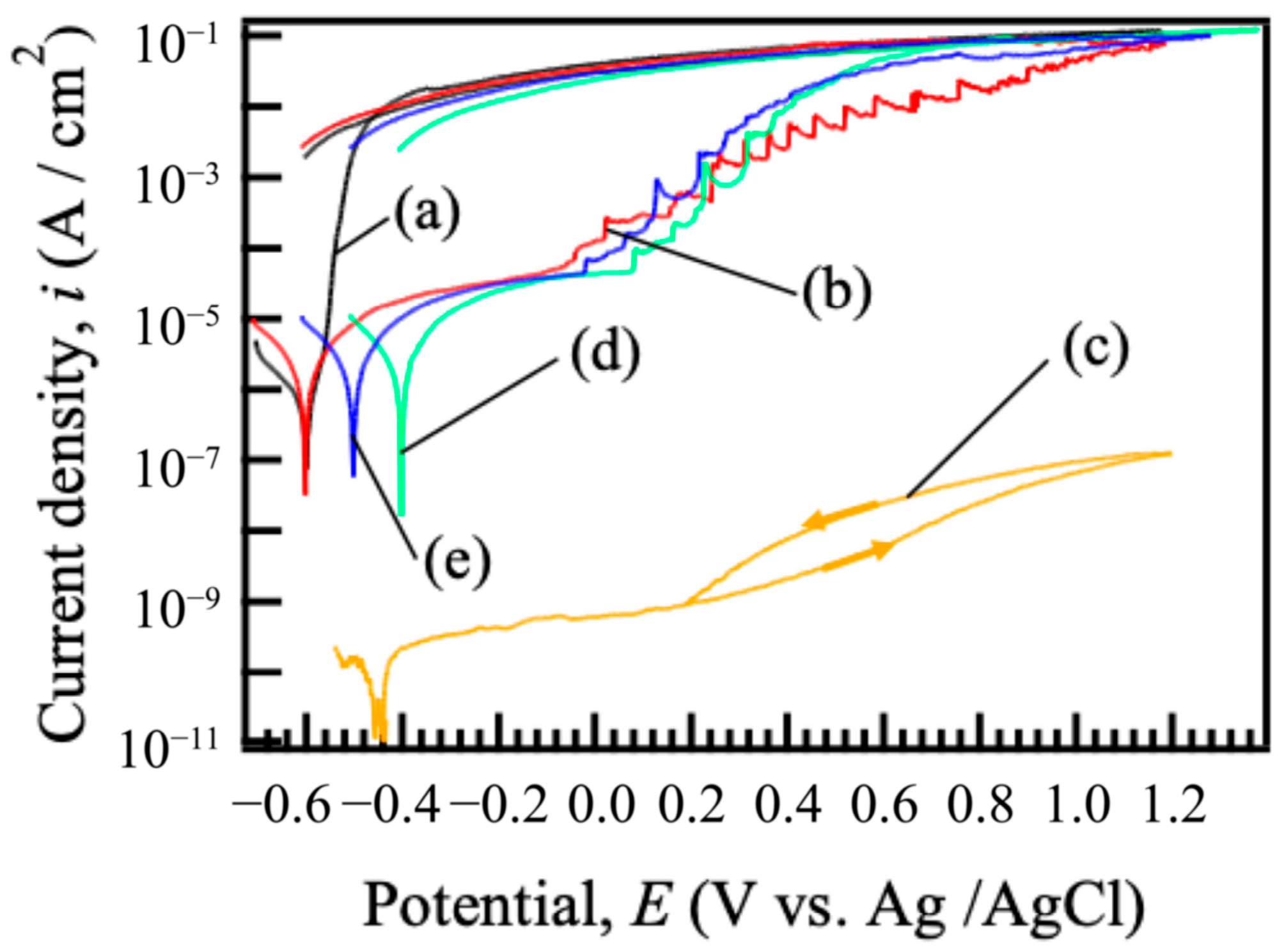
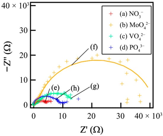
3.4. Corrosion Resistance of LDH Films
4. Conclusions
Author Contributions
Funding
Institutional Review Board Statement
Informed Consent Statement
Data Availability Statement
Acknowledgments
Conflicts of Interest
References
- Younis, A.A.; Ensinger, W.; El-Sabbah, M.M.B.; Holze, R. Corrosion protection of pure aluminium and aluminium alloy (AA7075) in salt solution with silane-based sol-gel coatings. Mater. Corros. 2013, 64, 276–283. [Google Scholar] [CrossRef]
- Twite, R.L.; Bierwagen, G.P. Review of alternatives to chromate for corrosion protection of aluminum aerospace alloys. Prog. Org. Coat. 1998, 33, 91–100. [Google Scholar] [CrossRef]
- Ezuber, H.; El-Houd, A.; El-Shawesh, F. A study on the corrosion behavior of aluminum alloys in seawater. Mater. Des. 2008, 29, 801–805. [Google Scholar] [CrossRef]
- Xue, W.; Shi, X.; Hua, M.; Li, Y. Preparation of anti-corrosion films by microarc oxidation on an Al–Si alloy. Appl. Surf. Sci. 2007, 253, 6118–6124. [Google Scholar] [CrossRef]
- Lu, Z.; Wang, P.; Zhang, D. Super-hydrophobic film fabricated on aluminium surface as a barrier to atmospheric corrosion in a marine environment. Corros. Sci. 2015, 91, 287–296. [Google Scholar] [CrossRef]
- Huang, H.; Dong, Z.; Chen, Z.; Guo, X. The effects of Cl ion concentration and relative humidity on atmospheric corrosion behaviour of PCB-Cu under adsorbed thin electrolyte layer. Corros. Sci. 2010, 55, 1230–1236. [Google Scholar] [CrossRef]
- Wang, Y.; Zhou, B.; Li, Y.; He, K.; Wei, Y. Electrodeposition preparation of ZnAlCe-LDH film for corrosion protection of 6061 Al alloy. Mater. Lett. 2024, 359, 135965. [Google Scholar] [CrossRef]
- Xie, P.; He, Y.; Zhong, F.; Zhang, C.; Chen, C.; Li, H.; Liu, Y.; Bai, Y.; Chen, J. Cu-BTA complexes coated layered double hydroxide for controlled release of corrosion inhibitors in dual self-healing waterborne epoxy coatings. Prog. Org. Coat. 2021, 153, 106164. [Google Scholar] [CrossRef]
- Yang, L.; Shahrivari, Z.; Liu, P.K.T.; Sahimi, M.; Tsotsis, T.T. Removal of Trace Levels of Arsenic and Selenium from Aqueous Solutions by Calcined and Uncalcined Layered Double Hydroxides (LDH). Ind. Eng. Chem. Res. 2005, 44, 6804–6815. [Google Scholar] [CrossRef]
- Teijido, R.; Ruiz-Rubio, L.; Echaide, A.G.; Vilas-Vilela, J.L.; Lanceros-Mendez, S.; Zhang, Q. State of the art and current trends on layered inorganic-polymer nanocomposite coatings for anticorrosion and multi-functional applications. Prog. Org. Coat. 2022, 163, 106684. [Google Scholar] [CrossRef]
