Giant In-Plane Shrinkage Induced by Structural Phase Transformation in TbCoSi2
Abstract
1. Introduction
2. Method
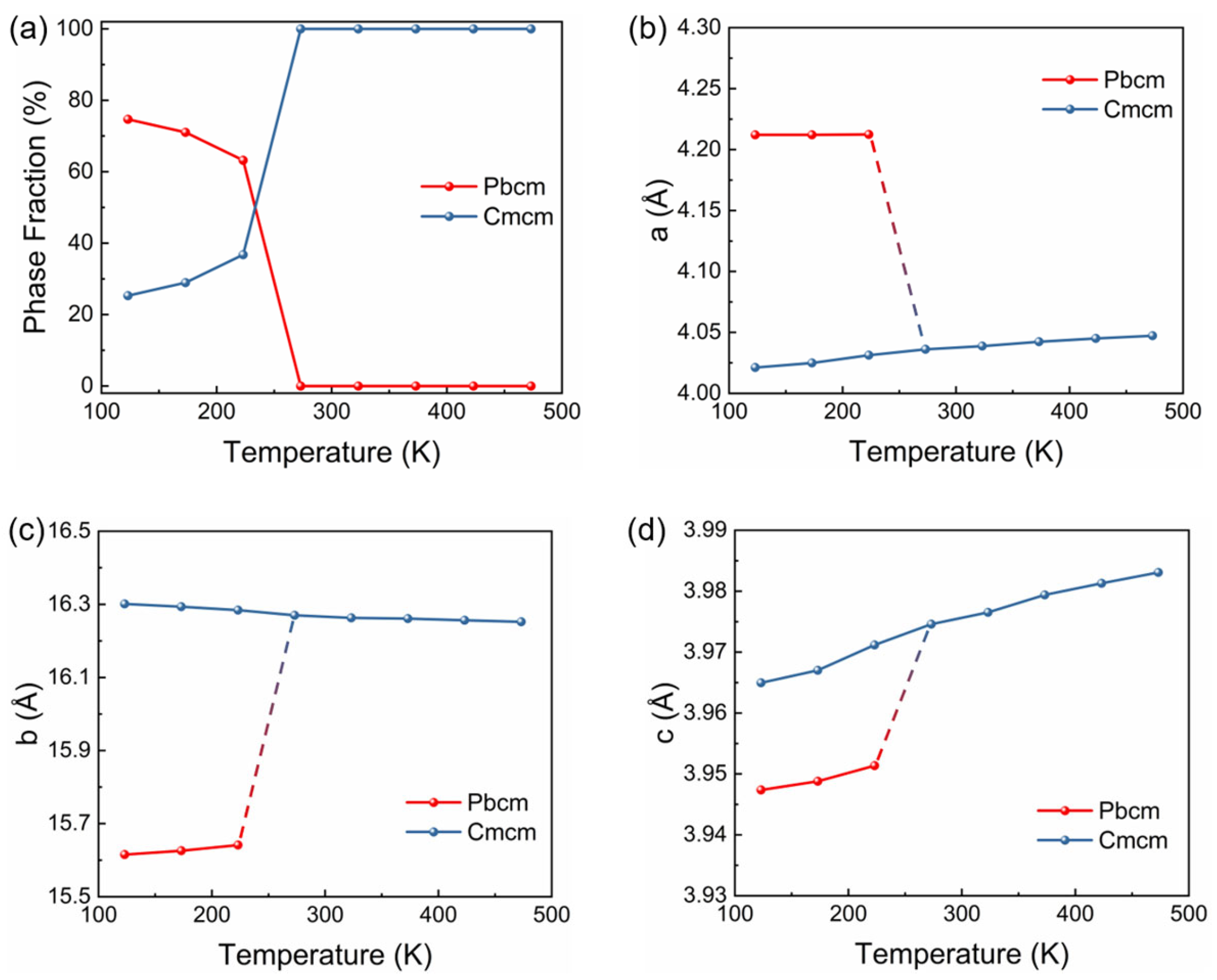
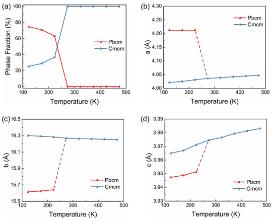
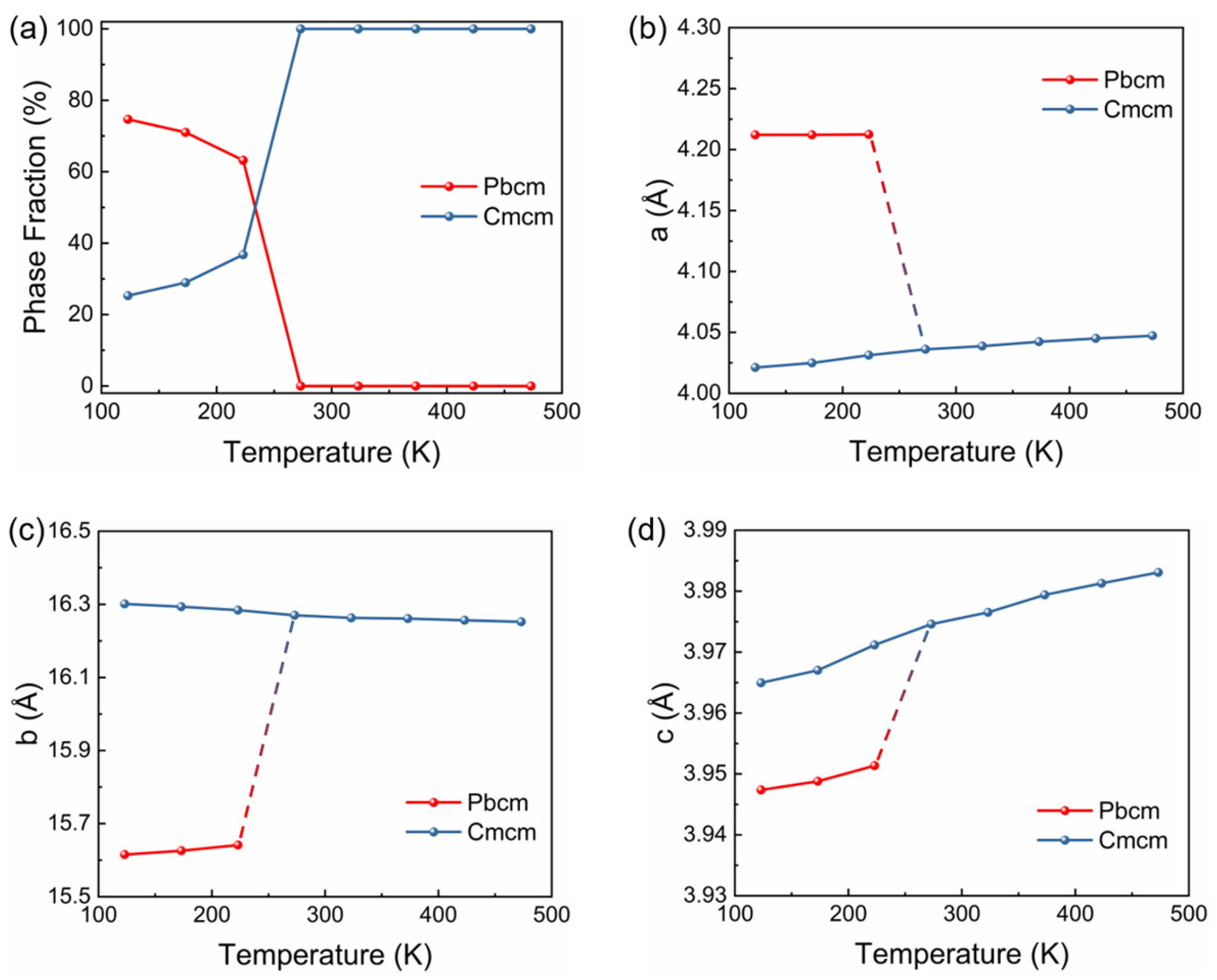
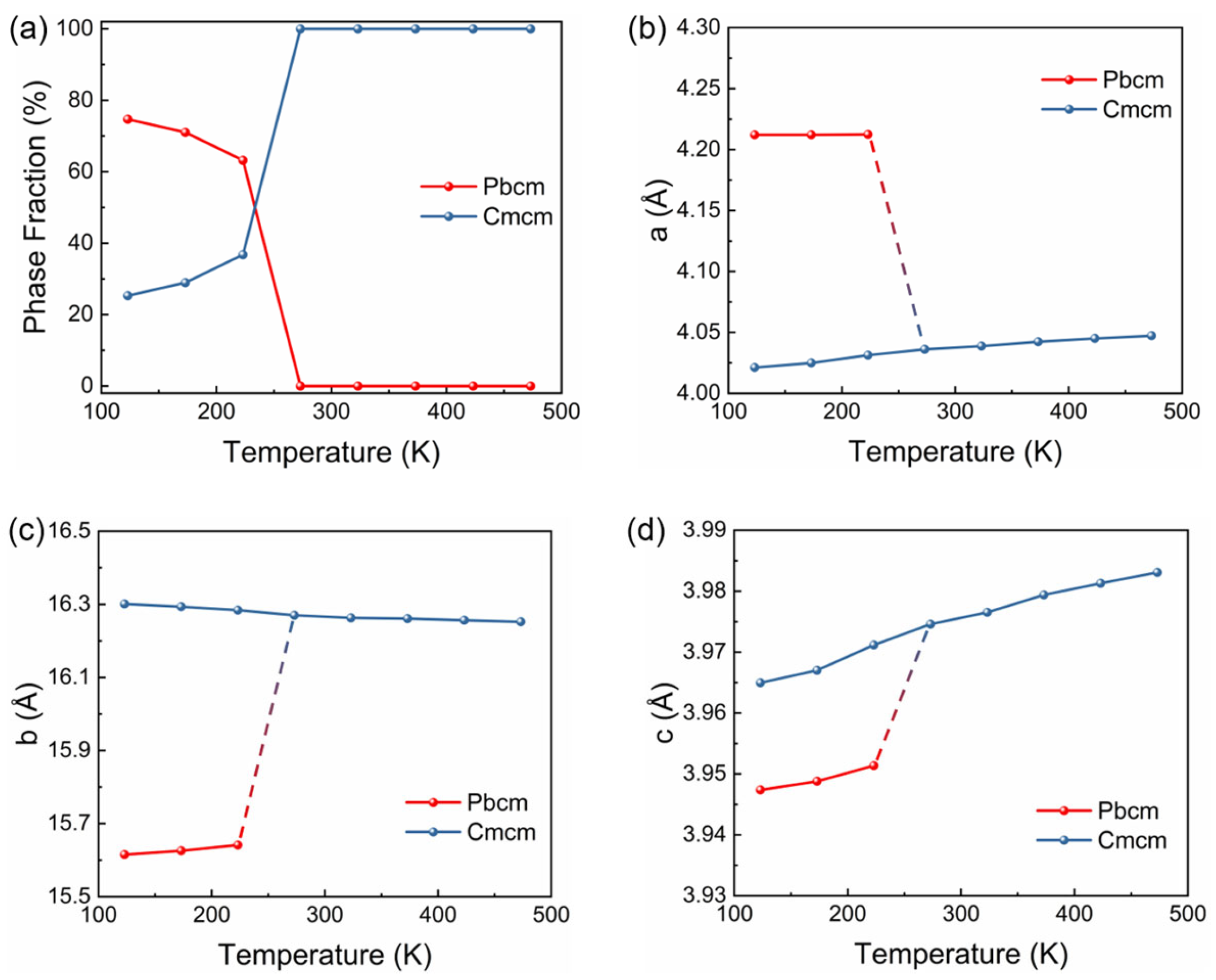
3. Results and Discussion
4. Conclusions
Author Contributions
Funding
Data Availability Statement
Conflicts of Interest
References
- Hu, Y.; Zheng, X.; Ma, G.; Lu, H.; Zhang, L.; Zhang, C.; Xia, Y.; Hao, Y.; He, L.; Chen, J. Giant Negative Thermal Expansion in Antiferromagnetic Cr As-Based Compounds. Phys. Rev. Appl. 2019, 12, 034027. [Google Scholar] [CrossRef]
- Sun, Y.; Yu, R.; Khmelevskyi, S.; Kato, K.; Cao, Y.; Hu, S.; Avdeev, M.; Wang, C.-W.; Yu, C.; Li, Q. Local chemical heterogeneity enabled superior zero thermal expansion in nonstoichiometric pyrochlore magnets. Natl. Sci. Rev. 2025, 12, nwae462. [Google Scholar] [CrossRef] [PubMed]
- Nandihalli, N. Thermoelectric films and periodic structures and spin Seebeck effect systems: Facets of performance optimization. Mater. Today Energy 2022, 25, 100965. [Google Scholar] [CrossRef]
- Lind, C. Two decades of negative thermal expansion research: Where do we stand? Materials 2012, 5, 1125–1154. [Google Scholar] [CrossRef] [PubMed]
- Sleight, A. Zero-expansion plan. Nature 2003, 425, 674–676. [Google Scholar] [CrossRef]
- Fleming, R.O.; Gonçalves, S.; Davarpanah, A.; Radulov, I.; Pfeuffer, L.; Beckmann, B.; Skokov, K.; Ren, Y.; Li, T.; Evans, J. Tailoring negative thermal expansion via tunable induced strain in La–Fe–Si-based multifunctional material. ACS Appl. Mater. Interfaces 2022, 14, 43498–43507. [Google Scholar] [CrossRef]
- Li, Q.; Lin, K.; Liu, Z.; Hu, L.; Cao, Y.; Chen, J.; Xing, X. Chemical diversity for tailoring negative thermal expansion. Chem. Rev. 2022, 122, 8438–8486. [Google Scholar] [CrossRef]
