Advancing Sustainable Production of High-Performance Cellulose Pulps
Highlights
- Enzymatic hydrolysis pretreatment of industrial pulps
- Pulp composition influencing the enzymatic performance
- Enhanced conditions for high-performance cellulose pulps
- Sustainable methodology to produce cellulose pulps
- Lower environmental impact and alignment with circular economic principles
- Improvements in tensile strength, air permeability, hydrophobicity, and internal bonding
Abstract
1. Introduction
2. Materials and Methods
2.1. Raw Materials
2.2. Reagents
2.3. Enzymatic Pretreatment Process
2.4. Characterisation of the Enzyme-Pretreated Fibres
2.4.1. Chemical Composition
2.4.2. Morphological Characterisation
2.5. Paper Preparation
2.6. Paper Characterisation
2.6.1. Evaluation of Surface Physical Properties
2.6.2. Mechanical Analysis
2.6.3. FTIR Spectroscopy
2.6.4. Crystallinity Index
3. Results and Discussion
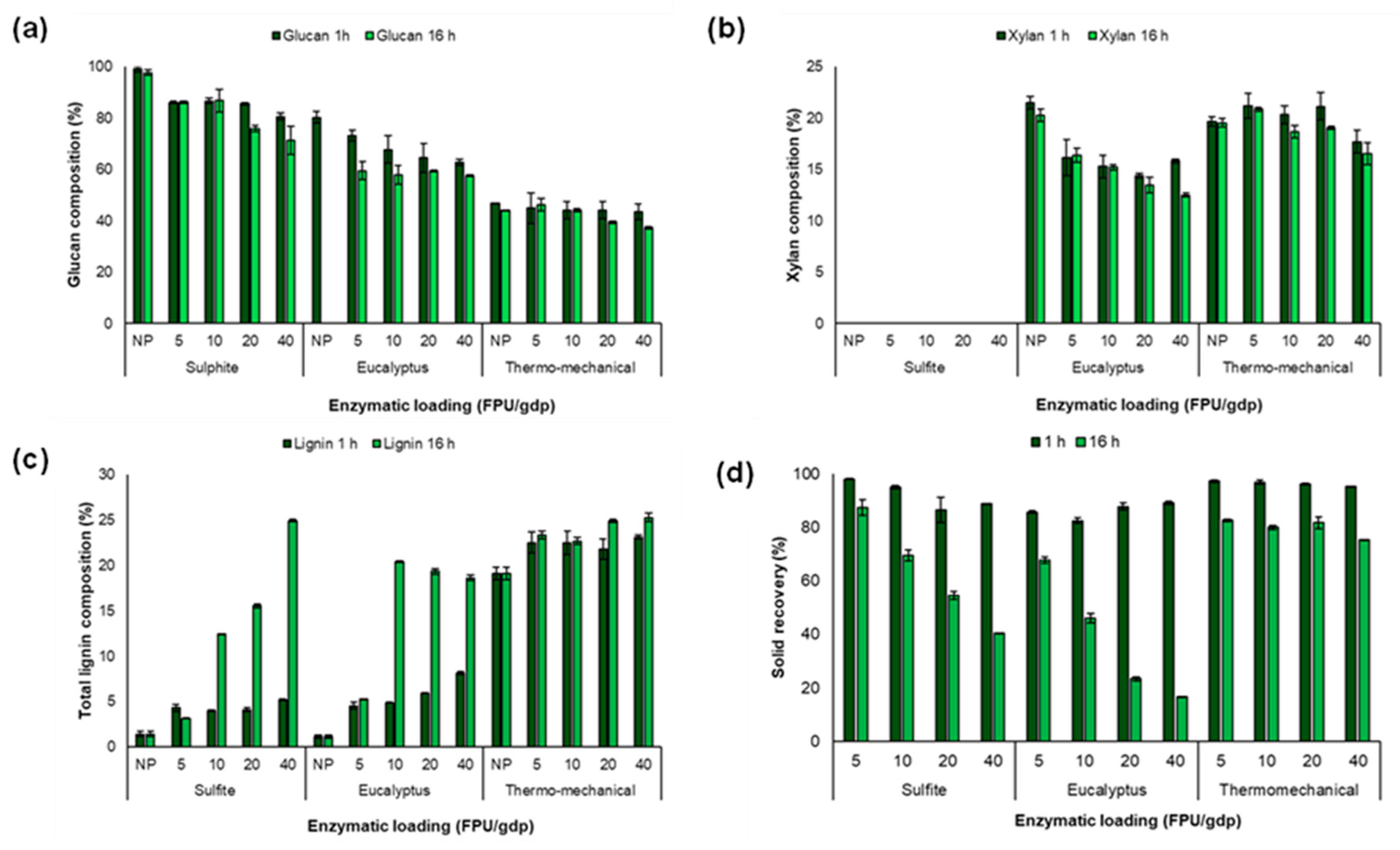
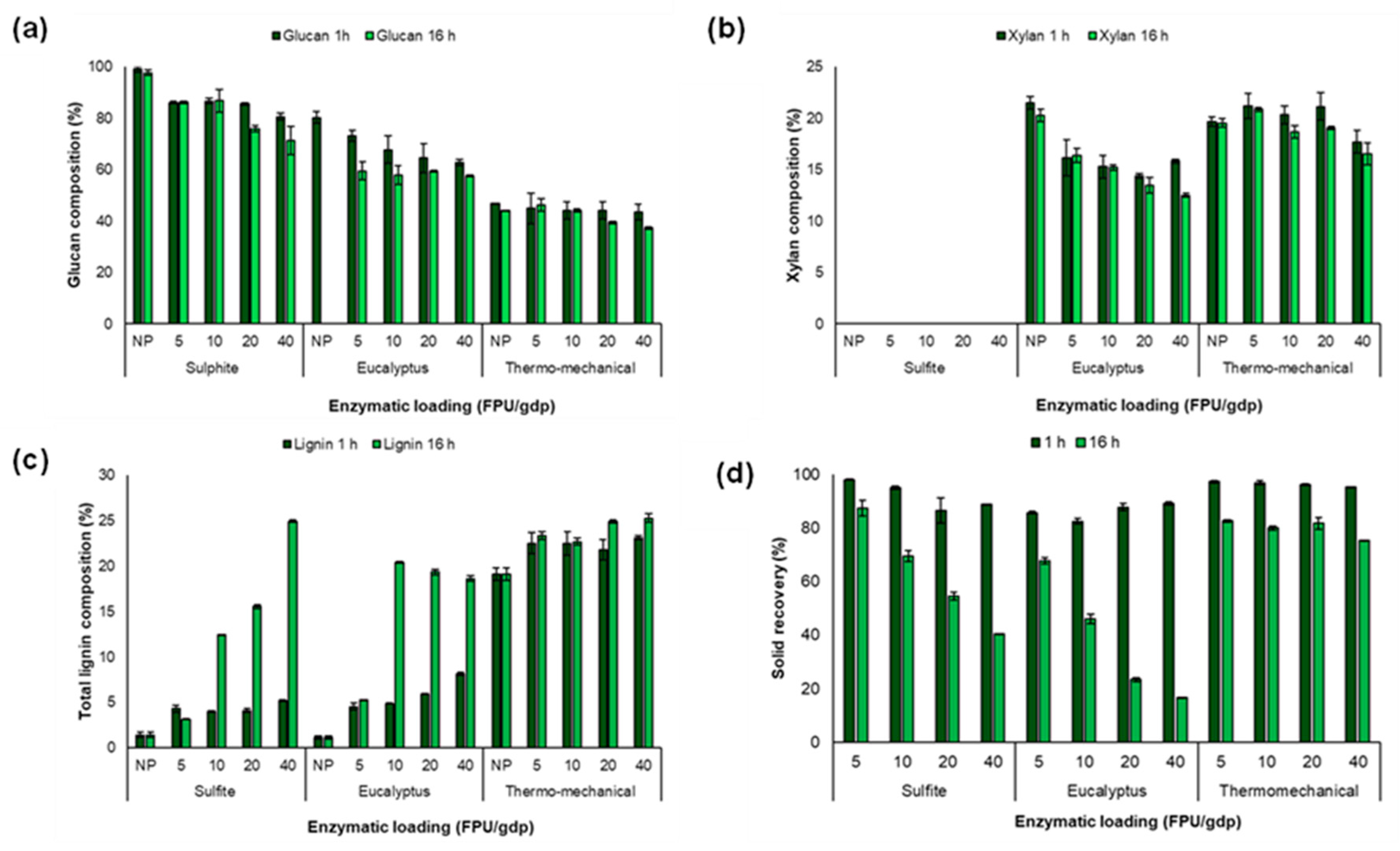
3.1. Characterisation of Enzyme-Pretreated Pulps
3.2. Structure and Properties of Papers from Enzyme-Pretreated Pulp
3.3. Morphological and Chemical Characterisation of Enzyme-Pretreated Pulp Papers
4. Conclusions
Supplementary Materials
Author Contributions
Funding
Data Availability Statement
Conflicts of Interest
References
- Yang, M.; Li, J.; Wang, S.; Zhao, F.; Zhang, C.; Zhang, C.; Han, S. Status and Trends of Enzyme Cocktails for Efficient and Ecological Production in the Pulp and Paper Industry. J. Clean. Prod. 2023, 418, 138196. [Google Scholar] [CrossRef]
- Haske-Cornelius, O.; Hartmann, A.; Brunner, F.; Pellis, A.; Bauer, W.; Nyanhongo, G.S.; Guebitz, G.M. Effects of Enzymes on the Refining of Different Pulps. J. Biotechnol. 2020, 320, 1–10. [Google Scholar] [CrossRef]
- Lecourt, M.; Meyer, V.; Sigoillot, J.C.; Petit-Conil, M. Energy Reduction of Refining by Cellulases. Holzforschung 2010, 64, 441–446. [Google Scholar] [CrossRef]
- Tong, X.; He, Z.; Zheng, L.; Pande, H.; Ni, Y. Enzymatic Treatment Processes for the Production of Cellulose Nanomaterials: A Review. Carbohydr. Polym. 2023, 299, 120199. [Google Scholar] [CrossRef] [PubMed]
- Sun, M.; Wang, Y.; Shi, L.; Klemeš, J.J. Uncovering Energy Use, Carbon Emissions and Environmental Burdens of Pulp and Paper Industry: A Systematic Review and Meta-Analysis. Renew. Sustain. Energy Rev. 2018, 92, 823–833. [Google Scholar] [CrossRef]
- Fleiter, T.; Fehrenbach, D.; Worrell, E.; Eichhammer, W. Energy Efficiency in the German Pulp and Paper Industry—A Model-Based Assessment of Saving Potentials. Energy 2012, 40, 84–99. [Google Scholar] [CrossRef]
