Prediction of Fracture Loads in 3D-Printed ASA and Carbon-Fiber Reinforced ASA Notched Specimens Using the Calibrated ASED Criterion
Abstract
1. Introduction
2. Materials and Methods
3. Results and Discussion
4. Conclusions
Author Contributions
Funding
Institutional Review Board Statement
Informed Consent Statement
Data Availability Statement
Conflicts of Interest
Abbreviations
| ABS | Acrylonitrile-butadiene-styrene | 
| AM | Additive manufacturing | 
| ASA | Acrylonitrile-styrene-acrylate | 
| ASA-CF10 | Carbon-fiber reinforced ASA (10 wt.%) | 
| ASED | Average Strain Energy Density criterion | 
| ASTM | American Society for Testing and Materials | 
| FE | Finite element | 
| FFF | Fused Filament Fabrication | 
| RO | Raster orientation | 
| SENB | Single-edge-notched bending | 
| TCD | Theory of Critical Distances | 
Appendix A
| RO | Test nº | ρ (mm) | W (mm) | B (mm) | a0 (mm) | Pmax (N) | PASED (N) | PASED/Pmax | PASED* (N) | PASED*/Pmax | 
|---|---|---|---|---|---|---|---|---|---|---|
| 0/90 | 1 | 0.00 | 9.86 | 5.18 | 4.75 | 101.6 | - | - | - | - | 
| 2 | 0.00 | 9.72 | 5.16 | 4.80 | 67.4 | - | - | - | - | |
| 3 | 0.00 | 9.55 | 5.00 | 4.78 | 78.0 | - | - | - | - | |
| 4 | 0.00 | 9.64 | 5.01 | 4.90 | 52.5 | - | - | - | - | |
| 5 | 0.00 | 9.75 | 5.13 | 4.80 | 66.2 | - | - | - | - | |
| 6 | 0.00 | 9.74 | 4.99 | 4.18 | 69.8 | - | - | - | - | |
| 1 | 0.51 | 9.67 | 5.09 | 5.17 | 71.9 | 88.43 | 1.231 | 67.73 | 0.943 | |
| 2 | 0.52 | 9.57 | 5.07 | 5.16 | 70.7 | 87.60 | 1.239 | 67.19 | 0.950 | |
| 3 | 0.50 | 9.40 | 5.05 | 5.15 | 72.8 | 89.28 | 1.227 | 68.30 | 0.938 | |
| 4 | 0.49 | 9.73 | 5.10 | 4.99 | 91.7 | 90.16 | 0.983 | 68.88 | 0.751 | |
| 5 | 0.50 | 9.64 | 5.00 | 4.90 | 68.7 | 89.28 | 1.300 | 68.30 | 0.994 | |
| 6 | 0.59 | 9.51 | 5.25 | 4.14 | 67.4 | 82.42 | 1.222 | 63.78 | 0.946 | |
| 1 | 1.03 | 9.74 | 4.99 | 5.13 | 68.5 | 83.51 | 1.220 | 68.00 | 0.993 | |
| 2 | 1.00 | 9.71 | 5.01 | 5.06 | 72.1 | 84.68 | 1.175 | 68.72 | 0.953 | |
| 3 | 1.01 | 9.83 | 4.95 | 5.06 | 74.2 | 84.29 | 1.136 | 68.48 | 0.923 | |
| 4 | 1.02 | 9.75 | 5.04 | 5.19 | 93.4 | 83.90 | 0.898 | 68.23 | 0.731 | |
| 5 | 1.01 | 9.70 | 5.02 | 5.11 | 73.4 | 84.29 | 1.149 | 68.48 | 0.934 | |
| 6 | 1.01 | 9.60 | 5.02 | 5.18 | - | - | - | - | - | |
| 1 | 2.10 | 9.70 | 5.03 | 4.37 | 69.3 | 77.04 | 1.111 | 69.14 | 0.998 | |
| 2 | 2.11 | 9.63 | 5.05 | 4.37 | 69.0 | 76.88 | 1.114 | 69.05 | 1.000 | |
| 3 | 2.12 | 9.67 | 5.10 | 4.36 | 69.9 | 76.72 | 1.098 | 68.96 | 0.987 | |
| 4 | 2.10 | 9.72 | 5.06 | 4.30 | 69.3 | 77.04 | 1.111 | 69.14 | 0.998 | |
| 5 | 2.13 | 9.60 | 5.01 | 4.34 | 75.1 | 76.56 | 1.020 | 68.87 | 0.917 | |
| 6 | 2.10 | 9.69 | 5.12 | 4.35 | 67.9 | 77.04 | 1.135 | 69.14 | 1.019 | |
| 45/−45 | 1 | 0.00 | 9.74 | 5.00 | 4.94 | 68.5 | - | - | - | - | 
| 2 | 0.00 | 9.80 | 5.06 | 4.40 | 88.9 | - | - | - | - | |
| 3 | 0.00 | 9.84 | 5.14 | 5.07 | 87.8 | - | - | - | - | |
| 4 | 0.00 | 9.52 | 5.05 | 4.97 | 82.5 | - | - | - | - | |
| 5 | 0.00 | 9.58 | 5.10 | 5.02 | 82.0 | - | - | - | - | |
| 6 | 0.00 | 9.68 | 5.16 | 5.25 | 89.1 | - | - | - | - | |
| 1 | 0.60 | 9.14 | 5.39 | 4.77 | 54.3 | 95.38 | 1.755 | 70.51 | 1.297 | |
| 2 | 0.50 | 9.59 | 5.12 | 4.90 | 86.1 | 104.26 | 1.210 | 76.42 | 0.887 | |
| 3 | 0.70 | 9.67 | 5.01 | 4.77 | 76.4 | 88.48 | 1.158 | 65.96 | 0.863 | |
| 4 | 0.67 | 9.68 | 5.05 | 5.06 | 71.8 | 90.39 | 1.259 | 67.21 | 0.936 | |
| 5 | 0.60 | 9.36 | 5.20 | 5.10 | 70.5 | 95.38 | 1.351 | 70.51 | 0.999 | |
| 6 | 0.56 | 9.70 | 5.16 | 5.19 | 56.7 | 98.64 | 1.738 | 72.67 | 1.281 | |
| 1 | 1.13 | 9.57 | 5.04 | 4.58 | 78.0 | 92.80 | 1.189 | 71.55 | 0.917 | |
| 2 | 1.02 | 9.45 | 5.24 | 4.80 | 72.0 | 97.46 | 1.352 | 74.52 | 1.034 | |
| 3 | 1.10 | 9.52 | 5.23 | 4.71 | 82.9 | 94.00 | 1.133 | 72.31 | 0.872 | |
| 4 | 1.05 | 9.26 | 5.10 | 4.99 | 59.8 | 96.12 | 1.607 | 73.66 | 1.231 | |
| 5 | 1.10 | 9.64 | 5.14 | 5.08 | 83.6 | 94.00 | 1.124 | 72.31 | 0.865 | |
| 6 | 1.12 | 9.55 | 5.06 | 4.54 | 80.6 | 93.20 | 1.155 | 71.80 | 0.890 | |