- Zhang, W.; Xiong, Z.; Qi, Z.; Wang, G.; Ying, L.; Ma, F. Enhancing frictional and corrosion resistance performance in aluminum alloy through in situ growth of NiZnAl-LDH membrane and its modification. J. Solid State Chem. 2024, 338, 104103. [Google Scholar]
- Zhao, C.; Wang, X.; Li, C.; Liu, Y.; Sun, S.; Yang, S.; Sun, Y.; Peng, Z.; Yu, Q.; Cai, M.; et al. Superior tribological and anti-corrosion performance of corrosion inhibitors intercalated LDH-MAO coating on AZ31 Mg alloys. Tribol. Int. 2024, 191, 109126. [Google Scholar] [CrossRef]
- Akbari, Y.H.A.; Rostami, M.; Sari, M.G.; Ramezanzadeh, B. Evaluation of MgAl LDH incorporated Gallic acid anti-corrosion impact on mild steel in tempered 3.5% NaCl solutions: Integrated electrochemical and morphological studies. J. Ind. Eng. Chem. 2023, 127, 365–377. [Google Scholar] [CrossRef]
- Costa, D.G.; Rocha, A.B.; Souza, W.F.; Chiaro, S.S.X.; Leitão, A.A. Comparative Structural, thermodynamic and electronic analyses of Zn-Al-An− hydrotalcite-like compounds (An− = Cl−, F−, Br−, OH−, CO32− or NO3−): An ab initio study. Appl. Clay Sci. 2012, 56, 16–22. [Google Scholar] [CrossRef]
- Chen, C.; Gao, X.; Yuan, B.; Wang, C.; Qiu, J.; Gongsun, K.; Lu, K.; Ma, H. In Situ mildly synthesized CuZnAl LDHs nanofilm with long-lasting corrosion resistance and self-healing properties induced by corrosive Cl− ions. Corros. Sci. 2024, 239, 112385. [Google Scholar] [CrossRef]
- Mahmood, M.; Mubeen, M.; Wang, W.; Tabish, M.; Murtaza, H.; Jawad, M.; Wang, J.; Lv, Y.; Zhao, J.; Fan, B. Mechanically robust and self-healing protective coating for Zn-Al-Mg coated steel enhanced by benzotriazole-5 carboxylic acid intercalated MgAlCe ternary LDH. Prog. Org. Coat. 2025, 201, 109107. [Google Scholar] [CrossRef]
- Yu, A.; Song, Y.; Wang, N.; Tian, Y.; Chen, H. Study on the corrosion and self-healing behavior of different anion-intercalated layered double hydroxides coatings on Mg alloy surfaces. Surf. Interfaces 2025, 56, 105680. [Google Scholar] [CrossRef]
- Peng, G.; Qiao, Q.; Huang, K.; Wua, J.; Wang, Y.; Fu, X.; Zhang, Z.; Fang, T.; Zhang, B.; Huang, Y.; et al. Ni-Fe-MoO42− LDHs/epoxy resin varnish: A composite coating on carbon steel for long-time and active corrosion protection. Prog. Org. Coat. 2020, 140, 105514. [Google Scholar] [CrossRef]
- Azamian, I.; Allahkaram, S.R.; Teymouri, F.; Johari, M.; Shekarchi, M. A comprehensive study on the inhibition behaviour of four carboxylate-based corrosion inhibitors focusing on efficiency drop after the optimum concentration for carbon steel in the simulated concrete pore solution. J. Mol. Liq. 2022, 368, 123702. [Google Scholar]
