Calorimetric Studies of the Mg-Pt System
Abstract
1. Introduction
2. Materials and Methods
3. Results and Discussion
3.1. Phase Analysis and Microstructural Characterization
3.2. Calorimetric Studies
4. Conclusions
Author Contributions
Funding
Institutional Review Board Statement
Informed Consent Statement
Data Availability Statement
Acknowledgments
Conflicts of Interest
References
- Xin, G.; Yang, J.; Fu, H.; Li, W.; Zheng, J.; Li, X. Excellent hydrogen sorption kinetics of thick Mg–Pd films under mild conditions by tailoring their structures. RSC Adv. 2013, 3, 4167–4170. [Google Scholar] [CrossRef]
- Urretavizcaya, G.; Sarmiento Chávez, A.C.; Castro, F.J. Hydrogen absorption and desorption in the Mg–Ag system. J. Alloys Compd. 2014, 611, 202–209. [Google Scholar] [CrossRef]
- Nayeb-Hashemi, A.A.; Clark, J.B. The Mg-Pt (Magnesium-Platinum) System. In Bulletin of Alloy Phase Diagrams, 2nd ed.; Massalski, T.B., Ed.; ASM International: Geauga County, OH, USA, 1985; Volume 6, pp. 533–534. [Google Scholar]
- Ferro, R.; Rambaldi, G. Research on the alloys of noble metals with the more electropositive elements: III. Micrographic and X-ray examination of some magnesium-platinum alloys. J. Less Common Met. 1960, 2, 383–391. [Google Scholar] [CrossRef]
- Stadelmaier, H.H.; Hardy, W.K. Ternäre Kohlenstofllegierungen von Palladium und Platın mit Magnesium, Aluminium, Zink, Gallium, Germanium, Kadmium, Indium, Zinn, (Quecksilber, Thallıum und Blei. Int. J. Mater. Res. Z. Für Met. 1961, 52, 391–396. [Google Scholar] [CrossRef]
- Bronger, W.; Klemm, W. Darstellung von Legierungen des Platins mit unedlen Metallen. Z. Für Anorg. Und Allg. Chem. (ZAAC) 1962, 319, 58–81. [Google Scholar] [CrossRef]
- Range, K.J.; Hafner, P. A redetermination of the crystal structure of trimagnesium platinum, Mg3Pt. J. Alloys Compd. 1992, 183, 430–437. [Google Scholar] [CrossRef]
- Schmitt, R.; Glaser, J.; Meyer, H.-J. The New Ternary Boride Mg8Pt4B and the New Intermetallic Compound PtMg2. Z. Für Anorg. Und Allg. Chem. 2006, 632, 2198–2200. [Google Scholar] [CrossRef]
- Wengert, P.R.; Spanoudis, L. Limits on the Gibbs Free Energy of Formation of Intermetallic Compounds Containing Pt-Group Elements. J. Am. Ceram. Soc. 1974, 57, 94–96. [Google Scholar] [CrossRef]
- Jacob, K.T.; Abraham, K.P.; Ramachandran, S. Gibbs Energies of Formation of Intermetallic Phases in the System Pt-Mg, Pt-Ca, and Pt-Ba and Some Applications. Metall. Mater. Trans. B 1990, 21, 521–527. [Google Scholar] [CrossRef]
- Terlicka, S.; Dębski, A.; Gąsior, W.; Gierlotka, W.; Pęska, M.; Polański, M. Thermodynamic properties of liquid Mg-Pt alloys determined by thecalorimetric method. J. Mol. Liq. 2020, 317, 113976. [Google Scholar] [CrossRef]
- Gierlotka, W.; Dębski, A.; Terlicka, S.; Gąsior, W.; Pęska, M.; Polański, M.; Lin, I.-T. Insight into Phase Stability in the Mg-Pt System. The Ab Initio Calculations. J. Phase Equilibria Diffus. 2021, 42, 102–106. [Google Scholar] [CrossRef]
- Gierlotka, W.; Dębski, A.; Terlicka, S.; Gąsior, W.; Pęska, M.; Dworecka-Wójcik, J.; Polański, M. Theoretical studies of the thermodynamic and mechanical properties of Mg–Pt system. An insight into phase equilibria. J. Mater. Res. 2022, 37, 1904–1915. [Google Scholar] [CrossRef]
- Dębski, A.; Pęska, M.; Dworecka-Wójcik, J.W.; Gąsior, W.; Gierlotka, R.; Chulist, R.; Cerny, I.; Wyrębska, S.; Terlicka, M.; Polański, M. Mechanical synthesis and calorimetric studies of the enthalpies of formation of chosen Mg-Pd alloys. Molecules 2024, 29, 5734. [Google Scholar] [CrossRef]
- Chen, S.L.; Daniel, S.; Zhang, F.; Chang, Y.A.; Yan, X.-Y.; Xie, F.-Y.; Schmid-Fetzer, R.; Oates, W.A. The PANDAT software package and its applications. Calphad-Comput. Coupling Phase Diagr. Thermochem. 2002, 26, 175–188. [Google Scholar] [CrossRef]
- Dębski, A.; Pęska, M.; Dworecka-Wójcik, J.; Terlicka, S.; Gąsior, W.; Gierlotka, W.; Polański, M. Structural and calorimetric studies of magnesium-rich Mg-Pd alloys. J. Alloys Compd. 2021, 858, 158085. [Google Scholar] [CrossRef]
- Walker, R.A.; Darby, J.B. Thermodynamic properties of solid nickel-platinum alloys. Acta Metall. 1970, 18, 1261–1266. [Google Scholar] [CrossRef]
- Geiken, G.W. A Thermodynamic Study of the Heat of Ordering in CuPt; USAEC Report UCRL-17615; University of California, Berkeley, CA, USA, 1967.