- Chen, H.; Gnanasekar, P.; Nair, S.S.; Xu, W.; Chauhan, P.; Yan, N. Lignin as a Key Component in Lignin-Containing Cellulose Nanofibrils for Enhancing the Performance of Polymeric Diphenylmethane Diisocyanate Wood Adhesives. ACS Sustain. Chem. Eng. 2020, 8, 17165–17176. [Google Scholar] [CrossRef]
- Zhang, X.; Tanguy, N.R.; Chen, H.; Zhao, Y.; Gnanasekar, P.; Le Lagadec, R.; Yan, N. Lignocellulosic Nanofibrils as Multifunctional Component for High-Performance Packaging Applications. Mater. Today Commun. 2022, 31, 103630. [Google Scholar] [CrossRef]
- Ait Benhamou, A.; Boussetta, A.; Salim, M.H.; Mennani, M.; Kasbaji, M.; Kassab, Z.; Landry, V.; Tardy, B.L.; Pizzi, A.; El Achaby, M.; et al. How Can Cellulosic Fibers Enhance Adhesion in Engineered Wood? Mater. Sci. Eng. R Rep. 2024, 161, 100852. [Google Scholar] [CrossRef]
- Chen, X.Q.; Pang, G.X.; Shen, W.H.; Tong, X.; Jia, M.Y. Preparation and Characterization of the Ribbon-like Cellulose Nanocrystals by the Cellulase Enzymolysis of Cotton Pulp Fibers. Carbohydr. Polym. 2019, 207, 713–719. [Google Scholar] [CrossRef]
- Amadi, O.C.; Awodiran, I.P.; Moneke, A.N.; Nwagu, T.N.; Egong, J.E.; Chukwu, G.C. Concurrent Production of Cellulase, Xylanase, Pectinase and Immobilization by Combined Cross-Linked Enzyme Aggregate Strategy—Advancing Tri-Enzyme Biocatalysis. Bioresour. Technol. Rep. 2022, 18, 101019. [Google Scholar] [CrossRef]
- Rajnish, K.N.; Samuel, M.S.; John, J.A.; Datta, S.; Chandrasekar, N.; Balaji, R.; Jose, S.; Selvarajan, E. Immobilization of Cellulase Enzymes on Nano and Micro-Materials for Breakdown of Cellulose for Biofuel Production-a Narrative Review. Int. J. Biol. Macromol. 2021, 182, 1793–1802. [Google Scholar] [CrossRef]
- Satyamurthy, P.; Jain, P.; Balasubramanya, R.H.; Vigneshwaran, N. Preparation and Characterization of Cellulose Nanowhiskers from Cotton Fibres by Controlled Microbial Hydrolysis. Carbohydr. Polym. 2011, 83, 122–129. [Google Scholar] [CrossRef]
- Cui, S.; Zhang, S.; Ge, S.; Xiong, L.; Sun, Q. Green Preparation and Characterization of Size-Controlled Nanocrystalline Cellulose via Ultrasonic-Assisted Enzymatic Hydrolysis. Ind. Crops Prod. 2016, 83, 346–352. [Google Scholar] [CrossRef]
- Teixeira, R.S.S.; Da Silva, A.S.A.; Jang, J.H.; Kim, H.W.; Ishikawa, K.; Endo, T.; Lee, S.H.; Bon, E.P.S. Combining Biomass Wet Disk Milling and Endoglucanase/β-Glucosidase Hydrolysis for the Production of Cellulose Nanocrystals. Carbohydr. Polym. 2015, 128, 75–81. [Google Scholar] [CrossRef]
