Next Article in Journal
Investigation of Crack Propagation in Locally Thermal-Treated Cast Iron
Previous Article in Journal
Mechanistic Insights into CO2 Adsorption of Li4SiO4 at High Temperature
 
 
Font Type:
Arial Georgia Verdana
Font Size:
Aa Aa Aa
Line Spacing:
Column Width:
Background:
Article

Microwave Dielectric Properties and Defect Behavior of xTiO2-(1-x)SiO2 Glass

1
China Building Materials Academy, Beijing 100024, China
2
College of Materials Science and Engineering, Beijing University of Technology, Beijing 100124, China
*
Author to whom correspondence should be addressed.
Materials 2025, 18(2), 320; https://doi.org/10.3390/ma18020320
Submission received: 25 November 2024 / Revised: 8 January 2025 / Accepted: 10 January 2025 / Published: 13 January 2025

Abstract

xTiO2-(1-x)SiO2 (x = 2.9~8.2 mol%) glass specimens were synthesized using the flame hydrolysis technique. This study aimed to elucidate the influence of TiO2 incorporation on the optical characteristics, defect behavior, and microwave dielectric performance of these materials. UV–vis and near-infrared spectroscopic analyses were employed to investigate the hydroxyl and optical bandgap properties. Electron paramagnetic resonance (EPR) and AC impedance spectroscopy were utilized to examine oxygen vacancies, Ti3+ defects, and their respective behaviors. The findings revealed that, with increasing TiO2 content, the generation and migration of defects became more favorable, consequently leading to higher dielectric losses. The imaginary component of the electric modulus experimental data was fitted using the modified Kohlrausch–Williams–Watts (KWW) function, while the frequency-dependent AC conductivity was analyzed using the Jonscher power law. The calculated activation energy exhibited a decreasing trend with increasing TiO2 content, consistent with the characteristics of doubly ionized oxygen vacancies, suggesting the involvement of identical charge carriers in the relaxation and conduction mechanisms. Notably, the 8.2TiO2–91.8SiO2 glass specimen demonstrated exceptional microwave dielectric performance, exhibiting εr = 4.13, Q × f = 57,116 GHz, and τf = −4.32 ppm/°C, rendering it a promising candidate for microwave substrate applications.

1. Introduction

The dielectric properties of silicate glass materials have attracted considerable attention in the domains of communication and energy storage. Silicate glasses characterized by low dielectric constants, minimal dielectric loss, and low surface roughness are considered critical materials for next-generation 6G communication systems [1,2,3] and advanced packaging technologies [4,5]. Conversely, silicate glasses with high dielectric constants are highly promising for applications in high-energy-density capacitors and low-temperature co-fired ceramics (LTCC) [6]. Growing evidence suggests that the introduction of high field strength cations into silicate glasses can significantly modulate their dielectric properties [7], which has important implications for expanding material applications.
TiO2, a crucial intermediate oxide, is primarily employed to tailor properties such as thermal expansion, refractive index, and corrosion resistance in glass [8]. Recent studies have revealed that TiO2 incorporation can effectively increase the dielectric constant of silicate glass, but it also tends to enhance the crystallization propensity [9]. Additionally, current research on titanium silicate glasses typically requires the introduction of alkali and alkaline earth metals to modify their melting characteristics, which often results in higher dielectric losses in certain high-frequency applications. To simultaneously achieve the dual objectives of preventing TiO2 crystallization and reducing dielectric loss, we attempted to synthesize xTiO2-(1-x)SiO2 glass using the flame hydrolysis method. The glass was formed through the direct fusion of TiCl4 and SiCl4 gaseous precursors under high-temperature conditions using an oxyhydrogen flame. This approach effectively prevents TiO2 phase separation and crystallization while avoiding the introduction of network modifiers into the glass. Existing studies on xTiO2-(1-x)SiO2 glass prepared by this method have primarily focused on mechanical properties, thermal characteristics, and structural features [10] but lack systematic investigation into the relationship between microwave dielectric properties and material composition.
An often-overlooked factor influencing the dielectric performance of xTiO2-(1-x)SiO2 glass is oxygen volatilization. Extensive studies have demonstrated that oxygen vacancies can form during the high-temperature preparation process of SiO2 [11], acting as the primary intrinsic defects responsible for electrical conductivity in wide-bandgap materials. These oxygen vacancies play a pivotal role in controlling carrier concentration and interacting with dopants and impurities. Consequently, they are considered one of the principal factors contributing to high dielectric losses [12,13]. However, there is a significant knowledge gap regarding the defects and conduction mechanisms in xTiO2-(1-x)SiO2 glass, necessitating further in-depth investigations to elucidate these phenomena.
Through systematic modulation of xTiO2-(1-x)SiO2 glass composition, this study presents the first comprehensive investigation of how TiO2 content influences the microwave dielectric properties of xTiO2-(1-x)SiO2 glass. The primary research objectives are twofold: (1) to investigate the influence of varying TiO2 content on the microwave dielectric properties of the glass samples, and (2) to examine the glass defects as well as the relaxation and electrical conduction mechanisms based on comprehensive electron paramagnetic resonance (EPR) and alternating current (AC) impedance analyses. The systematic investigation aims to provide insights into the fundamental mechanisms governing the dielectric behavior of these glass systems, facilitating the development of advanced dielectric materials for various applications.