| 1 | 2.14 | 9.71 | 5.02 | 5.28 | 81.5 | 87.83 | 1.076 | 72.43 | 0.888 | |
| 2 | 2.05 | 9.56 | 5.10 | 5.20 | 75.3 | 89.57 | 1.189 | 73.47 | 0.975 | |
| 3 | 2.02 | 9.54 | 5.12 | 5.40 | 73.3 | 90.18 | 1.229 | 73.84 | 1.006 | |
| 4 | 2.40 | 9.51 | 5.13 | 5.50 | 63.3 | 83.35 | 1.315 | 69.80 | 1.101 | |
| 5 | 2.20 | 9.50 | 5.12 | 4.52 | 77.0 | 86.72 | 1.126 | 71.78 | 0.932 | |
| 6 | 2.07 | 9.57 | 5.06 | 5.21 | 73.3 | 89.18 | 1.216 | 73.23 | 0.999 | |
| 30/−60 | 1 | 0.00 | 9.76 | 5.14 | 4.66 | 79.8 | - | - | - | - | 
| 2 | 0.00 | 9.67 | 5.18 | 4.99 | 97.5 | - | - | - | - | |
| 3 | 0.00 | 9.73 | 5.13 | 5.02 | 66.6 | - | - | - | - | |
| 4 | 0.00 | 9.64 | 5.21 | 5.16 | 85.5 | - | - | - | - | |
| 5 | 0.00 | 9.67 | 5.11 | 4.86 | 71.9 | - | - | - | - | |
| 6 | 0.00 | 9.85 | 5.14 | 5.17 | 87.8 | - | - | - | - | |
| 1 | 0.40 | 9.64 | 5.13 | 4.58 | 86.0 | 109.02 | 1.267 | 83.65 | 0.972 | |
| 2 | 0.21 | 9.51 | 5.11 | 4.85 | 79.2 | 149.91 | 1.893 | 112.38 | 1.419 | |
| 3 | 0.22 | 9.47 | 5.15 | 4.85 | 68.2 | 146.49 | 2.149 | 109.95 | 1.613 | |
| 4 | 0.31 | 9.59 | 5.24 | 5.14 | 78.7 | 123.62 | 1.571 | 93.83 | 1.192 | |
| 5 | 0.40 | 9.70 | 5.14 | 5.24 | 86.0 | 109.02 | 1.268 | 83.65 | 0.973 | |
| 6 | 0.50 | 9.59 | 5.18 | 5.25 | 73.5 | 97.69 | 1.328 | 75.84 | 1.031 | |
| 1 | 1.13 | 9.66 | 5.23 | 4.55 | 67.9 | 86.85 | 1.279 | 72.05 | 1.061 | |
| 2 | 1.10 | 9.41 | 5.22 | 4.76 | 71.7 | 87.98 | 1.226 | 72.77 | 1.014 | |
| 3 | 1.00 | 9.45 | 5.23 | 4.69 | 75.7 | 92.10 | 1.216 | 75.44 | 0.996 | |
| 4 | 1.15 | 9.38 | 5.17 | 4.98 | 75.2 | 86.13 | 1.145 | 71.59 | 0.952 | |
| 5 | 1.12 | 9.60 | 5.23 | 5.38 | 81.2 | 87.22 | 1.074 | 72.29 | 0.890 | |
| 6 | 1.05 | 9.57 | 5.22 | 4.59 | 76.5 | 89.97 | 1.175 | 74.05 | 0.967 | |
| 1 | 2.12 | 9.66 | 5.06 | 4.29 | 66.2 | 82.41 | 1.244 | 74.38 | 1.123 | |
| 2 | 2.13 | 9.63 | 5.13 | 4.68 | 84.8 | 82.23 | 0.970 | 74.27 | 0.876 | |
| 3 | 2.11 | 9.60 | 5.08 | 4.43 | 74.2 | 82.59 | 1.112 | 74.49 | 1.003 | |
| 4 | 2.10 | 9.75 | 5.24 | 4.21 | 88.0 | 82.77 | 0.940 | 74.59 | 0.848 | |
| 5 | 2.05 | 9.67 | 5.25 | 4.37 | 72.8 | 83.70 | 1.149 | 75.14 | 1.031 | |
| 6 | 2.12 | 9.56 | 5.07 | 4.70 | 66.6 | 82.41 | 1.236 | 74.38 | 1.115 | 
| RO | Test nº | ρ (mm) | W (mm) | B (mm) | a0 (mm) | Pmax (N) | PASED (N) | PASED/Pmax | PASED* (N) | PASED*/Pmax | 
|---|---|---|---|---|---|---|---|---|---|---|
| 0/90 | 1 | 0.00 | 10.04 | 4.94 | 5.37 | 104.9 | - | - | - | - | 
| 2 | 0.00 | 10.11 | 4.97 | 5.77 | 86.1 | - | - | - | - | |
| 3 | 0.00 | 10.02 | 4.93 | 5.15 | 108.9 | - | - | - | - | |
| 4 | 0.00 | 10.15 | 5.00 | 5.62 | 101.7 | - | - | - | - | |
| 5 | 0.00 | 10.12 | 4.93 | 5.00 | 127.0 | - | - | - | - | |
| 6 | 0.00 | 10.14 | 4.95 | 4.63 | - | - | - | - | - | |
| 1 | 0.65 | 10.03 | 4.97 | 5.43 | 100.9 | 142.79 | 1.415 | 95.79 | 0.949 | |
| 2 | 0.65 | 10.10 | 5.05 | 5.55 | 99.6 | 142.78 | 1.433 | 95.78 | 0.961 | |
| 3 | 0.64 | 10.10 | 4.90 | 5.50 | 97.9 | 143.84 | 1.469 | 96.38 | 0.984 | |
| 4 | 0.65 | 10.11 | 4.97 | 5.50 | 101.6 | 142.78 | 1.405 | 95.78 | 0.943 | |
| 5 | 0.65 | 10.03 | 4.98 | 5.43 | 105.6 | 142.78 | 1.352 | 95.78 | 0.907 | |
| 6 | 0.66 | 10.20 | 4.98 | 5.64 | 105.5 | 141.75 | 1.344 | 95.20 | 0.903 | |
| 1 | 1.08 | 10.26 | 4.95 | 5.14 | 116.2 | 148.51 | 1.278 | 104.42 | 0.898 | |
| 2 | 1.09 | 10.12 | 4.98 | 5.32 | 119.4 | 147.88 | 1.239 | 104.08 | 0.872 | |
| 3 | 1.07 | 10.19 | 4.95 | 5.26 | 108.7 | 149.15 | 1.372 | 104.76 | 0.964 | |
| 4 | 1.07 | 10.24 | 4.99 | 5.30 | 112.7 | 149.15 | 1.324 | 104.76 | 0.930 | |
| 5 | 1.00 | 10.09 | 5.00 | 5.17 | 111.6 | 153.91 | 1.379 | 107.33 | 0.962 | |
| 6 | 1.06 | 10.24 | 4.92 | 5.43 | 120.2 | 149.80 | 1.246 | 105.11 | 0.874 | |
| 1 | 2.08 | 10.05 | 4.99 | 5.62 | 135.3 | 141.19 | 1.044 | 108.27 | 0.800 | |
| 2 | 2.14 | 10.25 | 4.98 | 5.75 | 103.4 | 139.47 | 1.349 | 107.42 | 1.039 | |
| 3 | 2.14 | 10.05 | 4.91 | 5.63 | 104.2 | 139.47 | 1.338 | 107.42 | 1.031 | |
| 4 | 2.14 | 10.03 | 4.94 | 5.59 | 102.0 | 139.47 | 1.368 | 107.42 | 1.053 | |
