Enhancement of Superconductivity in WP via Oxide-Assisted Chemical Vapor Transport
Abstract
1. Introduction
2. Materials and Methods
3. Results
3.1. Normal-State Properties
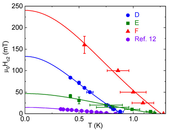
3.2. Superconducting Properties
4. Discussion
5. Conclusions
Supplementary Materials
Author Contributions
Funding
Data Availability Statement
Acknowledgments
Conflicts of Interest
References
- Rundqvist, S. Phosphides of the B31 (MnP) structure type. Acta Chem. Scand. 1962, 16, 287–292. [Google Scholar] [CrossRef]
- Rundqvist, S.; Lundstrom, T. X-ray studies of molybdenum and tungsten phosphides. Acta Chem. Scand. 1963, 17, 37. [Google Scholar] [CrossRef]
- Bellavance, D.; Vlasse, M.; Morris, B.; Wold, A. Preparation and properties of iron monophosphide. J. Solid State Chem. 1969, 1, 82–87. [Google Scholar] [CrossRef]
- Rodriguez, E.E.; Stock, C.; Krycka, K.L.; Majkrzak, C.F.; Zajdel, P.; Kirshenbaum, K.; Butch, N.P.; Saha, S.R.; Paglione, J.; Green, M.A. Noncollinear spin-density-wave antiferromagnetism in FeAs. Phys. Rev. B 2011, 83, 134438. [Google Scholar] [CrossRef]
- Hirai, D.; Takayama, T.; Hashizume, D.; Takagi, H. Metal-insulator transition and superconductivity induced by Rh doping in the binary pnictides RuPnPn = P, As, Sb). Phys. Rev. B 2012, 85, 140509. [Google Scholar] [CrossRef]
- Wu, W.; Cheng, J.; Matsubayashi, K.; Kong, P.; Lin, F.; Jin, C.; Wang, N.; Uwatoko, Y.; Luo, J. Superconductivity in the vicinity of antiferromagnetic order in CrAs. Nat. Commun. 2014, 5, 5508. [Google Scholar] [CrossRef]
- Kotegawa, H.; Nakahara, S.; Tou, H.; Sugawara, H. Superconductivity of 2.2 K under pressure in helimagnet CrAs. J. Phys. Soc. Jpn. 2014, 83, 093702. [Google Scholar] [CrossRef]
- Cheng, J.G.; Matsubayashi, K.; Wu, W.; Sun, J.P.; Lin, F.K.; Luo, J.L.; Uwatoko, Y. Pressure induced superconductivity on the border of magnetic order in MnP. Phys. Rev. Lett. 2015, 114, 117001. [Google Scholar] [CrossRef]
- Niu, Q.; Yu, W.; Yip, K.; Lim, Z.; Kotegawa, H.; Matsuoka, E.; Sugawara, H.; Tou, H.; Yanase, Y.; Goh, S.K. Quasilinear quantum magnetoresistance in pressure-induced nonsymmorphic superconductor chromium arsenide. Nat. Commun. 2017, 8, 15358. [Google Scholar] [CrossRef]
- Cuono, G.; Forte, F.; Cuoco, M.; Islam, R.; Luo, J.; Noce, C.; Autieri, C. Multiple band crossings and Fermi surface topology: Role of double nonsymmorphic symmetries in MnP-type crystal structures. Phys. Rev. Mater. 2019, 3, 095004. [Google Scholar] [CrossRef]
- Campbell, D.; Collini, J.; Sławińska, J.; Autieri, C.; Wang, L.; Wang, K.; Wilfong, B.; Eo, Y.; Neves, P.; Graf, D.; et al. Topologically driven linear magnetoresistance in helimagnetic FeP. NPJ Quantum Mater. 2021, 6, 38. [Google Scholar] [CrossRef]
- Liu, Z.; Wu, W.; Zhao, Z.; Zhao, H.; Cui, J.; Shan, P.; Zhang, J.; Yang, C.; Sun, P.; Wei, Y.; et al. Superconductivity in WP single crystals. Phys. Rev. B 2019, 99, 184509. [Google Scholar] [CrossRef]