2. Experiment

In this study, following xTiO2-(1-x)SiO2 (in mol%) composition, seven sample groups were prepared using SiCl4 and TiCl4 as precursors via the flame hydrolysis process under identical melting temperature and oxidizing atmosphere conditions. The detailed material synthesis process can be found in the Supporting Information (as shown in Figure S1). The samples were labeled as S0 (x = 0), S1 (x = 2.9), S2 (x = 4.7), S3 (x = 5.7), S4 (x = 6.5), S5 (x = 7.3), and S6 (x = 8.2). The densities of the samples were determined using the Archimedes method. The optical absorption spectra of the samples were measured using an ultraviolet–visible near-infrared spectrophotometer (Lambda 950, PerkinElmer, Shelton, WA, USA). An electron paramagnetic resonance (A300-10/12, Bruker, Karlsruhe, Germany) spectrometer operating at a frequency of 9.45 GHz and a temperature of 77 K was employed to analyze the paramagnetic defects in the samples. The samples were processed and double-side polished into Φ20 × 0.7 mm pellets, with Pt electrodes deposited on both end faces. An impedance spectroscopy analyzer (Novocontrol Turnkey Concept 40 System, Novocontrol Technologies GmbH & Co. KG, Hundsangen, Germany) was utilized to determine the electrical properties of the samples, with a frequency range from 40 Hz to 1 MHz and a temperature range of 623–873 K.
The microwave dielectric properties were measured using the Hakki–Coleman method with a network analyzer (Agilent N5230A, Agilent Technologies, Santa Clara, CA, USA) and a temperature chamber. The temperature coefficient of the relative permittivity (τf) in the temperature range of 293–353 K was calculated according to the following formula:
τ f = f 353 f 293 ( 353 293 ) × f 20 × 10 6
where f 353 and f 293 are the resonant frequencies at 353 K and 293 K, respectively.

3. Results and Discussion

3.1. Study of Spectral Properties

Figure 1 shows the infrared absorption spectra of the samples in the wavelength range of 800–3200 nm. Due to the preparation method, the xTiO2-(1-x)SiO2 glass samples exhibited a characteristic of high hydroxyl content, with distinct absorption peaks observed at 2730, 2210, and 1390 nm, which were consistent with the infrared absorption features of silica glass prepared using the flame hydrolysis method [14,15]. The results in Figure 1 reveal that as the TiO2 content increased, the characteristic absorption peak at 2730 nm exhibited a slight redshift, mainly due to the substitution of the larger Ti4+ ions for Si4+ ions, resulting in a decrease in the vibrational frequency of the hydroxyl groups. However, even with the introduction of up to 8 mol% TiO2, the overall structure of the silica network was not significantly affected. Based on the improved Beer–Lambert law [16,17], the hydroxyl content of the xTiO2-(1-x)SiO2 glass samples was calculated, and the results are shown in the inset of Figure 1. The results indicated that the hydroxyl content of all samples remained around 1100 ppm, suggesting that different TiO2 contents had almost no impact on the hydroxyl content in the glass due to the use of the same flame hydrolysis melting conditions.
Figure 2 shows the UV–visible absorption spectra of different samples. TiO2 is a wide-bandgap semiconductor with a bandgap ranging from 3.0 to 3.2 eV, significantly influencing the UV absorption characteristics of SiO2 glass samples. An increase in TiO2 content will lead to a pronounced redshift of the UV absorption edge. Based on the Tauc plots (inset of Figure 2), the optical bandgap (Eopg) values of the samples were calculated using the following formula:
α h v = C h v E o p g 2
Pronounced linear regions can be observed in each curve, indicating the validity of Equation (2) and showing that the optical bandgap originates from the amorphous absorption edge. By extrapolating the linear portions of the Tauc plots (the dashed line shown in the inset of Figure 2), the Eopt values are determined to decrease from 4.47 eV to 4.14 eV. Typically, the valence band of SiO2 is hybridized from O 2p and Si 3s orbitals, with an optical bandgap of around 8.5 eV [18]. The introduction of TiO2 significantly reduces the optical bandgap of the samples. The synergistic coupling effect between titanium ions and oxygen defect centers dominates the UV–visible absorption characteristics of xTiO2-(1-x)SiO2 glass: As Ti concentration increases, charge transfer transitions in the 155–248 nm range become more intense [19,20]. Simultaneously, oxygen vacancies and related defects form additional absorption centers at 200–300 nm [21], which synergistically amplify spectral changes with Ti valence state transitions. This mechanism results in a significant redshift of the UV absorption edge, leading to a reduced optical bandgap and broader absorption bands in the visible region (354–800 nm) [20].

3.2. Analysis of Defect Characteristics

3.2.1. EPR

Electron paramagnetic resonance (EPR) is a powerful spectroscopic technique for studying materials with unpaired electrons, making it particularly effective for analyzing defects in glass. EPR’s high specificity and sensitivity make it an indispensable tool for investigating both intrinsic defects and transition metal ion behavior in glass, particularly in disordered systems where other techniques often fall short [22]. To investigate the influence of defects on the xTiO2-(1-x)SiO2 glass system, we studied the X-band EPR spectra characteristics of the samples at 77 K (as shown in Figure 3).
For the Ti-free reference sample S0, only one signal at g = 2.003 is observed, while the EPR spectra of samples S1–S6 exhibit two signals at g = 2.003 and g ≈ 1.970, with their intensities increasing with TiO2 content. The resonance peak at g = 2.003 corresponds to charge defects associated with oxygen atoms [23,24], whereas the peak at g ≈ 1.970 is related to the presence of paramagnetic Ti3+ centers [24]. The formation of these two defect structures is likely due to high-temperature dissociation during the flame hydrolysis synthesis of xTiO2-(1-x)SiO2 glass, leading to the generation of oxygen vacancies and the reduction of Ti4+ ions. The corresponding defect equations are:
O O V o · · + 2 e + 1 2 O 2
T i 4 + + e T i 3 +
Furthermore, both EPR signals intensify with increasing TiO2 content, indicating that the introduction of TiO2 facilitates the formation of Ti3+ and oxygen vacancies in the glass network, which will lead to higher dielectric losses. To further investigate the defect behavior, we employed AC impedance spectroscopy to study the electrical properties and charge carrier transport characteristics of the xTiO2-(1-x)SiO2 system.