- Siqueira, G.A.; Dias, I.K.R.; Arantes, V. Exploring the Action of Endoglucanases on Bleached Eucalyptus Kraft Pulp as Potential Catalyst for Isolation of Cellulose Nanocrystals. Int. J. Biol. Macromol. 2019, 133, 1249–1259. [Google Scholar] [CrossRef]
- Dias, I.K.R.; Siqueira, G.A.; Arantes, V. Xylanase Increases the Selectivity of the Enzymatic Hydrolysis with Endoglucanase to Produce Cellulose Nanocrystals with Improved Properties. Int. J. Biol. Macromol. 2022, 220, 589–600. [Google Scholar] [CrossRef]
- Arantes, V.; Saddler, J.N. Access to Cellulose Limits the Efficiency of Enzymatic Hydrolysis: The Role of Amorphogenesis. Biotechnol. Biofuels 2010, 3, 4. [Google Scholar] [CrossRef]
- Las-Casas, B.; Arantes, V. Exploring Xylan Removal via Enzymatic Post-Treatment to Tailor the Properties of Cellulose Nanofibrils for Packaging Film Applications. Int. J. Biol. Macromol. 2024, 274, 133325. [Google Scholar] [CrossRef]
- Morán-Aguilar, M.G.; Calderón-Santoyo, M.; de Souza Oliveira, R.P.; Aguilar-Uscanga, M.G.; Domínguez, J.M. Deconstructing Sugarcane Bagasse Lignocellulose by Acid-Based Deep Eutectic Solvents to Enhance Enzymatic Digestibility. Carbohydr. Polym. 2022, 298, 120097. [Google Scholar] [CrossRef]
- Ghose, T.K. Measurement of Cellulase Activities. Pure Appl. Chem. 1987, 59, 257–268. [Google Scholar] [CrossRef]
- Bailey, M.J.; Biely, P.; Poutanen, K. Interlaboratory Testing of Methods for Assay of Xylanase Activity. J. Biotechnol. 1992, 23, 257–270. [Google Scholar] [CrossRef]
- Morán-Aguilar, M.G.; Costa-Trigo, I.; Aguilar-Uscanga, M.G.; Paz, A.; Domínguez, J.M. Development of Sustainable Sugarcane Bagasse Biorefinery Using a Greener Deep Eutectic Solvent from Hemicellulose-Derived Acids. Biomass Bioenergy 2024, 186, 107256. [Google Scholar] [CrossRef]
- Sluiter, A.; Hames, B.; Ruiz, R.; Scarlata, C.; Sluiter, J.; Templeton, D.; Crocker, D. Determination of Structural Carbohydrates and Lignin in Biomass. Biomass Anal. Technol. Team Lab. Anal. Proced. 2008, 1617, 1–16. [Google Scholar]
- Mazega, A.; Signori-Iamin, G.; Aguado, R.J.; Tarrés, Q.; Ramos, L.P.; Delgado-Aguilar, M. Enzymatic Pretreatment for Cellulose Nanofiber Production: Understanding Morphological Changes and Predicting Reducing Sugar Concentration. Int. J. Biol. Macromol. 2023, 253, 127054. [Google Scholar] [CrossRef] [PubMed]
- Narlıoğlu, N. Effect of Oak Wood Modification on FTIR Crystallinity Indexes. GreenTech 2023, 1, 7–12. [Google Scholar] [CrossRef]
- Teaca, C.A. Crystalline structure of cellulose in wood after chemical modification using cyclic acid anhydrides (Maleic and Succinic). Bioresources 2023, 18, 2535–2550. [Google Scholar] [CrossRef]