| 5 | 2.12 | 10.08 | 4.97 | 5.68 | 103.6 | 140.03 | 1.352 | 107.70 | 1.039 | |
| 6 | 2.10 | 10.20 | 4.97 | 5.72 | 107.8 | 140.61 | 1.304 | 107.98 | 1.002 | |
| 45/−45 | 1 | 0.00 | 10.19 | 4.96 | 5.55 | 97.45 | - | - | - | - | 
| 2 | 0.00 | 10.31 | 4.9 | 5.44 | 110.12 | - | - | - | - | |
| 3 | 0.00 | 9.99 | 4.78 | 5.12 | 120.51 | - | - | - | - | |
| 4 | 0.00 | 10.12 | 4.94 | 5.16 | 114.78 | - | - | - | - | |
| 5 | 0.00 | 10.24 | 4.83 | 5.33 | 121.88 | - | - | - | - | |
| 6 | 0.00 | 10.24 | 4.87 | 4.80 | 150.37 | - | - | - | - | |
| 1 | 0.66 | 9.97 | 4.83 | 5.48 | 99.95 | 127.86 | 1.279 | 96.75 | 0.968 | |
| 2 | 0.66 | 10.19 | 4.92 | 5.60 | 108.37 | 127.86 | 1.180 | 96.75 | 0.893 | |
| 3 | 0.65 | 10.15 | 4.95 | 5.51 | 113.48 | 128.80 | 1.135 | 97.39 | 0.858 | |
| 4 | 0.64 | 10.32 | 4.9 | 5.72 | 108.05 | 129.76 | 1.201 | 98.05 | 0.907 | |
| 5 | 0.67 | 10.03 | 4.84 | 5.56 | 108.07 | 126.94 | 1.175 | 96.12 | 0.889 | |
| 6 | 0.64 | 10.06 | 4.87 | 5.47 | 108.15 | 129.76 | 1.200 | 98.05 | 0.907 | |
| 1 | 1.11 | 10.24 | 5.03 | 5.21 | 128.33 | 131.90 | 1.028 | 102.91 | 0.802 | |
| 2 | 1.15 | 10.21 | 4.96 | 5.37 | 129.45 | 129.73 | 1.002 | 101.47 | 0.784 | |
| 3 | 1.12 | 9.97 | 4.82 | 5.03 | 118.33 | 131.34 | 1.110 | 102.54 | 0.867 | |
| 4 | 1.12 | 10.22 | 5.03 | 5.41 | 116.22 | 131.34 | 1.130 | 102.54 | 0.882 | |
| 5 | 1.13 | 10.07 | 4.88 | 5.23 | 117.03 | 130.80 | 1.118 | 102.18 | 0.873 | |
| 6 | 1.13 | 10.23 | 4.93 | 5.42 | 123.25 | 130.80 | 1.061 | 102.18 | 0.829 | |
| 1 | 2.06 | 10.14 | 4.9 | 5.71 | 113.27 | 126.83 | 1.120 | 104.54 | 0.923 | |
| 2 | 2.07 | 10.15 | 4.91 | 5.66 | 116.17 | 126.56 | 1.089 | 104.37 | 0.898 | |
| 3 | 2.09 | 10.04 | 4.85 | 5.50 | 121.61 | 126.02 | 1.036 | 104.03 | 0.855 | |
| 4 | 2.07 | 9.99 | 4.68 | 5.81 | 92.42 | 126.56 | 1.369 | 104.37 | 1.129 | |
| 5 | 2.09 | 10.17 | 3.57 | 5.73 | 81.98 | 126.02 | 1.537 | 104.03 | 1.269 | |
| 6 | 2.08 | 10.24 | 4.77 | 5.77 | 107.59 | 126.29 | 1.174 | 104.20 | 0.968 | |
| 30/−60 | 1 | 0.00 | 10.11 | 4.91 | 5.32 | 119.75 | - | - | - | - | 
| 2 | 0.00 | 10.22 | 4.87 | 5.69 | 107.36 | - | - | - | - | |
| 3 | 0.00 | 10.23 | 4.87 | 5.24 | 128.85 | - | - | - | - | |
| 4 | 0.00 | 10.01 | 4.9 | 4.94 | 135.00 | - | - | - | - | |
| 5 | 0.00 | 9.97 | 4.87 | 5.72 | 83.67 | - | - | - | - | |
| 6 | 0.00 | 10.13 | 4.89 | 5.11 | 112.86 | - | - | - | - | |
| 1 | 0.70 | 10.09 | 4.94 | 5.29 | 114.4 | 137.94 | 1.206 | 95.74 | 0.837 | |
| 2 | 0.64 | 10.17 | 4.89 | 5.40 | 106.5 | 143.92 | 1.351 | 99.06 | 0.930 | |
| 3 | 0.66 | 10.30 | 4.90 | 5.59 | 111.7 | 141.83 | 1.270 | 97.90 | 0.877 | |
| 4 | 0.64 | 9.99 | 4.86 | 5.39 | 96.3 | 143.71 | 1.493 | 99.06 | 1.029 | |
| 5 | 0.65 | 10.23 | 4.92 | 5.55 | 112.3 | 142.86 | 1.272 | 98.48 | 0.877 | |
| 6 | 0.66 | 9.99 | 4.89 | 5.20 | 99.6 | 141.54 | 1.421 | 97.90 | 0.983 | |
| 1 | 1.10 | 10.04 | 4.97 | 5.16 | 120.92 | 147.60 | 1.221 | 107.72 | 0.891 | |
| 2 | 1.10 | 10.19 | 4.90 | 5.40 | 122.94 | 147.60 | 1.201 | 107.72 | 0.876 | |
| 3 | 1.07 | 10.24 | 4.88 | 5.57 | 121.02 | 149.49 | 1.235 | 108.71 | 0.898 | |
| 4 | 1.11 | 10.14 | 4.91 | 5.11 | 122.12 | 146.99 | 1.204 | 107.40 | 0.879 | |
| 5 | 1.15 | 10.07 | 4.88 | 5.09 | 120.72 | 144.63 | 1.198 | 106.16 | 0.879 | |
| 6 | 1.13 | 10.16 | 4.91 | 5.41 | 125.41 | 145.80 | 1.163 | 106.77 | 0.851 | |
| 1 | 2.07 | 10.30 | 4.91 | 5.81 | 119.34 | 142.31 | 1.193 | 114.21 | 0.957 | |
| 2 | 2.12 | 10.05 | 4.90 | 5.59 | 109.84 | 140.87 | 1.283 | 113.52 | 1.034 | |
| 3 | 2.08 | 10.20 | 4.92 | 5.70 | 116.76 | 142.02 | 1.216 | 114.07 | 0.977 | |
| 4 | 2.09 | 10.13 | 4.92 | 5.62 | 112.43 | 141.73 | 1.261 | 113.93 | 1.013 | |
| 5 | 2.09 | 10.18 | 4.91 | 5.68 | 113.68 | 141.73 | 1.247 | 113.93 | 1.002 | |
| 6 | 2.10 | 10.35 | 4.92 | 5.85 | 117.07 | 141.44 | 1.208 | 113.79 | 0.972 | 
References
- Ramos, A.; Angel, V.G.; Siqueiros, M.; Sahagun, T.; Gonzalez, L.; Ballesteros, R. Reviewing Additive Manufacturing Techniques: Material Trends and Weight Optimization Possibilities Through Innovative Printing Patterns. Materials 2025, 18, 1377. [Google Scholar] [CrossRef]