3.2.2. Electric Modulus Analysis

The electric modulus represents the relaxation of the internal electric field within a material under conditions of constant electric displacement, and it is typically employed to characterize the intrinsic dielectric relaxation processes. Mathematically, the complex electric modulus is represented by the inverse of the complex dielectric permittivity [25,26]:
M * = M j M = 1 ε * = ε + j ε ε 2 + ε 2
The modulus formalism is applied to homogeneous systems, typically by modeling the modulus spectral response using a simplified RC element consisting of a resistor (R) and a capacitor (C) [27,28]:
M = ω R C 0 1 + ω 2 R 2 C 2
Figure 4 displays the frequency dependence of the imaginary part of the modulus ( M ) for samples S1, S3, and S6 at 873 K. With increasing TiO2 content, the maximum value of M ( M m a x ) decreases slightly. At the peak frequency, ω p = 1 / τ = 1 / ( R C ) , M m a x = C 0 2 C represents the minimum capacitance of the sample, where C0 is the vacuum capacitance. The center frequency f m a x corresponding to M m a x shifts towards higher frequencies with increasing TiO2 content, indicating an enhancement of the thermally activated relaxation in the glass samples.
The results in Figure 5 reveal that the M m a x of samples S1–S6 remains essentially unchanged with increasing temperature. Consequently, the capacitance values of the samples are largely temperature independent. This implies that the dielectric constants of the samples do not vary significantly with temperature, indicating excellent temperature stability of the dielectric constant for all samples.
The M curves in Figure 5 exhibit an asymmetric lineshape, and this non-Debye behavior of the M spectra may be associated with the structural disorder characteristic of glass and the distribution of relaxation times arising from Coulombic interactions between differently charged species [29]. The degree of deviation from Debye-like relaxation within the material can be determined by the stretching exponent (β). By adopting the modified Kohlrausch–Williams–Watts (KWW) function proposed by Bergman to interpret the electric modulus behavior of glass systems, the imaginary part of the electric modulus is expressed as follows [30,31]:
M = M m a x ( 1 β ) + β 1 + β β f m a x f + f f m a x β
The M data were fitted using Equation (7) (fitting results shown in Figure 5), and the obtained β values are summarized in Figure 6.
In the ideal Debye relaxation case, β approaches 1. When β < 1, this can be attributed to the existence of a distribution of relaxation times within the material. As shown in Figure 6, at the same temperature, the β value decreases with increasing TiO2 content (from S1 to S6). Because the β value correlates well with the average distance between charge carriers [32,33], the decreasing trend in β suggests that with increasing TiO2 content, the hopping distance between defect charge carriers decreases, leading to enhanced interactions among the charge carriers. Consequently, the relaxation process will exhibit more pronounced non-exponential behavior.
As shown in Figure 6, the variation in β with temperature exhibits a similar trend for each sample. In the temperature range of 623–723 K, the β values for different samples remained nearly constant. However, upon further increasing the temperature, the β values exhibited a certain degree of increase. This observation suggests that with rising temperature, the glass network becomes more relaxed, weakening the interactions between defect charge carriers and the surrounding matrix.
Based on the variation in the relaxation time τ M at different temperatures, shown in Figure 5, we calculated the relaxation activation energy Wd for different samples using Equation (8):
τ M = τ 0 e x p W d k T
where τ M = 1 2 π f m a x , τ 0 is the pre-exponential factor, k is the Boltzmann constant, T is the absolute temperature in Kelvin, and Wd is the activation energy associated with the relaxation process.
Figure 7 displays the relationship between l n ( τ M ) and the inverse temperature (1000/T), where the red solid lines represent the linear fitting results based on Equation (8). The results indicate that with increasing TiO2 content, the relaxation activation energy Wd decreases from 1.16 eV (S1) to 1.06 eV (S6), mainly due to the reduction in the binding ability of the glass matrix to defect charge carriers. It is generally accepted that oxygen vacancies are the main mechanism for charge-carrier conduction in silicate glass materials [34], with the activation energies for singly ionized or doubly ionized oxygen vacancies typically ranging from 0.3 to 0.4 eV and from 0.6 to 1.2 eV, respectively [35]. The relaxation activation energy results suggest that the relaxation mechanism in the presently studied glass system is consistent with the characteristics of doubly ionized oxygen vacancies.