- Azizan, A.; Jusri, N.A.A.; Azmi, I.S.; Abd Rahman, M.F.; Ibrahim, N.; Jalil, R. Emerging Lignocellulosic Ionic Liquid Biomass Pretreatment Criteria/Strategy of Optimization and Recycling Short Review with Infrared Spectroscopy Analytical Know-How. In Materials Today: Proceedings; Elsevier Ltd.: Amsterdam, The Netherlands, 2022; Volume 63, pp. S359–S367. [Google Scholar]
- Nelson, M.L. Relation of Certain Infrared Bands to Cellulose Crystallinity and Crystal Lattice Type. Part, I. Spectra of Lattice Types I, 11, I11 and of Amorphous Cellulose. J. Appl. Polym. Sci. 1964, 8, 1325–1341. [Google Scholar]
- Kljun, A.; Benians, T.A.S.; Goubet, F.; Meulewaeter, F.; Knox, J.P.; Blackburn, R.S. Comparative Analysis of Crystallinity Changes in Cellulose i Polymers Using ATR-FTIR, X-Ray Diffraction, and Carbohydrate-Binding Module Probes. Biomacromolecules 2011, 12, 4121–4126. [Google Scholar] [CrossRef]
- Gontia, P.; Janssen, M. Life Cycle Assessment of Bio-Based Sodium Polyacrylate Production from Pulp Mill Side Streams: Case Study of Thermo-Mechanical and Sulfite Pulp Mills. J. Clean. Prod. 2016, 131, 475–484. [Google Scholar] [CrossRef]
- Deshpande, R.; Sundvall, L.; Grundberg, H.; Henriksson, G.; Lawoko, M. Structural Basis for Lignin Recalcitrance during Sulfite Pulping for Production of Dissolving Pulp from Pine Heartwood. Ind. Crops Prod. 2022, 177, 114391. [Google Scholar] [CrossRef]
- Harinath, E.; Biegler, L.T.; Dumont, G.A. Predictive Optimal Control for Thermo-Mechanical Pulping Processes with Multi-Stage Low Consistency Refining. J. Process Control 2013, 23, 1001–1011. [Google Scholar] [CrossRef]
- Makarov, I.S.; Golova, L.K.; Bondarenko, G.N.; Anokhina, T.S.; Dmitrieva, E.S.; Levin, I.S.; Makhatova, V.E.; Galimova, N.Z.; Shambilova, G.K. Structure, Morphology, and Permeability of Cellulose Films. Membranes 2022, 12, 297. [Google Scholar] [CrossRef]
- Zhang, J.; Tang, M.; Viikari, L. Xylans Inhibit Enzymatic Hydrolysis of Lignocellulosic Materials by Cellulases. Bioresour. Technol. 2012, 121, 8–12. [Google Scholar] [CrossRef] [PubMed]
- Dahlman, O.; Jacobs, A.; Sjöberg, J. Molecular Properties of Hemicelluloses Located in the Surface and Inner Layers of Hardwood and Softwood Pulps. Cellulose 2003, 10, 325–334. [Google Scholar] [CrossRef]
- Ko, J.K.; Um, Y.; Park, Y.C.; Seo, J.H.; Kim, K.H. Compounds Inhibiting the Bioconversion of Hydrothermally Pretreated Lignocellulose. Appl. Microbiol. Biotechnol. 2015, 99, 4201–4212. [Google Scholar] [CrossRef]
- Liu, T.; Wang, P.; Tian, J.; Guo, J.; Zhu, W.; Bushra, R.; Huang, C.; Jin, Y.; Xiao, H.; Song, J. Emerging Role of Additives in Lignocellulose Enzymatic Saccharification: A Review. Renew. Sustain. Energy Rev. 2024, 197, 114395. [Google Scholar] [CrossRef]