- Farshbaf, P.; Ahmadi, N.P.; Yazdani, S. Self-healing vanadate-doped NiAl-layered double hydroxide (LDH) coatings synthesized for active corrosion protection of 2024 aluminum alloy. Mater. Today Commun. 2024, 39, 108795. [Google Scholar] [CrossRef]
- Glasser, L.; Jenkins, B.D.H. Internally Consistent Ion Volumes and Their Application in Volume-Based Thermodynamics. Inorg. Chem. 2008, 47, 6195–6202. [Google Scholar] [CrossRef] [PubMed]
- Pichmond, R.W.; Hockridge, G.J.; Loan, M.; Parkinson, M.G. A New Iron Oxyhydroxide Phase: The Molybdate-Substituted Analogue of Akaganeite. Chem. Mater. 2004, 16, 3203–3205. [Google Scholar] [CrossRef]
- Menetrier, M.; Han, K.S.; Guerlou-Demourgues, L.; Delmas, C. Vanadate-Inserted Layered Double Hydroxides: A51V NMR Investigation of the Grafting Process. Inorg. Chem. 1997, 36, 2441–2445. [Google Scholar] [CrossRef]
- Feng, Y.; Li, D.; Wang, Y.; Evans, D.G.; Duan, X. Synthesis and characterization of a UV absorbent-intercalated Zn-Al layered double hydroxide. Polym. Degrad. Stab. 2006, 91, 789–794. [Google Scholar] [CrossRef]
- Xue, X.; Liang, C.; Wang, D.; Peng, F. The research progress of self-healing coatings for magnesium/magnesium alloy. J. Alloys Compd. 2023, 960, 170710. [Google Scholar] [CrossRef]
- Chai, H.; Xu, X.; Lin, Y.; Evans, D.G.; Li, D. Synthesis and UV absorption properties of 2,3-dihydroxynaphthalene-6-sulfonate anion-intercalated Zn–Al layered double hydroxides. Polym. Degrad. Stab. 2009, 94, 744–749. [Google Scholar] [CrossRef]
- Roy, S.A.; Pillai, K.S.; Ray, S.S. A Comparison of Nitrate Release from Zn/Al-, Mg/Al-, and Mg–Zn/Al Layered Double Hydroxides and Composite Beads: Utilization as Slow-Release Fertilizers. ACS Omega 2023, 8, 8427–8440. [Google Scholar]
- McCafferty, E. Sequence of steps in the pitting of aluminum by chloride ions. Corros. Sci. 2003, 45, 1421–1438. [Google Scholar] [CrossRef]
- Cruywagen, J.J. Protonation, oligomerization, and condensation reactions of vanadate (V), molybdate (VI), and tungstate (VI). Adv. Inorg. Chem. 2000, 49, 127–182. [Google Scholar]
- Csermely, P.; Martonosi, A.; Levy, G.C.; Ejchart, A.J. The binding of vanadium (V) oligoanions to sarcoplasmic reticulum. Biochem. J. 1985, 230, 807–815. [Google Scholar] [CrossRef]
- Alexeev, Y.; Windus, T.L.; Zhan, C.; Dixon, D.A. Accurate heats of formation and acidities for H3PO4, H2SO4, and H2CO3 from ab initio electronic structure calculations. Int. J. Quant. Chem. 2005, 102, 775–784. [Google Scholar] [CrossRef]