- Nigro, A.; Cuono, G.; Marra, P.; Leo, A.; Grimaldi, G.; Liu, Z.; Mi, Z.; Wu, W.; Liu, G.; Autieri, C.; et al. Dimensionality of the Superconductivity in the Transition Metal Pnictide WP. Materials 2022, 15, 1027. [Google Scholar] [CrossRef] [PubMed]
- Mackenzie, A.P.; Haselwimmer, R.K.W.; Tyler, A.W.; Lonzarich, G.G.; Mori, Y.; Nishizaki, S.; Maeno, Y. Extremely Strong Dependence of Superconductivity on Disorder in Sr2RuO4. Phys. Rev. Lett. 1998, 80, 161–164. [Google Scholar] [CrossRef]
- Park, T.; Lee, H.; Martin, I.; Lu, X.; Sidorov, V.A.; Gofryk, K.; Ronning, F.; Bauer, E.D.; Thompson, J.D. Textured Superconducting Phase in the Heavy Fermion CeRhIn5. Phys. Rev. Lett. 2012, 108, 077003. [Google Scholar] [CrossRef]
- Chen, J.; Jiao, L.; Zhang, J.L.; Chen, Y.; Yang, L.; Nicklas, M.; Steglich, F.; Yuan, H.Q. Evidence for two-gap superconductivity in the non-centrosymmetric compound LaNiC2. New J. Phys. 2013, 15, 053005. [Google Scholar] [CrossRef]
- Liu, B.; Wu, J.; Cui, Y.; Wang, H.; Liu, Y.; Wang, Z.; Ren, Z.; Cao, G. Superconductivity in SnSb with a natural superlattice structure. Supercond. Sci. Technol. 2018, 31, 125011. [Google Scholar] [CrossRef]
- Krause, L.; Herbst-Irmer, R.; Sheldrick, G.M.; Stalke, D. Comparison of silver and molybdenum microfocus X-ray sources for single-crystal structure determination. J. Appl. Crystallogr. 2015, 48, 3–10. [Google Scholar] [CrossRef]
- Sheldrick, G.M. SHELXT–Integrated space-group and crystal-structure determination. Acta Crystallogr. A 2015, 71, 3–8. [Google Scholar] [CrossRef]
- Sheldrick, G.M. Crystal structure refinement with SHELXL. Acta Crystallogr. C 2015, 71, 3–8. [Google Scholar] [CrossRef]
- Binnewies, M.; Glaum, R.; Schmidt, M.; Schmidt, P. Chemische Transportreaktionen; Walter de Gruyter: Berlin, Germany, 2011. [Google Scholar]
- Niu, Q.; Yu, W.C.; Aulestia, E.I.P.; Hu, Y.J.; Lai, K.T.; Kotegawa, H.; Matsuoka, E.; Sugawara, H.; Tou, H.; Sun, D.; et al. Nonsaturating large magnetoresistance in the high carrier density nonsymmorphic metal CrP. Phys. Rev. B 2019, 99, 125126. [Google Scholar] [CrossRef]
- Zhang, Y.; Yan, L.; Wu, W.; He, G.; Zhang, J.; Ni, Z.; Jiang, X.; Qin, M.; Jin, F.; Yuan, J.; et al. Single-crystalline transition metal phosphide superconductor WP studied by Raman spectroscopy and first-principles calculations. Phys. Rev. B 2022, 105, 174511. [Google Scholar] [CrossRef]
- Lenz, M.; Gruehn, R. Developments in measuring and calculating chemical vapor transport phenomena demonstrated on Cr, Mo, W, and their compounds. Chem. Rev. 1997, 97, 2967–2994. [Google Scholar] [CrossRef]
- Martin, J.; Gruehn, R. Synthesis of transition metal phosphides form their oxides using the chemical transport (CVT) method. Solid State Ionics 1990, 43, 19–22. [Google Scholar] [CrossRef]