- Tu, M.; Pan, X.; Saddler, J.N. Adsorption of Cellulase on Cellulolytic Enzyme Lignin from Lodgepole Pine. J. Agric. Food Chem. 2009, 57, 7771–7778. [Google Scholar] [CrossRef] [PubMed]
- Tajik, M.; Jalali Torshizi, H.; Resalati, H.; Hamzeh, Y. Effects of Cellulose Nanofibrils and Starch Compared with Polyacrylamide on Fundamental Properties of Pulp and Paper. Int. J. Biol. Macromol. 2021, 192, 618–626. [Google Scholar] [CrossRef]
- Boufi, S.; González, I.; Delgado-Aguilar, M.; Tarrès, Q.; Pèlach, M.À.; Mutjé, P. Nanofibrillated Cellulose as an Additive in Papermaking Process: A Review. Carbohydr. Polym. 2016, 154, 151–166. [Google Scholar] [CrossRef]
- Klemm, D.; Kramer, F.; Moritz, S.; Lindström, T.; Ankerfors, M.; Gray, D.; Dorris, A. Nanocelluloses: A New Family of Nature-Based Materials. Angew. Chem.-Int. Ed. 2011, 50, 5438–5466. [Google Scholar]
- Bastida, G.A.; Aguado, R.J.; Galván, M.V.; Zanuttini, M.; Delgado-Aguilar, M.; Tarrés, Q. Impact of Cellulose Nanofibers on Cellulose Acetate Membrane Performance. Cellulose 2024, 31, 2221–2238. [Google Scholar] [CrossRef]
- Wang, C.; Su, J.; Liu, T.; Ge, S.; Liew, R.K.; Zhang, H.; Naushad, M.; Lam, S.S.; Ng, H.S.; Sonne, C.; et al. A Sustainable Strategy to Transform Cotton Waste into Renewable Cellulose Fiber Self-Reinforcing Composite Paper. J. Clean. Prod. 2023, 429, 139567. [Google Scholar] [CrossRef]
- Mohlin, U.-B.; Pettersson, B. Improved Papermaking by Cellulase Treatment before Refining. Progress in Biotechnology. 2002, 21, 291–299. [Google Scholar] [CrossRef]
- Li, J.; Alamdari, N.E.; Aksoy, B.; Parit, M.; Jiang, Z. Integrated Enzyme Hydrolysis Assisted Cellulose Nanofibril (CNF) Fabrication: A Sustainable Approach to Paper Mill Sludge (PMS) Management. Chemosphere 2023, 334, 138966. [Google Scholar] [CrossRef] [PubMed]
- Tanveer, A.; Gupta, S.; Dwivedi, S.; Yadav, K.; Yadav, S.; Yadav, D. Innovations in Papermaking Using Enzymatic Intervention: An Ecofriendly Approach. Cellulose 2023, 30, 7393–7425. [Google Scholar] [CrossRef]
- Bastida, G.A.; Zanuttini, M.A.; Tarrés, Q.; Fiol, N.; Delgado-Aguilar, M.; Galván, M.V. Innovative System Based on Natural Polyelectrolyte Complex and Cellulose Micro/Nanofibers to Improve Drainability and Properties of Recycled Paper. Cellulose 2023, 30, 5895–5910. [Google Scholar] [CrossRef]
- Wernersson Brodin, F.; Eriksen, Ø. Preparation of Individualised Lignocellulose Microfibrils Based on Thermomechanical Pulp and Their Effect on Paper Properties. Nord. Pulp Pap. Res. J. 2015, 30, 443–451. [Google Scholar] [CrossRef]