- Matsui, I.; Furutono, K.; Ishizaki, T. Preparation of layered double hydroxide films with corrosion resistance and self-healing properties on Al-Si-Cu alloys using steam coating and immersion processes. J. Alloys Compd. 2025, 1026, 180393. [Google Scholar] [CrossRef]
- Cruywagen, J.J.; Draaijer, G.A.; Heyns, B.B.J.; Rohwer, A.E. Molybdenum (VI) equilibria in different ionic media. Formation constants and thermodynamic quantities. Inorg. Chim. Acta 2002, 331, 322–329. [Google Scholar] [CrossRef]
- Nikolenko, V.N.; Kosynyuk, O.A.; Kalashniko, V.Y.; Cheremis, A.E. The calculation of the thermodynamic equilibrium in Fe3+/MoO42−/H+(OH−)/H2O system and determination of reasonable conditions for iron molybdate deposition. Russ. J. Inorg. Chem. 2012, 85, 1814–1819. [Google Scholar]
- Jiwen, L.; Shizhong, W.; Guo-shang, Z.; Liujie, X.; Wei, L.; Kunming, P. Characterization of Mo-6Ta alloy targets and its magnetron sputtering deposited thin film. Int. J. Refra. 2017, 12, 2429–2440. [Google Scholar]
- Jorcin, J.; Orazen, E.M.; Pebere, N.; Tribollet, B. CPE analysis by local electrochemical impedance spectroscopy. Electrochim. Acta 2021, 378, 138091. [Google Scholar] [CrossRef]
- Lazanas, C.A.; Prodromidis, I.M. Electrochemical Impedance Spectroscopy—A Tutorial. ACS Meas. Sci. Au 2023, 3, 162–193. [Google Scholar] [CrossRef] [PubMed]
- Yasakau, A.K.; Starykevich, M.; Ferreira, S.G.M.; Zheludkevich, L.M. A critical look at interpretation of electrochemical impedance spectra of sol-gel coated aluminium. Electrochim. Acta 2006, 51, 1473–1479. [Google Scholar] [CrossRef]
- Furukawa, S.; Hirasawa, K.; Tsuji, Y.; Suzuki, K.; Chiba, M. Self-Healing Coatings with Double-Layered Structure for Corrosion Protection of Aluminum Alloys. Mater. Trans. 2023, 64, 473–478. [Google Scholar] [CrossRef]
- Zeng, C.R.; Li, T.X.; Liu, G.Z.; Zhang, F.; Li, Q.S.; Cui, Z.H. Corrosion resistance of Zn–Al layered double hydroxide/poly(lactic acid) composite coating on magnesium alloy AZ31. Front. Mater. Sci. 2015, 9, 355–365. [Google Scholar] [CrossRef]
- Lin, K.H.; Lu, Y.X.; Hu, Y.C.; Chuang, S.K.; Huang, H.J. Corrosion resistance properties and hydrogen embrittlement protection efficiently of signal-layer and multi-layer metal and ceramic films deposited on SS316L substrates. Mater. Chem. Phys. 2025, 329, 130129. [Google Scholar] [CrossRef]








| Si | Cu | Mg | Zn | Fe | Mn | Ni | Al |
|---|---|---|---|---|---|---|---|
| 11.38 | 1.58 | 0.26 | 0.72 | 0.87 | 0.16 | 0.10 | Bal. |