- Mwema, F.M.; Akinlabi, E.T. Basics of Fused Deposition Modelling (FDM); Springer: Cham, Switzerland, 2020; pp. 1–15. [Google Scholar]
- Rahim, T.N.A.T.; Abdullah, A.M.; Md Akil, H. Recent Developments in Fused Deposition Modeling-Based 3D Printing of Polymers and Their Composites. Polym. Rev. 2019, 59, 589–624. [Google Scholar] [CrossRef]
- Bamiduro, O.; Owolabi, G.; Haile, M.A.; Riddick, J.C. The Influence of Load Direction, Microstructure, Raster Orientation on the Quasi-Static Response of Fused Deposition Modeling ABS. Rapid Prototyp. J. 2019, 25, 462–472. [Google Scholar] [CrossRef]
- Wang, P.; Zou, B.; Ding, S.; Li, L.; Huang, C. Effects of FDM-3D Printing Parameters on Mechanical Properties and Microstructure of CF/PEEK and GF/PEEK. Chin. J. Aeronaut. 2021, 34, 236–246. [Google Scholar] [CrossRef]
- Kumar, S.R.; Sridhar, S.; Venkatraman, R.; Venkatesan, M. Polymer Additive Manufacturing of ASA Structure: Influence of Printing Parameters on Mechanical Properties. Mater. Today Proc. 2021, 39, 1316–1319. [Google Scholar] [CrossRef]
- Lokesh, N.; Praveena, B.A.; Sudheer Reddy, J.; Vasu, V.K.; Vijaykumar, S. Evaluation on Effect of Printing Process Parameter through Taguchi Approach on Mechanical Properties of 3D Printed PLA Specimens Using FDM at Constant Printing Temperature. Mater. Today Proc. 2022, 52, 1288–1293. [Google Scholar] [CrossRef]
- Rodríguez-Reyna, S.L.; Mata, C.; Díaz-Aguilera, J.H.; Acevedo-Parra, H.R.; Tapia, F. Mechanical Properties Optimization for PLA, ABS and Nylon + CF Manufactured by 3D FDM Printing. Mater. Today Commun. 2022, 33, 104774. [Google Scholar] [CrossRef]
- El Magri, A.; Ouassil, S.; Vaudreuil, S. Effects of Printing Parameters on the Tensile Behavior of 3D-printed Acrylonitrile Styrene Acrylate (ASA) Material in Z Direction. Polym. Eng. Sci. 2022, 62, 848–860. [Google Scholar] [CrossRef]
- Patro, P.K.; Kandregula, S.; Khan, M.S.; Das, S. Investigation of Mechanical Properties of 3D Printed Sandwich Structures Using PLA and ABS. Mater. Today Proc. 2023; in press. [Google Scholar] [CrossRef]
- Prajapati, S.; Sharma, J.K.; Kumar, S.; Pandey, S.; Pandey, M.K. A Review on Comparison of Physical and Mechanical Properties of PLA, ABS, TPU, and PETG Manufactured Engineering Components by Using Fused Deposition Modelling. Mater. Today Proc. 2024. [Google Scholar] [CrossRef]
- Kumaresan, R.; Kadirgama, K.; Samykano, M.; Harun, W.S.W.; Thirugnanasambandam, A.; Kanny, K. In-Depth Study and Optimization of Process Parameters to Enhance Tensile and Compressive Strengths of PETG in FDM Technology. J. Mater. Res. Technol. 2025, 37, 397–416. [Google Scholar] [CrossRef]
- Taylor, D. Predicting the Fracture Strength of Ceramic Materials Using the Theory of Critical Distances. Eng. Fract. Mech. 2004, 71, 2407–2416. [Google Scholar] [CrossRef]
- Berto, F.; Lazzarin, P. Recent Developments in Brittle and Quasi-Brittle Failure Assessment of Engineering Materials by Means of Local Approaches. Mater. Sci. Eng. R Rep. 2014, 75, 1–48. [Google Scholar] [CrossRef]
- Taylor, D. The Theory of Critical Distances; Elsevier: Amsterdam, The Netherlands, 2007; ISBN 9780080444789. [Google Scholar]
- Justo, J.; Castro, J.; Cicero, S. Energy-Based Approach for Fracture Assessment of Several Rocks Containing U-Shaped Notches through the Application of the SED Criterion. Int. J. Rock Mech. Min. Sci. 2018, 110, 306–315. [Google Scholar] [CrossRef]
- Ibáñez-Gutiérrez, F.T.; Cicero, S.; Madrazo, V.; Berto, F. Fracture Loads Prediction on Notched Short Glass Fibre Reinforced Polyamide 6 Using the Strain Energy Density. Phys. Mesomech. 2018, 21, 165–172. [Google Scholar] [CrossRef]
- Cicero, S.; Berto, F.; Ibáñez-Gutiérrez, F.T.; Procopio, I.; Madrazo, V. SED Criterion Estimations of Fracture Loads in Structural Steels Operating at Lower Shelf Temperatures and Containing U-Notches. Theor. Appl. Fract. Mech. 2017, 90, 234–243. [Google Scholar] [CrossRef]