- Drelich, J.W.; Boinovich, L.; Chibowski, E.; Della Volpe, C.; Hołysz, L.; Marmur, A.; Siboni, S. Contact Angles: History of over 200 Years of Open Questions. Surf. Innov. 2020, 8, 3–27. [Google Scholar] [CrossRef]
- Claro, F.C.; Matos, M.; Jordão, C.; Avelino, F.; Lomonaco, D.; Magalhães, W.L.E. Enhanced Microfibrillated Cellulose-Based Film by Controlling the Hemicellulose Content and MFC Rheology. Carbohydr. Polym. 2019, 218, 307–314. [Google Scholar] [CrossRef]
- Kumagai, A.; Endo, T. Effects of Hemicellulose Composition and Content on the Interaction between Cellulose Nanofibers. Cellulose 2021, 28, 259–271. [Google Scholar] [CrossRef]
- Mokti, N.; Azizan, A.; Shafaei, S.M.; Sidek, N.S.; Hanafi, F.; Mokti, N.; Zaharudin Lecturer, S. Fourier Transform Infrared Spectroscopy Interpretation on Pretreated Acacia Auriculiformis, Melastoma Malabathricum and Leucaeana Leucocephala. Int. J. Appl. Eng. Res. 2016, 11, 10048–10051. [Google Scholar]
- Wang, X.; Zeng, J.; Zhu, J.Y. Morphological and Rheological Properties of Cellulose Nanofibrils Prepared by Post-Fibrillation Endoglucanase Treatment. Carbohydr. Polym. 2022, 295, 119885. [Google Scholar] [CrossRef]
- Tkachenko, O.; Li, H.; Dobele, G.; Sevastyanova, O.; Budnyak, T.M. Lignin-Enriched Cellulose Membranes for Efficient Removal of Synthetic Dyes from Aqueous Environments. React. Funct. Polym. 2025, 213, 106275. [Google Scholar] [CrossRef]
- Zhuang, J.; Li, M.; Pu, Y.; Ragauskas, A.J.; Yoo, C.G. Observation of Potential Contaminants in Processed Biomass Using Fourier Transform Infrared Spectroscopy. Appl. Sci. 2020, 10, 4345. [Google Scholar] [CrossRef]
- Yue, Y.; Han, J.; Han, G.; Aita, G.M.; Wu, Q. Cellulose Fibers Isolated from Energycane Bagasse Using Alkaline and Sodium Chlorite Treatments: Structural, Chemical and Thermal Properties. Ind. Crops Prod. 2015, 76, 355–363. [Google Scholar] [CrossRef]
- Chen, R.-D.; Huang, C.F.; Hsu, S.H. Composites of Waterborne Polyurethane and Cellulose Nanofibers for 3D Printing and Bioapplications. Carbohydr. Polym. 2019, 212, 75–88. [Google Scholar] [CrossRef] [PubMed]
- Tu, C.-W.; Tsai, F.-C.; Chen, J.-K.; Wang, H.-P.; Lee, R.-H.; Zhang, J.; Chen, T.; Wang, C.-C.; Huang, C.-F. Preparations of Tough and Conductive PAMPS/PAA Double Network Hydrogels Containing Cellulose Nanofibers and Polypyrroles. Polymers 2020, 12, 2835. [Google Scholar] [CrossRef]
- Ghosh, T.; Roy, S.; Khan, A.; Mondal, K.; Ezati, P.; Rhim, J.W. Agricultural Waste-Derived Cellulose Nanocrystals for Sustainable Active Food Packaging Applications. Food Hydrocoll. 2024, 154, 110141. [Google Scholar] [CrossRef]