- Takenaka, K. Giant negative thermal expansion materials: Progress of research and future prospects. Mater. Trans. 2024, 65, 243–252. [Google Scholar] [CrossRef]
- Xu, M.; Li, Q.; Song, Y.; Xu, Y.; Sanson, A.; Shi, N.; Wang, N.; Sun, Q.; Wang, C.; Chen, X. Giant uniaxial negative thermal expansion in FeZr2 alloy over a wide temperature range. Nat. Commun. 2023, 14, 4439. [Google Scholar] [CrossRef]
- Yu, C.; Lin, K.; Zhang, Q.; Zhu, H.; An, K.; Chen, Y.; Yu, D.; Li, T.; Fu, X.; Yu, Q. An isotropic zero thermal expansion alloy with super-high toughness. Nat. Commun. 2024, 15, 2252. [Google Scholar] [CrossRef]
- Azuma, M.; Chen, W.-T.; Seki, H.; Czapski, M.; Olga, S.; Oka, K.; Mizumaki, M.; Watanuki, T.; Ishimatsu, N.; Kawamura, N. Colossal negative thermal expansion in BiNiO3 induced by intermetallic charge transfer. Nat. Commun. 2011, 2, 347. [Google Scholar] [CrossRef]
- Guo, W.; Miao, X.; Yan, Z.; Chen, Y.; Gong, Y.; Qian, F.; Xu, F.; Caron, L. Colossal negative thermal expansion over a wide temperature span in dynamically self-assembled MnCo (Ge, Si)/epoxy composites. Mater. Res. Lett. 2024, 12, 315–323. [Google Scholar] [CrossRef]
- Kunhuang, Y.; Yunpeng, Z. Microstructure evolution and magnetic properties of Fe65Ni35 nanocrystalline composite powders prepared by mechanical alloying. J. Funct. Mater. 2019, 59, 11089. [Google Scholar]
- Greve, B.K.; Martin, K.L.; Lee, P.L.; Chupas, P.J.; Chapman, K.W.; Wilkinson, A.P. Pronounced negative thermal expansion from a simple structure: Cubic ScF3. J. Am. Chem. Soc. 2010, 132, 15496–15498. [Google Scholar] [CrossRef] [PubMed]
- Hulbert, B.S.; Blake, D.W.; Mattei, G.S.; Kriven, W.M. Isotropic negative thermal expansion in ZrW2O8 and HfW2O8 from 1100 to 1275 °C. J. Am. Ceram. Soc. 2024, 107, 4594–4603. [Google Scholar] [CrossRef]