| Samples | N | O | Mg | Al | Mo | V | P |
|---|---|---|---|---|---|---|---|
| (a) NO3− | 2.6 | 63.5 | 21.7 | 12.2 | ND | ND | ND |
| (b) MoO42− | ND | 68.4 | 11.4 | 9.2 | 5.7 | ND | ND |
| (c) VO43− | 1.6 | 63.6 | 16.1 | 9.2 | ND | 4.7 | ND |
| (d) PO43− | ND | 62.0 | 13.6 | 12.3 | ND | ND | 4.4 |
| Samples | Rs (Ω·cm2) | Rfilm (Ω·cm2) | CPEfilm (Ω−1·sn·cm−2) | Rct (Ω·cm2) | CPEdl (Ω−1·sn·cm−2) |
|---|---|---|---|---|---|
| (a) NO3− | 17.1 | 4.16 × 103 | 1.52× 10−4 | 6.69 × 102 | 4.37 × 10−2 |
| (b) MoO42− | 16.7 | 3.89 × 104 | 3.52 × 10−5 | 2.35 × 103 | 4.17 × 10−5 |
| (c) VO43− | 15.1 | 1.32 × 104 | 1.41 × 10−4 | 1.36 × 103 | 3.02 × 10−5 |
| (d) PO43− | 20.4 | 9.95 × 103 | 5.10 × 10−4 | 3.68 × 103 | 2.92 × 10−4 |
Disclaimer/Publisher’s Note: The statements, opinions and data contained in all publications are solely those of the individual author(s) and contributor(s) and not of MDPI and/or the editor(s). MDPI and/or the editor(s) disclaim responsibility for any injury to people or property resulting from any ideas, methods, instructions or products referred to in the content. |
© 2025 by the authors. Licensee MDPI, Basel, Switzerland. This article is an open access article distributed under the terms and conditions of the Creative Commons Attribution (CC BY) license (https://creativecommons.org/licenses/by/4.0/).
Share and Cite
Matsui, I.; Ouchi, H.; Atsuumi, Y.; Fukuhara, K.; Ishizaki, T. Steam Coating-Based Synthesis and Corrosion Inhibition Performance of Mg–Al-Layered Double Hydroxide Films with Different Interlayer Anions on Al-Si-Cu Alloys. Materials 2025, 18, 5405. https://doi.org/10.3390/ma18235405
Matsui I, Ouchi H, Atsuumi Y, Fukuhara K, Ishizaki T. Steam Coating-Based Synthesis and Corrosion Inhibition Performance of Mg–Al-Layered Double Hydroxide Films with Different Interlayer Anions on Al-Si-Cu Alloys. Materials. 2025; 18(23):5405. https://doi.org/10.3390/ma18235405
Chicago/Turabian StyleMatsui, Io, Hikari Ouchi, Yuki Atsuumi, Kota Fukuhara, and Takahiro Ishizaki. 2025. "Steam Coating-Based Synthesis and Corrosion Inhibition Performance of Mg–Al-Layered Double Hydroxide Films with Different Interlayer Anions on Al-Si-Cu Alloys" Materials 18, no. 23: 5405. https://doi.org/10.3390/ma18235405
APA StyleMatsui, I., Ouchi, H., Atsuumi, Y., Fukuhara, K., & Ishizaki, T. (2025). Steam Coating-Based Synthesis and Corrosion Inhibition Performance of Mg–Al-Layered Double Hydroxide Films with Different Interlayer Anions on Al-Si-Cu Alloys. Materials, 18(23), 5405. https://doi.org/10.3390/ma18235405