3.2.3. Analysis of AC Conductivity Characteristics

The transport behavior of charge carriers in glass can be determined through AC conductivity. Figure 8a–f illustrate the frequency-dependent conductivity behavior of glass systems S1–S6 at different temperatures.
We performed a non-linear curve fitting for the conductivity data using the Jonscher power law, which can be expressed as σ = σ d c + A ω s . Here, σ d c represents the DC conductivity, while the coefficient A and exponent s are related to the temperature and material properties. Generally, s serves as a measure of the degree of interaction between the charge carriers and their environment, influenced by the distribution of cluster sizes and their relaxation rate distributions. Sidebottom’s studies [36,37] indicate that the exponent s depends on the dimensionality of the local conduction space and increases with increasing dimensionality. The results depicted in Figure 9 show that, under the same temperature conditions, the exponent s increases with increasing TiO2 concentration, which may be a consequence of an increase in the dimensionality of the conductive space. Moreover, the values of s for all samples decrease with increasing temperature (as shown in Figure 9), indicating that the correlated barrier hopping (CBH) model is suitable for explaining the charge transport mechanism in these samples. According to this model, the AC conductivity in all samples arises from thermally activated charge carriers hopping between two sites by overcoming the potential barriers separating them [35].
Figure 10 shows the variation in l n σ D C as a function of 1000/T. Based on these results, we calculated the activation energies for the DC conductivity of the samples using the Arrhenius law, and they lay in the range of 1.049–1.195 eV. It is noteworthy that the values of the activation energies for relaxation and conductivity are similar, indicating that the relaxation and conduction processes correspond to the same mechanism, involving the same charge carriers (doubly ionized oxygen vacancies). The increase in TiO2 content enhances the probability of defect formation and migration in the xTiO2-(1-x)SiO2 glass system, leading to higher conductivity and a reduction in the conductivity activation energy, which, in turn, increases the conductivity loss which is a component of the dielectric loss. Therefore, we speculate that this may reduce the Q × f value of the material.

3.3. Microwave Dielectric Properties

Figure 11 presents the microwave dielectric performance of the xTiO2-(1-x)SiO2 glass samples. As shown in Figure 11a, the permittivity (εr) of the samples exhibits an approximately linear increase with increasing TiO2 content. Furthermore, the dielectric constants of the samples are lower than those reported for xTiO2-(1-x)SiO2 ceramic materials by Li and Hu [38,39] (as shown in Table 1), which is consistent with the general understanding that the formation of the glassy phase reduces the dielectric constant of the material [40]. The smaller radius, higher charge state, and larger polarizability of Ti4+ ions facilitate ionic polarization. The increasing amount of introduced TiO2 increases the number of polarizable units, consequently leading to a moderate increase in the dielectric constant.
Based on the Clausius–Mosotti (CM) equation, the polarizability ( α D ) of different samples can be calculated from their dielectric constant ( ε r ) and molar volume ( V m ):
α D = 1 b V m ε r 1 ε r + 2
where b = 4π/3, and the molar volume ( V m ) is determined by the molecular weight (MW) of the glass, its density (ρ), and the Avogadro constant ( N A ):
V m = M W ρ N A
It is noted that the density of the xTiO2-(1-x)SiO2 glass material is nearly independent of the titanium content, which is consistent with Shelby’s earlier results [16]. The calculated values of ρ and V m are summarized in Table 2. The calculation results indicate that the increase in the content of Ti ions with high polarizability leads to a continuous increase in the polarizability α D value (as shown in Table 2). Furthermore, based on the following equation, we calculated the polarizability of oxygen ions ( α O 2 ) for samples with different titanium contents:
α O 2 = α D α c X
X = i x i y i
α c = i x i α i c
where x i is the mole fraction of each component, y i is the number of oxygen ions in component i, and X is the total mole number of oxygen ions in the entire glass. α i c is the cation polarizability of component i, and α c is the sum of all cation polarizabilities.
The α(Si4+) and α(Ti4+) values are cited from Shannon’s ionic polarizability theory [41]. The calculated α O 2 values for samples with different titanium contents are shown in Table 2. It is observed that the α O 2 polarizability increases with increasing titanium content, and the values are significantly higher than the theoretical polarizability value of α O 2 (2.01 Å3). Combining the aforementioned trends in relaxation and electrical conductivity activation energy, the constraining ability of the glass matrix on defects gradually decreases, ultimately leading to an increase in the polarizability of α O 2 . When variations in TiO2 content lead to changes in oxygen ion polarizability, the frequency response characteristics of oxygen ions change accordingly, resulting in alterations in the spectral behavior of the sample’s dielectric constant. Generally, ions with higher polarizability exhibit more pronounced relaxation behavior in response to frequency variations, manifesting as more significant dielectric dispersion behavior. Our experimental results demonstrate that with increasing TiO2 content, the overall polarizability of the samples increases, particularly the oxygen ion polarizability, leading to more pronounced dielectric dispersion behavior, as shown in Figure 12. This means the relaxation behavior with frequency variation becomes more evident. These findings validate the rationality of our calculations.
The relationship between the quality factor (Q × f) of the samples and the TiO2 content is shown in Figure 11b. As the value of x increases from 0 to 8.2 mol%, the Q × f value of the samples decreases from 65,517 GHz to 57,116 GHz (a decrease of 12.8%). This is mainly due to the formation of oxygen vacancies and related defects under high-temperature conditions, which has been verified by the aforementioned EPR and AC impedance analysis results. The presence of oxygen vacancies will enhance the anharmonic vibrations between the phonon system and the alternating electric field, thereby increasing the extrinsic dielectric loss [42]. With increasing TiO2 concentration, the formation of more oxygen vacancies leads to higher polarization loss and conductivity losses, which is the primary cause of the decreased Q × f value of the glass.
The results in Figure 11c show that the samples exhibit relatively low negative values for the resonant frequency temperature coefficient, and as the TiO2 content increases, the τf value increases from −7.15 ppm/K to −4.32 ppm/K (S1 to S6), which is closer to 0 ppm/K compared to the τf value of SiO2 (approximately −8.0 ppm/K). These results also validate the good dielectric constant temperature stability exhibited by the samples in the AC impedance spectroscopy results.