- Xiang, Y.; Hao, X.; Liu, X.; Wang, M.; Tian, J.; Kang, C.; Liang, E.; Zhang, W.; Jia, Y. Tailoring Thermal Expansion of (LiFe)0.5xCu2–xP2O7 via Codoping LiFe Diatoms in Cu2P2O7 Oxide. Inorg. Chem. 2022, 61, 1504–1511. [Google Scholar] [CrossRef]
- Guo, L.; Campbell, N.; Grutter, A.J.; Noh, G.; Nan, T.; Quarterman, P.; Choi, S.-Y.; Tybell, T.; Rzchowski, M.S.; Eom, C.-B. Tuning the magnetic anisotropy in artificially layered Mn3GaN/Mn3 Ga superlattices. Phys. Rev. Mater. 2024, 8, L011401. [Google Scholar] [CrossRef]
- Han, H.; Sun, Y.; Deng, S.; Shi, K.; Yuan, X.; Ren, J.; An, S.; Cui, J.; Hu, D.; Ma, Z. Effect of thermal stress on non-collinear antiferromagnetic phase transitions in antiperovskite Mn3GaN compounds with Mn3SbN inclusions. Ceram. Int. 2022, 48, 15200–15206. [Google Scholar] [CrossRef]
- Gębara, P.; Pawlik, P. Broadening of temperature working range in magnetocaloric La (Fe, Co, Si)13-based multicomposite. J. Magn. Magn. Mater. 2017, 442, 145–151. [Google Scholar] [CrossRef]
- Xian, L.; Yu, J.; Lin, W.; Ke, S.; Liu, C.; Nie, X.; Zhu, W.; Wei, P.; He, D.; Zhao, W. Preparation and magnetocaloric performance of La (Fe, Co, Si)13 alloys with wide transition temperature range. Intermetallics 2023, 154, 107827. [Google Scholar] [CrossRef]
- Sun, Y.; Cao, Y.; Hu, S.; Avdeev, M.; Wang, C.-W.; Khmelevskyi, S.; Ren, Y.; Lapidus, S.H.; Chen, X.; Li, Q. Interplanar ferromagnetism enhanced ultrawide zero thermal expansion in Kagome cubic intermetallic (Zr, Nb)Fe2. J. Am. Chem. Soc. 2023, 145, 17096–17102. [Google Scholar] [CrossRef]
- Cen, D.; Wang, B.; Chu, R.; Gong, Y.; Xu, G.; Chen, F.; Xu, F. Design of (Hf, Ta) Fe2/Fe composite with zero thermal expansion covering room temperature. Scr. Mater. 2020, 186, 331–335. [Google Scholar] [CrossRef]