- Mathis, H.; Glaum, R.; Gruehn, R. Reduction of WO3 by phosphorus. Acta Chem. Scand. 1991, 45, 781. [Google Scholar] [CrossRef][Green Version]
- Schönemann, R.; Aryal, N.; Zhou, Q.; Chiu, Y.C.; Chen, K.W.; Martin, T.J.; McCandless, G.T.; Chan, J.Y.; Manousakis, E.; Balicas, L. Fermi surface of the Weyl type-II metallic candidate WP2. Phys. Rev. B 2017, 96, 121108. [Google Scholar] [CrossRef]
- Xiang, X.J.; Song, G.Z.; Zhou, X.F.; Liang, H.; Xu, Y.; Qin, S.J.; Wang, J.P.; Hong, F.; Dai, J.H.; Zhou, B.W.; et al. Congruent melting of tungsten phosphide at 5 GPa and 3200 °C for growing its large single crystals. Chin. Phys. B 2020, 29, 088202. [Google Scholar] [CrossRef]
- Tayran, C.; Çakmak, M. Electronic structure, phonon and superconductivity for WP 5d-transition metal. J. Appl. Phys. 2019, 126, 175103. [Google Scholar] [CrossRef]
- Takase, A.; Kasuya, T. Temperature Dependences of Electrical Resistivity in MnP. J. Phys. Soc. Jpn. 1980, 48, 430–434. [Google Scholar] [CrossRef]
- Ali, M.N.; Schoop, L.; Xiong, J.; Flynn, S.; Gibson, Q.; Hirschberger, M.; Ong, N.P.; Cava, R.J. Correlation of crystal quality and extreme magnetoresistance of WTe2. Europhys. Lett. 2015, 110, 67002. [Google Scholar] [CrossRef]
- Fallah Tafti, F.; Gibson, Q.; Kushwaha, S.; Krizan, J.W.; Haldolaarachchige, N.; Cava, R.J. Temperature-field phase diagram of extreme magnetoresistance. Proc. Natl. Acad. Sci. USA 2016, 113, E3475–E3481. [Google Scholar] [CrossRef] [PubMed]
- Campbell, D.J.; Wang, L.; Eckberg, C.; Graf, D.; Hodovanets, H.; Paglione, J. CoAs: The line of 3d demarcation. Phys. Rev. B 2018, 97, 174410. [Google Scholar] [CrossRef]
- Segawa, K.; Ando, Y. Magnetic and transport properties of FeAs single crystals. J. Phys. Soc. Jpn. 2009, 78, 104720. [Google Scholar] [CrossRef]
- Cairns, L.P.; Stevens, C.R.; D O’Neill, C.; Huxley, A. Composition dependence of the superconducting properties of UTe2. J. Phys. Condens. Matter 2020, 32, 415602. [Google Scholar] [CrossRef]
- Rosa, P.F.; Weiland, A.; Fender, S.S.; Scott, B.L.; Ronning, F.; Thompson, J.D.; Bauer, E.D.; Thomas, S.M. Single thermodynamic transition at 2 K in superconducting UTe2 single crystals. Commun. Mater. 2022, 3, 33. [Google Scholar] [CrossRef]
- Sakai, H.; Opletal, P.; Tokiwa, Y.; Yamamoto, E.; Tokunaga, Y.; Kambe, S.; Haga, Y. Single crystal growth of superconducting UTe2 by molten salt flux method. Phys. Rev. Mater. 2022, 6, 073401. [Google Scholar] [CrossRef]
- Cheng, J.; Luo, J. Pressure-induced superconductivity in CrAs and MnP. J. Phys.-Condens. Mat. 2017, 29, 383003. [Google Scholar] [CrossRef]
- Guo, C.Y.; Smidman, M.; Shen, B.; Wu, W.; Lin, F.K.; Han, X.L.; Chen, Y.; Wu, F.; Wang, Y.F.; Jiang, W.B.; et al. Evidence for triplet superconductivity near an antiferromagnetic instability in CrAs. Phys. Rev. B 2018, 98, 024520. [Google Scholar] [CrossRef]