- Sánchez, M.; Cicero, S.; Arrieta, S.; Torabi, A.R. Fracture Load Prediction of Non-Linear Structural Steels through Calibration of the ASED Criterion. Metals 2023, 13, 1211. [Google Scholar] [CrossRef]
- Berto, F.; Lazzarin, P. The Volume-Based Strain Energy Density Approach Applied to Static and Fatigue Strength Assessments of Notched and Welded Structures. Procedia Eng. 2009, 1, 155–158. [Google Scholar] [CrossRef]
- Ferro, P.; Borsato, T.; Berto, F.; Carollo, C. Fatigue Strength Assessment of Heavy Section Ductile Irons through the Average Strain Density Energy Criterion. Mater. Des. Process. Commun. 2021, 3, e197. [Google Scholar] [CrossRef]
- Horvath, M.; Oberreiter, M.; Stoschka, M. Energy-Based Fatigue Assessment of Defect-Afflicted Cast Steel Components by Means of a Linear-Elastic Approach. Appl. Sci. 2023, 13, 3768. [Google Scholar] [CrossRef]
- Moussaoui, M.; Bendriss, A.; Tahiri, A.; Kellai, A.; Zergod, S.; Djeloud, H.; Hachi, B.K. Numerical and Experimental Analysis of the Notch Effect on Fatigue Behavior of Polymethylmethacrylate Metal Based on Strain Energy Density Method and the Extended Finite Element Method. Mater. Sci. 2023, 41, 401–413. [Google Scholar] [CrossRef]
- Klusák, J.; Kozáková, K. Fatigue Life Predictions of Notched Samples Based on Average Strain Energy Density. Procedia Struct. Integr. 2025, 68, 660–665. [Google Scholar] [CrossRef]
- Seibert, P.; Susmel, L.; Berto, F.; Kästner, M.; Razavi, N. Applicability of Strain Energy Density Criterion for Fracture Prediction of Notched PLA Specimens Produced via Fused Deposition Modeling. Eng. Fract. Mech. 2021, 258, 108103. [Google Scholar] [CrossRef]
- Sánchez, M.; Cicero, S.; Arrieta, S.; Martínez, V. Fracture Load Predictions in Additively Manufactured ABS U-Notched Specimens Using Average Strain Energy Density Criteria. Materials 2022, 15, 2372. [Google Scholar] [CrossRef] [PubMed]
- Sánchez, M.; Arrieta, S.; Cicero, S. Fracture Load Estimations for U-Notched and V-Notched 3D Printed PLA and Graphene-Reinforced PLA Plates Using the ASED Criterion. Frat. Integrità Strutt. 2023, 17, 322–338. [Google Scholar] [CrossRef]
- Morettini, G.; Razavi, S.M.J.; Staffa, A.; Palmieri, M.; Berto, F.; Cianetti, F.; Braccesi, C. On the Combined Use of Averaged Strain Energy Density Criteria (ASED) and Equivalent Material Concept (ECC) for the Fracture Load Prediction of Additively Manufactured PLA v-Notched Specimens. Procedia Struct. Integr. 2023, 47, 296–309. [Google Scholar] [CrossRef]
- Vălean, E.; Foti, P.; Berto, F.; Marșavina, L. Static and Fatigue Behavior of 3D Printed Smooth and Notched PLA and Short Carbon Fibers Reinforced PLA. Theor. Appl. Fract. Mech. 2024, 131, 104417. [Google Scholar] [CrossRef]
- Avanzini, A.; Tomasoni, M.; Xu, Z.; Berto, F.; Razavi, N. Fracture Assessment of Polyamide 12 (PA12) Specimens Fabricated via Multi Jet FusionTM in the Presence of Geometrical Discontinuities. Eng. Fract. Mech. 2024, 303, 110118. [Google Scholar] [CrossRef]
- Arrieta, S.; Cicero, S.; Sánchez, M.; Castanon-Jano, L. Estimation of Fracture Loads in 3D Printed PLA Notched Specimens Using the ASED Criterion. Procedia Struct. Integr. 2023, 47, 13–21. [Google Scholar] [CrossRef]
- Guessasma, S.; Belhabib, S.; Nouri, H. Microstructure, Thermal and Mechanical Behavior of 3D Printed Acrylonitrile Styrene Acrylate. Macromol. Mater. Eng. 2019, 304, 1800793. [Google Scholar] [CrossRef]
- Yap, Y.L.; Toh, W.; Koneru, R.; Chua, Z.Y.; Lin, K.; Yeoh, K.M.; Lim, C.M.; Lee, J.S.; Plemping, N.A.; Lin, R.; et al. Finite Element Analysis of 3D-Printed Acrylonitrile Styrene Acrylate (ASA) with Ultrasonic Material Characterization. Int. J. Comput. Mater. Sci. Eng. 2019, 8, 1950002. [Google Scholar] [CrossRef]
- Afshar, A.; Wood, R. Development of Weather-Resistant 3D Printed Structures by Multi-Material Additive Manufacturing. J. Compos. Sci. 2020, 4, 94. [Google Scholar] [CrossRef]