- Wang, H.; Wang, Y.-H.; Gong, Y.-Y.; Xu, G.-Z.; Liu, E.; Miao, X.-F.; Zhang, Y.-J.; Shao, Y.-Y.; Liu, J.; Ui Hassan, N. Designing (Hf, Ta)Fe2-based zero thermal expansion composites consisting of multiple Laves phases. Rare Met. 2024, 43, 6596–6605. [Google Scholar] [CrossRef]
- Zhao, Y.-Y.; Hu, F.-X.; Bao, L.-F.; Wang, J.; Wu, H.; Huang, Q.-Z.; Wu, R.-R.; Liu, Y.; Shen, F.-R.; Kuang, H. Giant negative thermal expansion in bonded MnCoGe-based compounds with Ni2In-type hexagonal structure. J. Am. Chem. Soc. 2015, 137, 1746–1749. [Google Scholar] [CrossRef] [PubMed]
- Manyako, M.; Kowalska, D.; Belan, B.; Gladyshevskii, R. Single crystal investigation of the YbAl2 compound. Ukr. Chem. J. 2019, 85, 25–30. [Google Scholar] [CrossRef]
- Liu, Q.; Dai, X.; Blügel, S. Different facets of unconventional magnetism. Nat. Phys. 2025, 21, 329–331. [Google Scholar] [CrossRef]
- Huang, R.; Liu, Y.; Fan, W.; Tan, J.; Xiao, F.; Qian, L.; Li, L. Giant negative thermal expansion in NaZn13-type La (Fe, Si, Co)13 compounds. J. Am. Chem. Soc. 2013, 135, 11469–11472. [Google Scholar] [CrossRef]
- Guo, D.; Zhang, Y.; Wu, B.; Wang, Y.; Ren, Z. Structural, magnetic properties and magneto-caloric performances in the antiferromagnetic RECoSi2 (RE = Er and Tm) compounds. J. Alloys Compd. 2020, 843, 156016. [Google Scholar] [CrossRef]
- Penc, B.; Szytuła, A.; Wawrzyńska, E.; Hernandez-Velasco, J. Magnetic structures and magnetic phase transitions in TbCoSi2. J. Alloys Compd. 2004, 366, 120–123. [Google Scholar] [CrossRef]
- Radzieowski, M.; Stegemann, F.; Bonnighausen, J.; Janka, O. Physical and Magnetocaloric Properties of TbPdAl2 and the Ferromagnetic Solid Solution Tb1–xLuxPdAl2 (x = 0.1–0.9). Inorg. Chem. 2020, 59, 1137–1144. [Google Scholar] [CrossRef]
- Wu, X.; He, W.; Yang, T.; Xiao, G.; Chen, P.; Bi, Y.; Wu, W. The magnetic and electronic properties of REAgSb2 compounds. J. Magn. Magn. Mater. 2021, 519, 167442. [Google Scholar] [CrossRef]
