The Influence of Powder Composition and Hydrogen Consumption on the Structural, Corrosion and Tribological Characteristics of Fe-Cr-Al Coatings Obtained by Air Plasma Spraying
Abstract
1. Introduction
2. Materials and Methods
3. Results
4. Conclusions
- Using the air plasma spraying method, Fe-Cr-Al coatings were obtained from 85Fe-12Cr-3Al and 68Fe-26Cr-6Al powders at a hydrogen flow rate of 8 and 13 L/min, which allowed the temperature and dynamics of the plasma jet to be varied.
- It was established that an increase in H2 flow rate leads to an increase in particle temperature (up to 2850 °C) and particle velocity (up to 225 m/s), a decrease in the divergence angle, and an increase in process stability.
- Coatings deposited at 13 L/min H2 have a denser, more uniform structure and minimal porosity, whereas at 8 L/min H2, areas with semi-molten particles and increased porosity are formed.
- X-ray phase analysis revealed the presence of phases (Fe, Cr), Fe3O4, FeO, Fe2+Cr2O4 and Al, the formation of which is due to partial oxidation of particles during the spraying process.
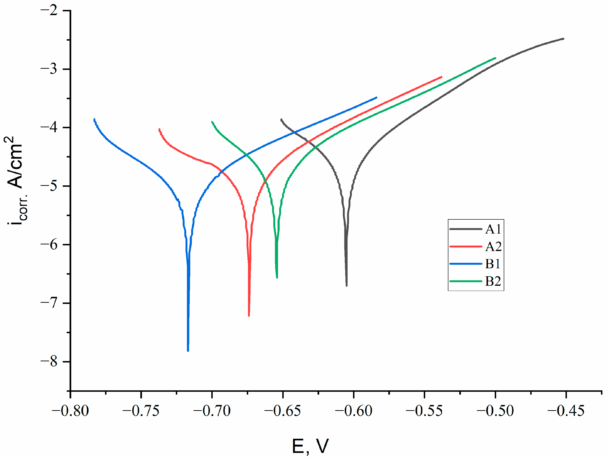
- Electrochemical tests in 3.5% NaCl showed that coatings of 68Fe-26Cr-6Al possess a lower corrosion current density (icorr = (1.4–2.9) × 10−5 A/cm2) and corrosion rate (0.17–0.34 mm/year) compared with coatings of 85Fe-12Cr-3Al, for which icorr = (2.6–4.7) × 10−5 A/cm2 and corrosion rate = 0.30–0.55 mm/year. This improvement is attributed to the formation of a stable protective oxide film consisting of Cr2O3 and Al2O3.
- Tribological tests showed that 85Fe-12Cr-3Al coatings are characterized by more stable friction and smaller fluctuations in the friction coefficient (0.76–0.82) than 68Fe-26Cr-6Al coatings (0.85–0.93). In regime B2, an increase in the friction coefficient is observed after 180 m due to the destruction of the oxide layer.
Author Contributions
Funding
Institutional Review Board Statement
Informed Consent Statement
Data Availability Statement
Conflicts of Interest
References
- Cheng, J.; Dai, Q.; Lan, W.; Zhou, X.; Yu, D. High-Temperature Corrosion Behavior of the FeCrAl Laser Cladding Coatings in Waste-to-Energy Superheaters: Influence of Al Content. Surf. Coat. Technol. 2024, 482, 130650. [Google Scholar] [CrossRef]
- Buitkenov, D.; Sagdoldina, Z.; Nabioldina, A.; Drenda, C. The Study of Tribological Characteristics of YSZ/NiCrAlY Coatings and Their Resistance to CMAS at High Temperatures. Appl. Sci. 2025, 15, 8109. [Google Scholar] [CrossRef]
- Bolelli, G.; Hulka, I.; Koivuluoto, H.; Lusvarghi, L.; Milanti, A.; Niemi, K.; Vuoristo, P. Properties of WC–FeCrAl Coatings Manufactured by Different High Velocity Thermal Spray Processes. Surf. Coat. Technol. 2014, 247, 74–89. [Google Scholar] [CrossRef]
- Rakhadilov, B.; Buitkenov, D.; Apsezhanova, A.; Kakimzhanov, D.; Nabioldina, A.; Magazov, N. Selection of Optimal Process Parameters for Arc Metallization. Coatings 2025, 15, 300. [Google Scholar] [CrossRef]