- Sedlak, J.; Joska, Z.; Jansky, J.; Zouhar, J.; Kolomy, S.; Slany, M.; Svasta, A.; Jirousek, J. Analysis of the Mechanical Properties of 3D-Printed Plastic Samples Subjected to Selected Degradation Effects. Materials 2023, 16, 3268. [Google Scholar] [CrossRef] [PubMed]
- Billah, K.M.M.; Sarker, M.R.; Gonzalez, M.B.; Ramirez, J.A.; Hamidi, Y.K. Impact of Processing Parameters in Mechanical Properties of the Additively Manufactured Acrylonitrile Styrene Acrylate. In Advanced Manufacturing, Proceedings of the 2022 ASME International Mechanical Engineering Congress and Exposition (IMECE), Columbus, OH, USA, 30 October–3 November 2022; American Society of Mechanical Engineers: New York, NY, USA, 2022; Volume 2A. [Google Scholar]
- Rakshit, R.; Kalvettukaran, P.; Acharyya, S.K.; Panja, S.C.; Misra, D. Development of High Specific Strength Acrylonitrile Styrene Acrylate (ASA) Structure Using Fused Filament Fabrication. Prog. Addit. Manuf. 2023, 8, 1543–1553. [Google Scholar] [CrossRef]
- Appalsamy, T.; Hamilton, S.L.; Kgaphola, M.J. Tensile Test Analysis of 3D Printed Specimens with Varying Print Orientation and Infill Density. J. Compos. Sci. 2024, 8, 121. [Google Scholar] [CrossRef]
- Cahyadi, W. Mechanical Properties of 3D Printed Acryonitrile Styrene Acrylate; South Dakota State University: Brookings, SD, USA, 2019. [Google Scholar]
- Sharma, A.; Chhabra, D.; Sahdev, R.; Kaushik, A.; Punia, U. Investigation of Wear Rate of FDM Printed TPU, ASA and Multi-Material Parts Using Heuristic GANN Tool. Mater. Today Proc. 2022, 63, 559–565. [Google Scholar] [CrossRef]
- Gawali, S.K.; Jain, P.K. Effect of Natural Aging on Mechanical Properties of 3D-Printed Acrylonitrile Styrene Acrylate for Outdoor Applications. J. Mater. Eng. Perform. 2024, 34, 16430–16442. [Google Scholar] [CrossRef]
- Ning, F.; Cong, W.; Qiu, J.; Wei, J.; Wang, S. Additive Manufacturing of Carbon Fiber Reinforced Thermoplastic Composites Using Fused Deposition Modeling. Compos. Part B Eng. 2015, 80, 369–378. [Google Scholar] [CrossRef]
- Song, J.; Liu, X.; Zhang, Y.; Huang, B.; Yang, W. Carbon-fiber-reinforced Acrylonitrile–Styrene–Acrylate Composites: Mechanical and Rheological Properties and Electrical Resistivity. J. Appl. Polym. Sci. 2016, 133, 43252. [Google Scholar] [CrossRef]
- Sánchez, D.M.; de la Mata, M.; Delgado, F.J.; Casal, V.; Molina, S.I. Development of Carbon Fiber Acrylonitrile Styrene Acrylate Composite for Large Format Additive Manufacturing. Mater. Des. 2020, 191, 108577. [Google Scholar] [CrossRef]
- Khosravani, M.R.; Zolfagharian, A.; Jennings, M.; Reinicke, T. Structural Performance of 3D-Printed Composites under Various Loads and Environmental Conditions. Polym. Test. 2020, 91, 106770. [Google Scholar] [CrossRef]
- Tripathy, C.R.; Sharma, R.K.; Rattan, V.K. An Investigation on Mechanical Strength of Fused Filament Fabricated and Injection Molded ASA Parts. J. Micromanuf. 2025, 8, 44–59. [Google Scholar] [CrossRef]
- MohamedZain, A.O.; Chua, H.; Yap, K.; Uthayasurian, P.; Jiehan, T. Novel Drone Design Using an Optimization Software with 3D Model, Simulation, and Fabrication in Drone Systems Research. Drones 2022, 6, 97. [Google Scholar] [CrossRef]
- Kaptan, A. Investigation of the Effect of Exposure to Liquid Chemicals on the Strength Performance of 3D-Printed Parts from Different Filament Types. Polymers 2025, 17, 1637. [Google Scholar] [CrossRef]
- Cicero, S.; Devito, F.; Sánchez, M.; Arrieta, S.; Arroyo, B. Notch Effect in Acrylonitrile Styrene Acrylate (ASA) Single-Edge-Notch Bending Specimens Manufactured by Fused Filament Fabrication. Materials 2024, 17, 5207. [Google Scholar] [CrossRef]
- Cicero, S.; Arrieta, S.; Devito, F.; Arroyo, B.; Lavecchia, F. Fracture Behavior of Additively Manufactured Carbon Fiber Reinforced Acrylonitrile-Styrene-Acrylate Containing Cracks and Notches. J. Compos. Sci. 2025, 9, 185. [Google Scholar] [CrossRef]
- ASTM D638-14; Standard Test Method for Tensile Properties of Plastics. ASTM International: West Conshohocken, PA, USA, 2014.