- Singh, R.; Jain, R.; Soni, P.; de Los Santos-Villalobos, S.; Chattaraj, S.; Roy, D.; Mitra, D.; Gaur, A. Graphing the Green Route: Enzymatic Hydrolysis in Sustainable Decomposition. Curr. Res. Microb. Sci. 2024, 7, 100281. [Google Scholar] [CrossRef]




| Polysaccharide (%) | Lignin (%) | ||||
|---|---|---|---|---|---|
| Cellulose Pulp | Glucan | Xylan | KL | ASL | Total Lignin |
| Sulphite | 99.06 ± 1.11 a | 0.00 ± 0.00 b | 1.28 ± 0.58 b | 0.17 ± 0.00 b | 1.45 ± 0.29 b |
| Eucalyptus | 80.03 ± 2.45 b | 20.49 ± 0.62 a | 0.88 ± 0.32 b | 0.26 ± 0.01 a | 1.14 ± 0.16 b |
| Thermomechanical | 46.86 ± 0.03 c | 19.70 ± 0.46 a | 18.99 ± 1.37 a | 0.12 ± 0.01 c | 19.11 ± 0.69 a |
| Reaction Time (h) | Type of Pulp | Enzymatic Loading (FPU/gdp) | Fibre Length (µm) | Fibre Width (µm) |
|---|---|---|---|---|
| 1 | Sulphite | Non-pretreated | 476.0 ± 10.0 | 23.0 ± 0.2 |
| 5 | 468.0 ± 4.0 | 23.0 ± 0.3 | ||
| 10 | 432.0 ± 16.0 | 23.0 ± 0.1 | ||
| 20 | 416.0 ± 1.0 | 23.0 ± 0.0 | ||
| 40 | 307.0 ± 14.0 | 23.0 ± 0.0 | ||
| Eucalyptus | Non-pretreated | 495.0 ± 2.0 | 17.0 ± 0.1 | |
| 5 | 477.0 ± 1.0 | 17.0 ± 0.1 | ||
| 10 | 474.0 ± 1.0 | 17.0 ± 0.1 | ||
| 20 | 396.0 ± 2.0 | 17.0 ± 0.0 | ||
| 40 | 330.0 ± 3.0 | 17.0 ± 0.1 | ||
| Thermo-mechanical | Non-pretreated | 330.0 ± 14.0 | 24.0 ± 1.0 | |
| 5 | 320.0 ± 4.0 | 23.0 ± 0.1 | ||
| 10 | 320.0 ± 1.0 | 23.0 ± 0.1 | ||
| 20 | 324.0 ± 2.0 | 24.0 ± 0.1 | ||
| 40 | 322.0 ± 11.0 | 24.0 ± 0.1 | ||
| 16 | Sulphite | 5 | 285.0 ± 4.0 | 21.0 ± 0.1 |
| 10 | 202.0 ± 1.0 | 21.0 ± 0.01 | ||
| 20 | 164.0 ± 0.01 | 21.0 ± 0.1 | ||
| 40 | 157.0 ± 1.0 | 21.0 ± 0.1 | ||
| Eucalyptus | 5 | 264.0 ± 4.0 | 18.0 ± 0.1 | |
| 10 | 203.0 ± 2.0 | 18.3 ± 0.1 | ||
| 20 | 155.0 ± 2.0 | 18.0 ± 0.1 | ||
| 40 | 142.0 ± 1.0 | 18.0 ± 0.3 | ||
| Thermo-mechanical | 5 | 264.0 ± 0.01 | 22.0 ± 0.1 | |
| 10 | 281.0 ± 11.0 | 22.0 ± 0.1 | ||
| 20 | 246.0 ± 1.0 | 22.3 ± 0.1 | ||
| 40 | 240.0 ± 5.0 | 22.4 ± 0.3 |
| Pulp Type | Wavenumber (cm−1) | Prediction of Functional Groups | Reference |
|---|---|---|---|
| SP | 1013 | Stretching: C–O, plane deformation of C–H in lignin | [20] |
| EP | 1025 | ||
| SP | 1051 | Stretching vibration in C–OH and deformation of C–O in lignin | [20] |
| EP | 1313 | Wagging in CH2, stretching in C–O of substituted aromatic units in cellulose | [20] |
| SP | 1318 | ||
| SP | 1318 | C–H2 wagging in cellulose | [53] |
| EP | 1313 | ||
| EP | 1430 | Absorption of CH2 bending vibration in cellulose | [28] |
| SP | 1426 | Bending vibration in symmetric CH2, carboxyl group symmetric stretching band and deformation C–H in cellulose and hemicellulose | |