4. Conclusions

In this study, the optical properties, microwave dielectric performance, and defect behavior of the xTiO2-(1-x)SiO2 glass series synthesized via the flame hydrolysis method were investigated. The optical bandgap of the samples was found to decrease significantly with increasing TiO2 content, as detected by UV–visible spectroscopy. The defect behavior of the materials was studied through EPR and AC impedance analysis, where the activation energies obtained from the relaxation and conduction processes of all samples were highly consistent and corresponded to the characteristics of doubly ionized oxygen vacancies. With increasing TiO2 content, the formation and migration of defects became more favorable, leading to higher dielectric losses. Furthermore, AC impedance spectroscopy revealed the temperature stability of the dielectric constant. The calculation of the microwave dielectric constant based on the Clausius–Mossotti equation indicated that, as the titanium content increased, the degree of glass network polymerization decreased and the α O 2 polarizability increased. The 8.2TiO2-91.8SiO2 glass sample exhibited excellent microwave dielectric performance (εr = 4.13, Q × f = 57,116 GHz, τf = −4.32 ppm/°C), demonstrating its promising potential in applications as a microwave substrate material.

Supplementary Materials

The following supporting information can be downloaded at: https://www.mdpi.com/article/10.3390/ma18020320/s1, Figure S1: Schematic diagram of the flame hydrolysis process process.

Author Contributions

Conceptualization, C.Z. and S.G.; methodology, S.G.; software, C.Z.; validation, S.G., M.Z. and H.W.; formal analysis, C.Z.; investigation, C.Z.; resources, Z.S.; data curation, L.N. and Y.J.; writing—original draft preparation, C.Z.; writing—review and editing, C.Z.; visualization, B.F.; supervision, S.G.; project administration, H.W.; funding acquisition, Z.S. All authors have read and agreed to the published version of the manuscript.

Funding

This research received no external funding.

Institutional Review Board Statement

Not applicable.

Informed Consent Statement

Not applicable.

Data Availability Statement

The original contributions presented in this study are included in the article. Further inquiries can be directed to the corresponding author(s).

Conflicts of Interest

Authors Chenyang Zhang, Sijian Gao, Zhufeng Shao, Lanjian Nie, Hui Wang, Yanan Jia and Bo Fu were employed by China Building Materials Academy. The remaining authors declare that the research was conducted in the absence of any commercial or financial relationships that could be construed as a potential conflict of interest.