- ASTM D6068; Standard Test Method for Determining J-R Curves of Plastic Materials. ASTM International: West Conshohocken, PA, USA, 2018.
- Sih, G.C. Strain-Energy-Density Factor Applied to Mixed Mode Crack Problems. Int. J. Fract. 1974, 10, 305–321. [Google Scholar] [CrossRef]
- Lazzarin, P.; Zambardi, R. A Finite-Volume-Energy Based Approach to Predict the Static and Fatigue Behavior of Components with Sharp V-Shaped Notches. Int. J. Fract. 2001, 112, 275–298. [Google Scholar] [CrossRef]
- Lazzarin, P.; Berto, F. Some Expressions for the Strain Energy in a Finite Volume Surrounding the Root of Blunt V-Notches. Int. J. Fract. 2005, 135, 161–185. [Google Scholar] [CrossRef]
- Yosibash, Z.; Bussiba, A.; Gilad, I. Failure Criteria for Brittle Elastic Materials. Int. J. Fract. 2004, 125, 307–333. [Google Scholar] [CrossRef]
- Seweryn, A. Brittle Fracture Criterion for Structures with Sharp Notches. Eng. Fract. Mech. 1994, 47, 673–681. [Google Scholar] [CrossRef]
- Berto, F.; Lazzarin, P. A Review of the Volume-Based Strain Energy Density Approach Applied to V-Notches and Welded Structures. Theor. Appl. Fract. Mech. 2009, 52, 183–194. [Google Scholar] [CrossRef]
- Vázquez Martínez, J.M.; Piñero Vega, D.; Salguero, J.; Batista, M. Evaluation of the Printing Strategies Design on the Mechanical and Tribological Response of Acrylonitrile Styrene Acrylate (ASA) Additive Manufacturing Parts. Rapid Prototyp. J. 2022, 28, 479–489. [Google Scholar] [CrossRef]
- Seibert, P.; Taylor, D.; Berto, F.; Mohammad Javad Razavi, S.; Razavi, N. Energy TCD—Robust and Simple Failure Prediction Unifying the TCD and ASED Criterion. Eng. Fract. Mech. 2022, 271, 108652. [Google Scholar] [CrossRef]









| Material | RO | E (MPa) | σy (MPa) | σu (MPa) | εu (%) | Kmat (MPam1/2) | 
|---|---|---|---|---|---|---|
| ASA [49] | 0/90 | 1050 ± 66 | 15.47 ± 2.11 | 19.39 ± 0.99 | 2.8 ± 0.2 | 2.47 ± 0.19 | 
| 45/−45 | 1053 ± 22 | 14.13 ± 0.32 | 18.50 ± 0.72 | 4.5 ± 0.2 | 2.90 ± 0.23 | |
| 30–60 | 990 ± 28 | 12.32 ± 0.40 | 16.52 ± 0.11 | 2.8 ± 0.1 | 2.72 ± 0.22 | |
| ASA-CF10 [50] | 0/90 | 4002 ± 236 | 32.18 ± 1.29 | 37.52 ± 0.41 | 1.8 ± 0.2 | 4.47 ± 0.17 | 
| 45/−45 | 2797 ± 174 | 25.57 ± 1.59 | 30.58 ± 1.81 | 2.0 ± 0.1 | 4.05 ± 0.20 | |
| 30–60 | 3496 ± 457 | 34.65 ± 5.71 | 39.66 ± 6.29 | 1.9 ± 0.1 | 4.46 ± 0.36 | 
| Material | RO | WC (MPa) | 