- Bolelli, G.; Colella, A.; Lusvarghi, L.; Puddu, P.; Rigon, R.; Sassatelli, P.; Testa, V. Properties of HVOF-Sprayed TiC-FeCrAl Coatings. Wear 2019, 418–419, 36–51. [Google Scholar] [CrossRef]
- Steinbrueck, M.; Grosse, M.; Tang, C.; Stuckert, J.; Seifert, H.J. An Overview of Mechanisms of the Degradation of Promising ATF Cladding Materials During Oxidation at High Temperatures. High Temp. Corros. Mater. 2024, 101, 621–647. [Google Scholar] [CrossRef]
- Rakhadilov, B.; Sulyubayeva, L.; Maulet, M.; Sagdoldina, Z.; Buitkenov, D.; Issova, A. Investigation of High-Temperature Oxidation of Homogeneous and Gradient Ni-Cr-Al Coatings Obtained by Detonation Spraying. Coatings 2024, 14, 11. [Google Scholar] [CrossRef]
- Dabney, T.; Johnson, G.; Yeom, H.; Maier, B.; Walters, J.; Sridharan, K. Experimental Evaluation of Cold Spray FeCrAl Alloys Coated Zirconium-Alloy for Potential Accident Tolerant Fuel Cladding. Nucl. Mater. Energy 2019, 21, 100715. [Google Scholar] [CrossRef]
- Kantay, N.; Kasmamytov, N.; Rakhadilov, B.; Plotnikov, S.; Paszkowski, M.; Kurbanbekov, S. Influence of Temperature on Structural-Phase Changes and Physical Properties of Ceramics on the Basis of Aluminum Oxide and Silicon. Mater. Test. 2020, 62, 716–720. [Google Scholar] [CrossRef]
- Qu, H.; Yin, L.; Larsen, M.; Rebak, R.B. Distinctive Oxide Films Develop on the Surface of FeCrAl as the Environment Changes for Nuclear Fuel Cladding. Corros. Mater. Degrad. 2024, 5, 109–123. [Google Scholar] [CrossRef]
- Qiao, Y.; Ni, Y.; Yang, K.; Wang, P.; Wang, X.; Liu, R.; Sun, B.; Bai, C. Iron-Based High-Temperature Alloys: Alloying Strategies and New Opportunities. Materials 2025, 18, 2989. [Google Scholar] [CrossRef]
- Wang, J.; Liu, S.; Bai, X.; Zhou, X.; Han, X. Oxidation Behavior of Fe–Al–Cr Alloy at High Temperature: Experiment and a First Principle Study. Vacuum 2020, 173, 109144. [Google Scholar] [CrossRef]
- Nagothi, B.S.; Qu, H.; Zhang, W.; Umretiya, R.V.; Dolley, E.; Rebak, R.B. Hydrothermal Corrosion of Latest Generation of FeCrAl Alloys for Nuclear Fuel Cladding. Materials 2024, 17, 1633. [Google Scholar] [CrossRef] [PubMed]
- Liao, J.; Wang, H.; Wu, J.; Zhang, W.; Xu, F.; Sun, H.; An, X.; Qiu, S. Addition of Niobium in Fe-13Cr-4.5Al-2Mo Alloy Used as ATF Cladding: Effect on High Temperature Water Corrosion and in-Situ Electrochemistry. Mater. Des. 2022, 220, 110854. [Google Scholar] [CrossRef]
- Li, N.; Chen, L.-Y.; Wang, Z.-X.; Xuan, H.-N.; Chai, L.-J.; Yang, H.-L.; Oleksandr, D.; Lu, S. Enhancement of Hardness and High-Temperature Oxidation Resistance of Cr/FeCrAl Dual-Layer Plasma-Sprayed Coating on Zr Substrate by Post-Processing. J. Mater. Res. Technol. 2025, 36, 500–512. [Google Scholar] [CrossRef]
- Tang, C.; Jianu, A.; Steinbrueck, M.; Grosse, M.; Weisenburger, A.; Seifert, H.J. Influence of Composition and Heating Schedules on Compatibility of FeCrAl Alloys with High-Temperature Steam. J. Nucl. Mater. 2018, 511, 496–507. [Google Scholar] [CrossRef]