| TMP | 1424 | ||
| TMP | 1465 | Deformation of C–H of methyl and methylene in lignin | [20] |
| SP | 2890 | Stretching vibration on symmetric and asymmetric C–H of methyl (–CH3) and methylene (>CH2) of cellulose | [20] |
| EP | 2878 | ||
| TMP | 2885 | ||
| SP | 3306 | Stretching and vibration of O–H of D-glucopyranose backbone in cellulose | [44] |
| EP | 3303 | ||
| TMP | 3304 |
| Crystallinity | ||
|---|---|---|
| Sample | TCI (A1378 cm−1/A2900 cm−1) | LOI (A1437 cm−1/A897 cm−1) |
| Sulphite non-pretreated | 1.13 | 0.45 |
| Sulphite 10 FPU/gdp; 1 h | 1.14 | 0.50 |
| Sulphite 10 FPU/gdp; 16 h | 1.24 | 0.45 |
| Eucalyptus non-pretreated | 1.11 | 0.43 |
| Eucalyptus 5 FPU/gdp; 1 h | 1.22 | 0.47 |
| Eucalyptus 5 FPU/gdp; 16 h | 1.21 | 0.43 |
| Thermomechanical non-pretreated | 1.22 | 0.52 |
| Thermomechanical 40 FPU/gdp; 1 h | 1.19 | 0.54 |
| Thermomechanical 40 FPU/gdp; 16 h | 1.17 | 0.57 |
Disclaimer/Publisher’s Note: The statements, opinions and data contained in all publications are solely those of the individual author(s) and contributor(s) and not of MDPI and/or the editor(s). MDPI and/or the editor(s) disclaim responsibility for any injury to people or property resulting from any ideas, methods, instructions or products referred to in the content. |
© 2025 by the authors. Licensee MDPI, Basel, Switzerland. This article is an open access article distributed under the terms and conditions of the Creative Commons Attribution (CC BY) license (https://creativecommons.org/licenses/by/4.0/).
Share and Cite
Morán-Aguilar, M.G.; Costa-Trigo, I.; Bastida, G.A.; Mazega, A.; Duran, J.; Domínguez, J.M.; Vilaseca, F. Advancing Sustainable Production of High-Performance Cellulose Pulps. Materials 2025, 18, 4968. https://doi.org/10.3390/ma18214968
Morán-Aguilar MG, Costa-Trigo I, Bastida GA, Mazega A, Duran J, Domínguez JM, Vilaseca F. Advancing Sustainable Production of High-Performance Cellulose Pulps. Materials. 2025; 18(21):4968. https://doi.org/10.3390/ma18214968
Chicago/Turabian StyleMorán-Aguilar, María Guadalupe, Iván Costa-Trigo, Gabriela A. Bastida, André Mazega, Josep Duran, José Manuel Domínguez, and Fabiola Vilaseca. 2025. "Advancing Sustainable Production of High-Performance Cellulose Pulps" Materials 18, no. 21: 4968. https://doi.org/10.3390/ma18214968
APA StyleMorán-Aguilar, M. G., Costa-Trigo, I., Bastida, G. A., Mazega, A., Duran, J., Domínguez, J. M., & Vilaseca, F. (2025). Advancing Sustainable Production of High-Performance Cellulose Pulps. Materials, 18(21), 4968. https://doi.org/10.3390/ma18214968