References

  1. Cai, L.; Wu, J.; Lamberson, L.; Streltsova, E.; Daly, C.; Zakharian, A.; Borrelli, N.F. Glass for 5G Applications. Appl. Phys. Lett. 2021, 119, 082901. [Google Scholar] [CrossRef]
  2. Choi, H.; Kang, B. Rediscovery of Glass Materials for Millimeter-Wave Wireless Communications. In Proceedings of the 2022 14th Global Symposium on Millimeter-Waves & Terahertz (GSMM), Seoul, Republic of Korea, 18–20 May 2022; pp. 85–88. [Google Scholar]
  3. Rodriguez-Cano, R.; Perini, S.E.; Foley, B.M.; Lanagan, M. Broadband Characterization of Silicate Materials for Potential 5G/6G Applications. IEEE Trans. Instrum. Meas. 2023, 72, 6003008. [Google Scholar] [CrossRef]
  4. Lai, Y.; Pan, K.; Park, S. Thermo-Mechanical Reliability of Glass Substrate and Through Glass Vias (TGV): A Comprehensive Review. Microelectron. Reliab. 2024, 161, 115477. [Google Scholar] [CrossRef]
  5. Tummala, R.; Deprospo, B.; Dwarakanath, S.; Ravichandran, S.; Nimbalkar, P.; Nedumthakady, N.; Swaminathan, M. Glass Panel Packaging, as the Most Leading-Edge Packaging: Technologies and Applications. In Proceedings of the 2020 Pan Pacific Microelectronics Symposium (Pan Pacific), Big Island, HI, USA, 10–13 February 2020; pp. 1–5. [Google Scholar]
  6. Liu, J.; Yang, K.; Zhai, J.; Shen, B.; Wang, H.; Li, F. High Energy Storage Density and Rapid Discharge Speed of Niobosilicate Glasses. Mater. Chem. Phys. 2018, 206, 29–34. [Google Scholar] [CrossRef]
  7. Lanagan, M.T.; Cai, L.; Lamberson, L.A.; Wu, J.; Streltsova, E.; Smith, N.J. Dielectric Polarizability of Alkali and Alkaline-Earth Modified Silicate Glasses at Microwave Frequency. Appl. Phys. Lett. 2020, 116, 222902. [Google Scholar] [CrossRef]
  8. Danewalia, S.S.; Singh, K. Intriguing Role of TiO2 in Glass-Ceramics: Bioactive and Magneto-Structural Properties. J. Am. Ceram. Soc. 2018, 101, 2819–2830. [Google Scholar] [CrossRef]
  9. Li, J.; Huang, J.; Feng, H.; Wang, X.; Yin, X.; Zhang, Y. Effect of TiO2/SiO2 Molar Ratio on the Structure, Dielectric and Crystallization Properties of SiO2-TiO2-ZrO2-RO-Al2O3 Glasses. J. Non-Cryst. Solids 2022, 576, 121243. [Google Scholar] [CrossRef]
  10. Weigel, C.; Cherkasova, V.; Holz, M.; Phi, H.B.; Görner Tenorio, C.; Wilbertz, B.; Voßgrag, L.; Fröhlich, T.; Strehle, S. Ultralow Expansion Glass as Material for Advanced Micromechanical Systems. Adv. Eng. Mater. 2023, 25, 2201873. [Google Scholar] [CrossRef]
  11. Mittal, A.; Baranwal, R.; Kumar, P.; Upadhyay, S. Scaling Behavior of AC Conductivity and Modulus Spectra of K2NiO4-Type Sr2TiO4. Emergent Mater. 2024, 7, 1763–1777. [Google Scholar] [CrossRef]
  12. Liu, L.; He, C.-C.; Zeng, J.; Peng, Y.-H.; Chen, W.-Y.; Zhao, Y.-J.; Yang, X.-B. Theoretical Study of Oxygen-Vacancy Distribution in In2O3. J. Phys. Chem. C 2021, 125, 7077–7085. [Google Scholar] [CrossRef]
  13. Nowotny, M.K.; Sheppard, L.R.; Bak, T.; Nowotny, J. Defect Chemistry of Titanium Dioxide. Application of Defect Engineering in Processing of TiO2-Based Photocatalysts. J. Phys. Chem. C 2008, 112, 5275–5300. [Google Scholar] [CrossRef]
  14. Plotnichenko, V.G.; Sokolov, V.O.; Dianov, E.M. Hydroxyl Groups in High-Purity Silica Glass. Inorg. Mater. 2000, 36, 404–410. [Google Scholar] [CrossRef]
  15. Zhu, M.; Wu, X.; Hou, Y.; Zhang, G. Critical Transition of Conductance and Dielectric Relaxation of Synthesized Fused Silica Investigated by Electrical Impedance Spectroscopy. J. Non-Cryst. Solids 2016, 439, 15–20. [Google Scholar] [CrossRef]
  16. Shelby, J.E. Density of TiO2-Doped Vitreous Silica. Phys. Chem. Glas. 2005, 46, 494–499. [Google Scholar]
  17. Scannell, G.; Koike, A.; Huang, L. Structure and Thermo-Mechanical Response of TiO2-SiO2 Glasses to Temperature. J. Non-Cryst. Solids 2016, 447, 238–247. [Google Scholar] [CrossRef]
  18. Saito, K.; Ikushima, A.J. Absorption Edge in Silica Glass. Phys. Rev. B 2000, 62, 8584–8587. [Google Scholar] [CrossRef]
  19. Smith, D.Y.; Black, C.E.; Homes, C.C.; Shiles, E. Optical Properties of TiO2–SiO2 Glass over a Wide Spectral Range. Phys. Status Solidi 2007, 4, 838–842. [Google Scholar] [CrossRef]
  20. Yano, K.; Morimoto, Y. Optical Absorption Properties of TiO2-Doped Silica Glass in UV–VUV Region. J. Non-Cryst. Solids 2004, 349, 120–126. [Google Scholar] [CrossRef]
  21. Richter, S.; Möncke, D.; Zimmermann, F.; Kamitsos, E.I.; Wondraczek, L.; Tünnermann, A.; Nolte, S. Ultrashort Pulse Induced Modifications in ULE—From Nanograting Formation to Laser Darkening. Opt. Mater. Express OME 2015, 5, 1834–1850. [Google Scholar] [CrossRef]
  22. Bal, R.; Chaudhari, K.; Srinivas, D.; Sivasanker, S.; Ratnasamy, P. Redox and Catalytic Chemistry of Ti in Titanosilicate Molecular Sieves: An EPR Investigation. J. Mol. Catal. A Chem. 2000, 162, 199–207. [Google Scholar] [CrossRef]
  23. Sushko, P.V.; Mukhopadhyay, S.; Mysovsky, A.S.; Sulimov, V.B.; Taga, A.; Shluger, A.L. Structure and Properties of Defects in Amorphous Silica: New Insights from Embedded Cluster Calculations. J. Phys. Condens. Matter 2005, 17, S2115. [Google Scholar] [CrossRef]
  24. Naldoni, A.; Altomare, M.; Zoppellaro, G.; Liu, N.; Kment, Š.; Zbořil, R.; Schmuki, P. Photocatalysis with Reduced TiO2: From Black TiO2 to Cocatalyst-Free Hydrogen Production. ACS Catal. 2019, 9, 345–364. [Google Scholar] [CrossRef] [PubMed]
  25. Thakur, V.; Singh, A.; Punia, R.; Dahiya, S.; Singh, L. Structural Properties and Electrical Transport Characteristics of Modified Lithium Borate Glass Ceramics. J. Alloys Compd. 2017, 696, 529–537. [Google Scholar] [CrossRef]
  26. Majhi, K.; Vaish, R.; Paramesh, G.; Varma, K.B.R. Electrical Transport Characteristics of ZnO–Bi2O3–B2O3 Glasses. Ionics 2013, 19, 99–104. [Google Scholar] [CrossRef]
  27. Huang, Y.; Wu, K.; Xing, Z.; Zhang, C.; Hu, X.; Guo, P.; Zhang, J.; Li, J. Understanding the Validity of Impedance and Modulus Spectroscopy on Exploring Electrical Heterogeneity in Dielectric Ceramics. J. Appl. Phys. 2019, 125, 084103. [Google Scholar] [CrossRef]
  28. Almond, D.P.; West, A.R. Impedance and Modulus Spectroscopy of “Real” Dispersive Conductors. Solid State Ion. 1983, 11, 57–64. [Google Scholar] [CrossRef]
  29. Maass, P.; Petersen, J.; Bunde, A.; Dieterich, W.; Roman, H.E. Non-Debye Relaxation in Structurally Disordered Ionic Conductors: Effect of Coulomb Interaction. Phys. Rev. Lett. 1991, 66, 52–55. [Google Scholar] [CrossRef]
  30. Sheoran, A.; Sanghi, S.; Rani, S.; Agarwal, A.; Seth, V.P. Impedance Spectroscopy and Dielectric Relaxation in Alkali Tungsten Borate Glasses. J. Alloys Compd. 2009, 475, 804–809. [Google Scholar] [CrossRef]
  31. Annapurna, T.; Kostrzewa, M.; Reddy, A.S.S.; Ingram, A.; Ashok, J.; Kumar, V.R.; Veeraiah, N. Polaronic Conduction and Dielectric Relaxation Dynamics in V2O5 Added Lead Bismuth Silicate Glass System. J. Non-Cryst. Solids 2020, 528, 119746. [Google Scholar] [CrossRef]