- Bunn, J.K.; Fang, R.L.; Albing, M.R.; Mehta, A.; Kramer, M.J.; Besser, M.F.; Hattrick-Simpers, J.R. A High-Throughput Investigation of Fe–Cr–Al as a Novel High-Temperature Coating for Nuclear Cladding Materials. Nanotechnology 2015, 26, 274003. [Google Scholar] [CrossRef]
- Gurevich, L.M.; Pronichev, D.V.; Slautin, O.V.; Tikhaeva, V.V. Corrosion Resistance of Fe-Cr-Al Intermetallic Coatings Obtained by Aluminizing. Metals 2023, 13, 1883. [Google Scholar] [CrossRef]
- Kulevich, V.P.; Slautin, O.V.; Kharlamov, V.O. Evaluation of the Heat Resistance of the Fe-Cr-Al System Coatings. Defect Diffus. Forum 2021, 410, 525–530. [Google Scholar] [CrossRef]
- Leshchinsky, E.; Sobiesiak, A.; Maev, R. Intermetallic Al-, Fe-, Co- and Ni-Based Thermal Barrier Coatings Prepared by Cold Spray for Applications on Low Heat Rejection Diesel Engines. J. Therm. Spray Technol. 2018, 27, 456–470. [Google Scholar] [CrossRef]
- Pauletto, G.; Vaccari, A.; Groppi, G.; Bricaud, L.; Benito, P.; Boffito, D.C.; Lercher, J.A.; Patience, G.S. FeCrAl as a Catalyst Support. Chem. Rev. 2020, 120, 7516–7550. [Google Scholar] [CrossRef] [PubMed]
- Orlicka, D.; Simms, N.J.; Hussain, T.; Nicholls, J.R. Comparison between Oxidation of Fe–Cr–Al Sputter Coatings in Air and Air–HCl Environments at 550 °C. Mater. High Temp. 2015, 32, 167–176. [Google Scholar] [CrossRef]
- Zhu, Z.; Tan, J.; Wu, X.; Zhang, Z.; Han, E.-H.; Wang, X. Corrosion Behaviors of FeCrAl Alloys Exposed to Oxygen-Saturated Static Lead Bismuth Eutectic at 550 °C. Corros. Sci. 2022, 209, 110767. [Google Scholar] [CrossRef]
- Zhang, H.; Ma, J.; Gao, Z.; Guo, F.; Xu, S.; Hou, G.; Zheng, G. Study on Stability of Mechanical Properties for Porous Fe-Cr-Al Alloys after Long-Term Aging. Materials 2022, 15, 3718. [Google Scholar] [CrossRef]
- Rakhadilov, B.; Kantay, N.; Sagdoldina, Z.; Erbolatuly, D.; Bektasova, G.; Paszkowski, M. Experimental Investigations of Al2O3- and ZrO2-Based Coatings Deposited by Detonation Spraying. Mater. Res. Express 2021, 8, 056402. [Google Scholar] [CrossRef]
- Lashmi, P.G.; Ananthapadmanabhan, P.V.; Unnikrishnan, G.; Aruna, S.T. Present Status and Future Prospects of Plasma Sprayed Multilayered Thermal Barrier Coating Systems. J. Eur. Ceram. Soc. 2020, 40, 2731–2745. [Google Scholar] [CrossRef]
- Rakhadilov, B.; Buitkenov, D.; Sagdoldina, Z.; Idrisheva, Z.; Zhamanbayeva, M.; Kakimzhanov, D. Preparation and Characterization of NiCr/NiCr-Al2O3/Al2O3 Multilayer Gradient Coatings by Gas Detonation Spraying. Coatings 2021, 11, 1524. [Google Scholar] [CrossRef]
- Wang, P.; Qiao, Y.; Qi, W.; Du, S.; Liu, Z.; Meng, F.; Zhang, X.; Wang, K.; Li, Q.; Yao, Z.; et al. Preparation and Properties Study of Cr on FeCrAl Cladding Materials. Front. Mater. 2021, 8, 621086. [Google Scholar] [CrossRef]
- Rakhadilov, B.; Bayatanova, L.; Kengesbekov, A.; Magazov, N.; Toleukhanova, Z.; Yeskermessov, D. Study of the Influence of Air Plasma Spraying Parameters on the Structure, Corrosion Resistance, and Tribological Characteristics of Fe–Al–Cr Intermetallic Coatings. Coatings 2025, 15, 790. [Google Scholar] [CrossRef]