- Wang, X.; Hao, W.; He, N.; Wang, X.; Zhang, Y.; Yan, M. Structural and cryogenic magnetic properties of the REOCl (RE = Ho, Dy, Tb, and Gd) compounds. Ceram. Int. 2024, 50, 19838–19844. [Google Scholar] [CrossRef]
- Yao, J.; Garshev, A.; Knotko, A.; Yapaskurt, V.; Morozkin, A. The Ce–Ni-Ga system at 670/870 K: Magnetic properties and heat capacity of ternary compounds. J. Solid. State Chem. 2021, 294, 121895. [Google Scholar] [CrossRef]
- Chen, T.; Yao, J.; Knotko, A.; Yapaskurt, V.; Morozkin, A. The Gd-Ni-Ga system at 870 K as a representative of rare-earth nickel gallides: Crystal structure and magnetic properties. J. Solid. State Chem. 2022, 305, 122692. [Google Scholar] [CrossRef]
- Kuznetsov, D.; Kuznetsova, E.; Mashirov, A.; Kamantsev, A.; Danilov, D.; Shandryuk, G.; Taskaev, S.; Musabirov, I.; Gaifullin, R.; Kolkov, M. Structure and Magnetic Properties of Vanadium-Doped Heusler Ni-Mn-In Alloys. Nanomaterials 2025, 15, 1466. [Google Scholar] [CrossRef]
- Guo, D.; Moreno-Ramírez, L.M.; Law, J.-Y.; Zhang, Y.; Franco, V. Excellent cryogenic magnetocaloric properties in heavy rare-earth based HRENiGa2 (HRE = Dy, Ho, or Er) compounds. Sci. China Mater. 2023, 66, 249–256. [Google Scholar] [CrossRef]
- Rodríguez-Carvajal, J. Recent advances in magnetic structure determination by neutron powder diffraction. Phys. B Condens. Matter 1993, 192, 55–69. [Google Scholar] [CrossRef]
- Rietveld, H.M. A profile refinement method for nuclear and magnetic structures. Appl. Crystallogr. 1969, 2, 65–71. [Google Scholar] [CrossRef]
- Kresse, G.; Furthmüller, J. Efficiency of ab-initio total energy calculations for metals and semiconductors using a plane-wave basis set. Comput. Mater. Sci. 1996, 6, 15–50. [Google Scholar] [CrossRef]
- Blöchl, P.E. Projector augmented-wave method. Phys. Rev. B 1994, 50, 17953. [Google Scholar] [CrossRef]