|---|---|---|
| ASA | 0/90 | 0.179 | 
| 45/−45 | 0.163 | |
| 30/−60 | 0.138 | |
| ASA-CF10 | 0/90 | 0.176 | 
| 45/−45 | 0.167 | |
| 30/−60 | 0.225 | 
| 2α (rad) | RC/ρ | H | 
|---|---|---|
| 0 | 0.0005 | 0.5785 | 
| 0 | 0.001 | 0.5777 | 
| 0 | 0.005 | 0.5714 | 
| 0 | 0.01 | 0.5638 | 
| 0 | 0.05 | 0.5086 | 
| 0 | 0.1 | 0.4518 | 
| 0 | 1 | 0.1314 | 
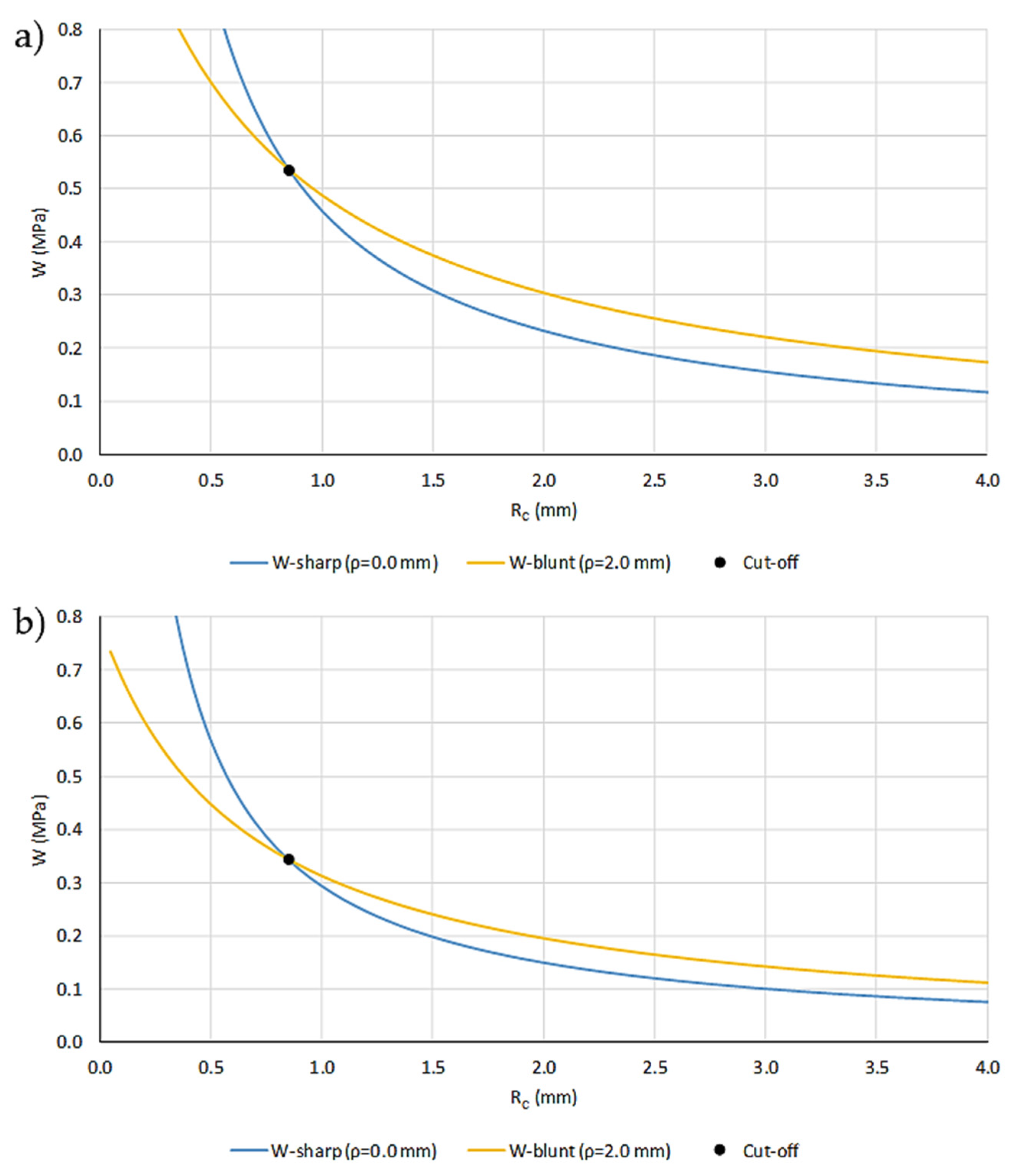
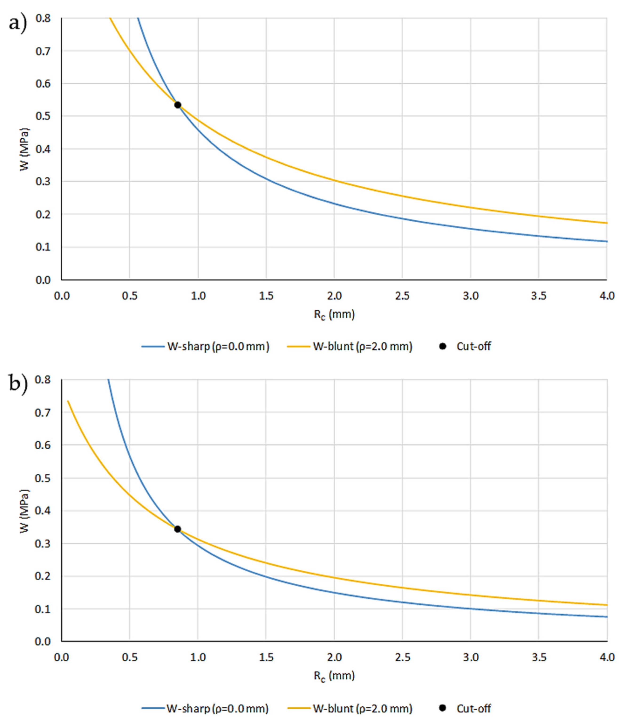
| Material | RO | WC* (MPa) | RC* (mm) | 
|---|---|---|---|
| ASA | 0/90 | 0.536 | 0.85 | 
| 45/−45 | 0.448 | 1.35 | |
| 30/−60 | 0.586 | 1.05 | |
| ASA-CF10 | 0/90 | 0.343 | 0.85 | 
| 45/−45 | 0.334 | 1.40 | |
| 30/−60 | 0.484 | 0.70 | 
| Disclaimer/Publisher’s Note: The statements, opinions and data contained in all publications are solely those of the individual author(s) and contributor(s) and not of MDPI and/or the editor(s). MDPI and/or the editor(s) disclaim responsibility for any injury to people or property resulting from any ideas, methods, instructions or products referred to in the content. | 
© 2025 by the authors. Licensee MDPI, Basel, Switzerland. This article is an open access article distributed under the terms and conditions of the Creative Commons Attribution (CC BY) license (https://creativecommons.org/licenses/by/4.0/).
Share and Cite
Arrieta, S.; Cicero, S.; Álvarez, J.A. Prediction of Fracture Loads in 3D-Printed ASA and Carbon-Fiber Reinforced ASA Notched Specimens Using the Calibrated ASED Criterion. Materials 2025, 18, 4966. https://doi.org/10.3390/ma18214966
Arrieta S, Cicero S, Álvarez JA. Prediction of Fracture Loads in 3D-Printed ASA and Carbon-Fiber Reinforced ASA Notched Specimens Using the Calibrated ASED Criterion. Materials. 2025; 18(21):4966. https://doi.org/10.3390/ma18214966
Chicago/Turabian StyleArrieta, Sergio, Sergio Cicero, and José A. Álvarez. 2025. "Prediction of Fracture Loads in 3D-Printed ASA and Carbon-Fiber Reinforced ASA Notched Specimens Using the Calibrated ASED Criterion" Materials 18, no. 21: 4966. https://doi.org/10.3390/ma18214966
APA StyleArrieta, S., Cicero, S., & Álvarez, J. A. (2025). Prediction of Fracture Loads in 3D-Printed ASA and Carbon-Fiber Reinforced ASA Notched Specimens Using the Calibrated ASED Criterion. Materials, 18(21), 4966. https://doi.org/10.3390/ma18214966
 
        



 
       