- Zhong, S.; Chai, L.; Wang, Z.; Yang, T.; Liu, Y.; Dong, H.; Shen, J.; Li, Y.; Cheng, E.J.; Yin, X.; et al. Microstructures and Tribological Properties of Laser-Clad FeCrAl-TiX Composite Coatings on Ferritic-Martensitic Steel. J. Mater. Res. Technol. 2025, 36, 922–938. [Google Scholar] [CrossRef]
- Brezinová, J.; Landová, M.; Guzanová, A.; Dulebová, Ľ.; Draganovská, D. Microstructure, Wear Behavior and Corrosion Resistance of WC-FeCrAl and WC-WB-Co Coatings. Metals 2018, 8, 399. [Google Scholar] [CrossRef]





| Sample Name | Powder Composition | Powder Consumption, g/min | Argon Flow, L/min | Hydrogen Flow, L/min | Current, A |
|---|---|---|---|---|---|
| A1 | 85Fe12Cr3Al | 28.5 | 45 | 8 | 500 |
| A2 | 85Fe12Cr3Al | 28.5 | 45 | 13 | 500 |
| B1 | 68Fe-26Cr-6Al | 27.6 | 45 | 8 | 500 |
| B2 | 68Fe-26Cr-6Al | 27.6 | 45 | 13 | 500 |
| Samples | βa, V/dec | βc, V/dec | icorr, A/cm2 | Ecorr, V | Corrosion Rate, mpy |
|---|---|---|---|---|---|
| A1 | 78.1 | 116.1 | 4.67 × 10−5 | −0.605 | 0.547 |
| A2 | 93.6 | 172.0 | 2.58 × 10−5 | −0.674 | 0.303 |
| B1 | 97.7 | 88.6 | 1.43 × 10−5 | −0.717 | 0.168 |
| B2 | 90.2 | 82.7 | 2.90 × 10−5 | −0.654 | 0.340 |
Disclaimer/Publisher’s Note: The statements, opinions and data contained in all publications are solely those of the individual author(s) and contributor(s) and not of MDPI and/or the editor(s). MDPI and/or the editor(s) disclaim responsibility for any injury to people or property resulting from any ideas, methods, instructions or products referred to in the content. |
© 2025 by the authors. Licensee MDPI, Basel, Switzerland. This article is an open access article distributed under the terms and conditions of the Creative Commons Attribution (CC BY) license (https://creativecommons.org/licenses/by/4.0/).
Share and Cite
Kengesbekov, A.; Buitkenov, D.; Erdogan, G.; Nabioldina, A.; Komekov, S. The Influence of Powder Composition and Hydrogen Consumption on the Structural, Corrosion and Tribological Characteristics of Fe-Cr-Al Coatings Obtained by Air Plasma Spraying. Materials 2025, 18, 5395. https://doi.org/10.3390/ma18235395
Kengesbekov A, Buitkenov D, Erdogan G, Nabioldina A, Komekov S. The Influence of Powder Composition and Hydrogen Consumption on the Structural, Corrosion and Tribological Characteristics of Fe-Cr-Al Coatings Obtained by Air Plasma Spraying. Materials. 2025; 18(23):5395. https://doi.org/10.3390/ma18235395
Chicago/Turabian StyleKengesbekov, Aidar, Dastan Buitkenov, Garip Erdogan, Aiym Nabioldina, and Sultan Komekov. 2025. "The Influence of Powder Composition and Hydrogen Consumption on the Structural, Corrosion and Tribological Characteristics of Fe-Cr-Al Coatings Obtained by Air Plasma Spraying" Materials 18, no. 23: 5395. https://doi.org/10.3390/ma18235395
APA StyleKengesbekov, A., Buitkenov, D., Erdogan, G., Nabioldina, A., & Komekov, S. (2025). The Influence of Powder Composition and Hydrogen Consumption on the Structural, Corrosion and Tribological Characteristics of Fe-Cr-Al Coatings Obtained by Air Plasma Spraying. Materials, 18(23), 5395. https://doi.org/10.3390/ma18235395