  32. Martin, S.W. Conductivity Relaxation in Glass: Compositional Contributions to Non-Exponentiality. Appl. Phys. A 1989, 49, 239–247. [Google Scholar] [CrossRef]
  33. Ngai, K.L. A Review of Critical Experimental Facts in Electrical Relaxation and Ionic Diffusion in Ionically Conducting Glasses and Melts. J. Non-Cryst. Solids 1996, 203, 232–245. [Google Scholar] [CrossRef]
  34. Kusz, B.; Trzebiatowski, K.; Barczynski, R.J. Ionic Conductivity of Bismuth Silicate and Bismuth Germanate Glasses. Solid State Ion. 2003, 159, 293–299. [Google Scholar] [CrossRef]
  35. Bendahhou, A.; Marchet, P.; El Barkany, S.; Abou-salama, M. Structural and Impedance Spectroscopic Study of Zn-Substituted Ba5CaTi2Nb8O30 Tetragonal Tungsten Bronze Ceramics. J. Alloys Compd. 2021, 882, 160716. [Google Scholar] [CrossRef]
  36. Sidebottom, D.L. Dimensionality Dependence of the Conductivity Dispersion in Ionic Materials. Phys. Rev. Lett. 1999, 83, 983–986. [Google Scholar] [CrossRef]
  37. Lanfredi, S.; Saia, P.S.; Lebullenger, R.; Hernandes, A.C. Electric Conductivity and Relaxation in Fluoride, Fluorophosphate and Phosphate Glasses: Analysis by Impedance Spectroscopy. Solid State Ion. 2002, 146, 329–339. [Google Scholar] [CrossRef]
  38. Li, F.; Liu, P.; Ruan, P.; Zhang, H.; Guo, B.; Zhao, X. Microwave Dielectric Properties of (1−x) SiO2 − xTiO2 Ceramics. Ceram. Int. 2015, 41, S582–S587. [Google Scholar] [CrossRef]
  39. Hu, C.; Liu, Y.; Liu, P.; Zhang, W.; Zhu, J. Microwave Dielectric Properties of (1−x) SiO2–xTiO2 Composite Ceramics Derived from Core–Shell Structured Microspheres. Mater. Res. Bull. 2014, 53, 54–57. [Google Scholar] [CrossRef]
  40. Sebastian, M.T. Dielectric Materials for Wireless Communication; Elsevier: Amsterdam, The Netherlands, 2010; ISBN 978-0-08-056050-2. [Google Scholar]
  41. Shannon, R.D. Dielectric Polarizabilities of Ions in Oxides and Fluorides. J. Appl. Phys. 1993, 73, 348–366. [Google Scholar] [CrossRef]
  42. Li, H.; Li, X.; Liu, F.; Lin, X.; Liu, S. Effect of Lattice Defects on Crystal Structure and Microwave Properties of Ba(Ga1/2Ta1/2)O3 Doped Ba(Zn1/3Nb2/3)O3 Ceramics. J. Alloys Compd. 2024, 1002, 175175. [Google Scholar] [CrossRef]
Figure 1. Infrared absorption spectra of samples S0–S6. The inset shows the magnified absorption peak at 2730 nm, and the table presents the calculated hydroxyl content values.
Figure 1. Infrared absorption spectra of samples S0–S6. The inset shows the magnified absorption peak at 2730 nm, and the table presents the calculated hydroxyl content values.
Materials 18 00320 g001
Figure 2. UV absorption spectra of samples S1–S6. The inset displays the Tauc plots, and the listed data are the indirect transition optical bandgap values obtained by extrapolation.
Figure 2. UV absorption spectra of samples S1–S6. The inset displays the Tauc plots, and the listed data are the indirect transition optical bandgap values obtained by extrapolation.
Materials 18 00320 g002
Figure 3. EPR spectrum of S0–S6 sample.
Figure 3. EPR spectrum of S0–S6 sample.
Materials 18 00320 g003
Figure 4. Frequency dependence of the imaginary part of the modulus of three samples, S1, S3, and S6 (873 K).
Figure 4. Frequency dependence of the imaginary part of the modulus of three samples, S1, S3, and S6 (873 K).
Materials 18 00320 g004
Figure 5. KWW fitting results for samples S1–S6.
Figure 5. KWW fitting results for samples S1–S6.
Materials 18 00320 g005
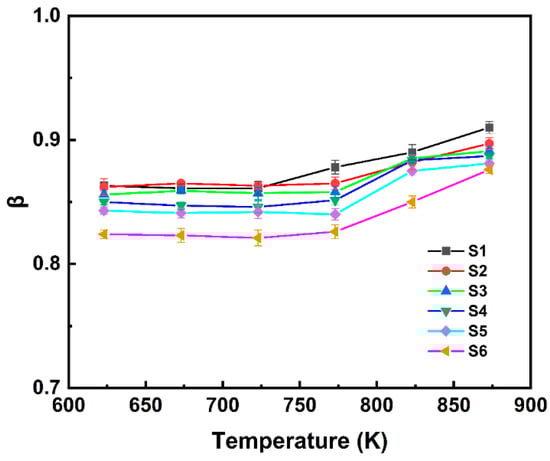
Figure 6. Temperature dependence of the exponent β for samples S1–S6.
Figure 6. Temperature dependence of the exponent β for samples S1–S6.
Materials 18 00320 g006
Figure 7. Arrhenius fitting of relaxation times for glass samples S1–S6.
Figure 7. Arrhenius fitting of relaxation times for glass samples S1–S6.
Materials 18 00320 g007
Figure 8. Here, (af) depict the conductivity curves for the S1–S6 glass samples, with the red curves representing the fitting results obtained using the Jonscher equation.
Figure 8. Here, (af) depict the conductivity curves for the S1–S6 glass samples, with the red curves representing the fitting results obtained using the Jonscher equation.
Materials 18 00320 g008
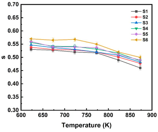
Figure 9. The temperature dependence of the Jonscher power law exponent (s) for the S1–S6 glass samples.
Figure 9. The temperature dependence of the Jonscher power law exponent (s) for the S1–S6 glass samples.
Materials 18 00320 g009
Figure 10. The calculation of the activation energies for DC conductivity of the S1–S6 glass samples. The solid lines in the figure represent the Arrhenius fitting results.
Figure 10. The calculation of the activation energies for DC conductivity of the S1–S6 glass samples. The solid lines in the figure represent the Arrhenius fitting results.
Materials 18 00320 g010
Figure 11. Microwave dielectric properties of the xTiO2-(1-x)SiO2 glass system. (a) Dielectric constant ( ε r ), (b) quality factor (Q × f), (c) temperature coefficient of resonant frequency (τf).
Figure 11. Microwave dielectric properties of the xTiO2-(1-x)SiO2 glass system. (a) Dielectric constant ( ε r ), (b) quality factor (Q × f), (c) temperature coefficient of resonant frequency (τf).
Materials 18 00320 g011
Figure 12. Frequency spectrum curves of the real part of the dielectric constant for samples S1–S6 at 873 K.
Figure 12. Frequency spectrum curves of the real part of the dielectric constant for samples S1–S6 at 873 K.
Materials 18 00320 g012
Table 1. Comparative analysis of properties between the present study and data in the literature.
Table 1. Comparative analysis of properties between the present study and data in the literature.
Sample ε r Q × f (GHz)τf (ppm/K)Reference
S64.1357,116−4.32This work
Silica glass3.8275,000−8.0
0.84SiO2-0.16TiO25.9139,680−4.53[38]
0.85SiO2-0.15TiO25.440,5002.5[39]
Table 2. Summary of dielectric constants ε r , molar volumes V m , and oxygen ion polarizability α O 2 parameters for the xTiO2-(1-x)SiO2 glass system.
Table 2. Summary of dielectric constants ε r , molar volumes V m , and oxygen ion polarizability α O 2 parameters for the xTiO2-(1-x)SiO2 glass system.
SampleDensity (g/cm3)Molar Volume (Å3) ε r α D α (O2−)
S02.20045.353.835.262.63
S12.20245.743.945.412.67
S22.20345.994.005.502.70
S32.20146.184.045.552.71
S42.20346.254.075.592.72
S52.20846.274.105.632.74
S62.20746.434.135.682.75
Disclaimer/Publisher’s Note: The statements, opinions and data contained in all publications are solely those of the individual author(s) and contributor(s) and not of MDPI and/or the editor(s). MDPI and/or the editor(s) disclaim responsibility for any injury to people or property resulting from any ideas, methods, instructions or products referred to in the content.