- Perdew, J.P.; Burke, K.; Ernzerhof, M. Generalized gradient approximation made simple. Phys. Rev. Lett. 1996, 77, 3865. [Google Scholar] [CrossRef]
- Dudarev, S.L.; Botton, G.A.; Savrasov, S.Y.; Humphreys, C.; Sutton, A.P. Electron-energy-loss spectra and the structural stability of nickel oxide: An LSDA+U study. Phys. Rev. B 1998, 57, 1505. [Google Scholar] [CrossRef]
- Shishkin, M.; Sato, H. DFT+U in Dudarev’s formulation with corrected interactions between the electrons with opposite spins: The form of Hamiltonian, calculation of forces, and bandgap adjustments. J. Chem. Phys. 2019, 151, 024102. [Google Scholar] [CrossRef] [PubMed]
- Jain, A.; Hautier, G.; Moore, C.J.; Ong, S.P.; Fischer, C.C.; Mueller, T.; Persson, K.A.; Ceder, G. A high-throughput infrastructure for density functional theory calculations. Comput. Mater. Sci. 2011, 50, 2295–2310. [Google Scholar] [CrossRef]
- Monkhorst, H.J.; Pack, J.D. Special points for Brillouin-zone integrations. Phys. Rev. B 1976, 13, 5188. [Google Scholar] [CrossRef]
- Parrinello, M.; Rahman, A. Crystal structure and pair potentials: A molecular-dynamics study. Phys. Rev. Lett. 1980, 45, 1196. [Google Scholar] [CrossRef]
- Gschneidner, K.A.; Bunzli, J.-C.G.; Pecharsky, V.K. Handbook on the Physics and Chemistry of Rare Earths; Elsevier: Amsterdam, The Netherlands, 2004; Volume 34. [Google Scholar]
- Li, Z.; Yang, H.; Xu, K.; Zhang, Y.; Zheng, D.; Jing, C. Magnetocaloric and negative thermal expansion effects for Ni55.5Mn19.5Ga25 Heusler alloy with magneto-structural transition. Mater. Chem. Phys. 2016, 180, 156–160. [Google Scholar] [CrossRef]
- Li, B.; Luo, X.; Wang, H.; Ren, W.; Yano, S.; Wang, C.-W.; Gardner, J.; Liss, K.-D.; Miao, P.; Lee, S.-H. Colossal negative thermal expansion induced by magnetic phase competition on frustrated lattices in Laves phase compound (Hf, Ta)Fe2. Phys. Rev. B 2016, 93, 224405. [Google Scholar] [CrossRef]