- Kotegawa, H.; Nakahara, S.; Akamatsu, R.; Tou, H.; Sugawara, H.; Harima, H. Detection of an Unconventional Superconducting Phase in the Vicinity of the Strong First-Order Magnetic Transition in CrAs Using 75As-Nuclear Quadrupole Resonance. Phys. Rev. Lett. 2015, 114, 117002. [Google Scholar] [CrossRef]
- Benhabib, S.; Lupien, C.; Paul, I.; Berges, L.; Dion, M.; Nardone, M.; Zitouni, A.; Mao, Z.; Maeno, Y.; Georges, A.; et al. Ultrasound evidence for a two-component superconducting order parameter in Sr2RuO4. Nat. Phys. 2021, 17, 194–198. [Google Scholar] [CrossRef]
- Ghosh, S.; Shekhter, A.; Jerzembeck, F.; Kikugawa, N.; Sokolov, D.A.; Brando, M.; Mackenzie, A.; Hicks, C.W.; Ramshaw, B. Thermodynamic evidence for a two-component superconducting order parameter in Sr2RuO4. Nat. Phys. 2021, 17, 199–204. [Google Scholar] [CrossRef]





| Atom | x | y | z | |||||
|---|---|---|---|---|---|---|---|---|
| W | 0.51323(3) | 0.25 | 0.68851(3) | 0.00125(8) | 0.0074(10) | 0.00195(10) | 0.00106(10) | −0.0006(4) |
| P | 0.18441(17) | 0.25 | 0.43383(18) | 0.00205(18) | 0.0022(4) | 0.0021(4) | 0.0019(4) | −0.0004(3) |
Disclaimer/Publisher’s Note: The statements, opinions and data contained in all publications are solely those of the individual author(s) and contributor(s) and not of MDPI and/or the editor(s). MDPI and/or the editor(s) disclaim responsibility for any injury to people or property resulting from any ideas, methods, instructions or products referred to in the content. |
© 2025 by the authors. Licensee MDPI, Basel, Switzerland. This article is an open access article distributed under the terms and conditions of the Creative Commons Attribution (CC BY) license (https://creativecommons.org/licenses/by/4.0/).
Share and Cite
Campbell, D.J.; Lin, W.-C.; Collini, J.; Eo, Y.S.; Anand, Y.; Saha, S.; Graf, D.; Zavalij, P.Y.; Paglione, J. Enhancement of Superconductivity in WP via Oxide-Assisted Chemical Vapor Transport. Materials 2025, 18, 4529. https://doi.org/10.3390/ma18194529
Campbell DJ, Lin W-C, Collini J, Eo YS, Anand Y, Saha S, Graf D, Zavalij PY, Paglione J. Enhancement of Superconductivity in WP via Oxide-Assisted Chemical Vapor Transport. Materials. 2025; 18(19):4529. https://doi.org/10.3390/ma18194529
Chicago/Turabian StyleCampbell, Daniel J., Wen-Chen Lin, John Collini, Yun Suk Eo, Yash Anand, Shanta Saha, David Graf, Peter Y. Zavalij, and Johnpierre Paglione. 2025. "Enhancement of Superconductivity in WP via Oxide-Assisted Chemical Vapor Transport" Materials 18, no. 19: 4529. https://doi.org/10.3390/ma18194529
APA StyleCampbell, D. J., Lin, W.-C., Collini, J., Eo, Y. S., Anand, Y., Saha, S., Graf, D., Zavalij, P. Y., & Paglione, J. (2025). Enhancement of Superconductivity in WP via Oxide-Assisted Chemical Vapor Transport. Materials, 18(19), 4529. https://doi.org/10.3390/ma18194529