Share and Cite

MDPI and ACS Style

Zhang, C.; Gao, S.; Zhu, M.; Shao, Z.; Nie, L.; Wang, H.; Jia, Y.; Fu, B. Microwave Dielectric Properties and Defect Behavior of xTiO2-(1-x)SiO2 Glass. Materials 2025, 18, 320. https://doi.org/10.3390/ma18020320

AMA Style

Zhang C, Gao S, Zhu M, Shao Z, Nie L, Wang H, Jia Y, Fu B. Microwave Dielectric Properties and Defect Behavior of xTiO2-(1-x)SiO2 Glass. Materials. 2025; 18(2):320. https://doi.org/10.3390/ma18020320

Chicago/Turabian Style

Zhang, Chenyang, Sijian Gao, Mankang Zhu, Zhufeng Shao, Lanjian Nie, Hui Wang, Yanan Jia, and Bo Fu. 2025. "Microwave Dielectric Properties and Defect Behavior of xTiO2-(1-x)SiO2 Glass" Materials 18, no. 2: 320. https://doi.org/10.3390/ma18020320

APA Style

Zhang, C., Gao, S., Zhu, M., Shao, Z., Nie, L., Wang, H., Jia, Y., & Fu, B. (2025). Microwave Dielectric Properties and Defect Behavior of xTiO2-(1-x)SiO2 Glass. Materials, 18(2), 320. https://doi.org/10.3390/ma18020320

Note that from the first issue of 2016, this journal uses article numbers instead of page numbers. See further details here.

Article Metrics

Back to TopTop