- Long, F.; Song, Y.; Chen, J. La (Fe, Si/Al)13-based materials with exceptional magnetic functionalities: A review. Microstructures 2024, 4, 2024011. [Google Scholar] [CrossRef]
- Xu, Z.; Ye, M.; Li, J.; Duan, W.; Xu, Y. Hydrostatic pressure-induced magnetic and topological phase transitions in the MnBi2Te4 family of materials. Phys. Rev. B 2022, 105, 085129. [Google Scholar] [CrossRef]






Disclaimer/Publisher’s Note: The statements, opinions and data contained in all publications are solely those of the individual author(s) and contributor(s) and not of MDPI and/or the editor(s). MDPI and/or the editor(s) disclaim responsibility for any injury to people or property resulting from any ideas, methods, instructions or products referred to in the content. |
© 2025 by the authors. Licensee MDPI, Basel, Switzerland. This article is an open access article distributed under the terms and conditions of the Creative Commons Attribution (CC BY) license (https://creativecommons.org/licenses/by/4.0/).
Share and Cite
Liu, L.; Wang, D.; Zhang, S. Giant In-Plane Shrinkage Induced by Structural Phase Transformation in TbCoSi2. Materials 2025, 18, 5064. https://doi.org/10.3390/ma18215064
Liu L, Wang D, Zhang S. Giant In-Plane Shrinkage Induced by Structural Phase Transformation in TbCoSi2. Materials. 2025; 18(21):5064. https://doi.org/10.3390/ma18215064
Chicago/Turabian StyleLiu, Lulu, Dinghui Wang, and Shoutao Zhang. 2025. "Giant In-Plane Shrinkage Induced by Structural Phase Transformation in TbCoSi2" Materials 18, no. 21: 5064. https://doi.org/10.3390/ma18215064
APA StyleLiu, L., Wang, D., & Zhang, S. (2025). Giant In-Plane Shrinkage Induced by Structural Phase Transformation in TbCoSi2. Materials, 18(21), 5064. https://doi.org/10.3390/ma18215064