- Oriani, R.A.; Murphy, W.K. Thermodynamics of ordering alloys—IV heats of formation of some alloys of transition metals. Acta Metall. 1962, 10, 879–885. [Google Scholar] [CrossRef]
- Vogelbein, W.; Ellner, M.; Predel, B. Kalorimetrische untersuchung von binären legierungen des platins und palladiums mit gallium, indium und thallium. Thermochim. Acta 1981, 44, 141. [Google Scholar] [CrossRef]
- Pratt, J.N.; Bryant, A.W.; Underhill, D.T. Technical Representative for the US Army Contract; No DAJA 37-70-C-0632; University of Birmingham: Birmingham, UK, 1971. [Google Scholar]
- Darby, J.B., Jr.; Myles, K.M. A thermodynamic study of solid Pd-Pt alloys. Metall. Trans. 1972, 3, 653–657. [Google Scholar] [CrossRef]
- Boom, R. Heat of solution of metals in liquid tin. Scr. Metall. 1974, 8, 1277–1281. [Google Scholar] [CrossRef]
- Neumann-Torgersen, A.; Bros, H.; Castanet, R.; Kjekshus, A. Enthalpy of formation for CoGe, CoSn, Ni3.14Sn4, Ni3.50Sn4, AuCo1.66Sn4, AuNi2Sn4 and Au1.17Pt1.82Sn4. J. Alloys Compd. 2000, 307, 167–173. [Google Scholar] [CrossRef]
- Anres, P.; Gaune-Escard, M.; Bros, J.P.; Hayer, E. Enthalpy of formation of the (Pt–Sn) system. J. Alloys Compd. 1998, 280, 158. [Google Scholar] [CrossRef]
- de Boer, F.R.; Boom, R.; Mattens, W.C.M.; Miedema, A.R.; Niessen, A.K. Cohesion in Metals: Transition Metal Alloys; North-Holland: Amsterdam, The Netherlands, 1989; pp. 1–758. [Google Scholar]
- Dębski, A.; Dębski, R.; Gąsior, W. New features of Entall database: Comparison of experimental and model formation enthalpies. Arch. Metall. Mater. 2014, 59, 1337–1343. [Google Scholar] [CrossRef]
- Boom, R.; de Boer, F.R. Enthalpy of formation of binary solid and liquid Mg alloys–Comparison of Miedema-model calculations with data reported in literature. Calphad 2020, 68, 101647. [Google Scholar] [CrossRef]
- Taylor, R.H.; Curtarolo, S.; Hart, G.L.W. Guiding the experimental discovery of magnesium alloys. Phys. Rev. B 2011, 84, 084101. [Google Scholar] [CrossRef]
- Materials Project. Available online: www.matrialsproject.org (accessed on 15 October 2020).
- JARVIS Database. Available online: www.ctcms.nist.gov (accessed on 15 October 2020).
- The Open Quantum Materials Database. Available online: www.oqmd.org (accessed on 15 October 2020).
- AFLOW-Automatic Flow for Materials Design. Available online: http://aflowlib.org (accessed on 15 October 2020).


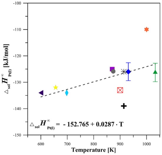
This study at 931 K;
This study at 1033 K;
[17] at 914 K;
[18] at 900 K;
[19] at 914 K;
[2] at 1000 K;
[21] at 656 K;
[22] at 698 K;
[23] at 600 K;
[24] at 874 K;
[25] at 870 K;
Average .
This study at 931 K;
This study at 1033 K;
[17] at 914 K;
[18] at 900 K;
[19] at 914 K;
[2] at 1000 K;
[21] at 656 K;
[22] at 698 K;
[23] at 600 K;
[24] at 874 K;
[25] at 870 K;
Average .
This study;
[10];
[13];
[26];
[28];
[29];
[30];
[31];
[32];
[33].
| Chemical Name | Source | Purity [Mass %] |
|---|---|---|
| Mg powder | Sigma Aldrich | >99 |
| Pt wire | Safina a.s. | 99.99 |
| Ar | Pioniergas | 99.9999 |
| Measurement No. | Dropped Mass of Samples [g] | Amount of Pt in Sn Bath [at. %] | Heat Effect ΔHef [kJ/mol] | [kJ/mol] |
|---|---|---|---|---|
| Series 1: atmosphere—Ar; calibration constant: K = 0.000003524 kJ/μVs; enthalpy of pure Pt: = 37.7333 kJ/mol; temperature of Sn bath: TM = 931 K; drop temperature: TD = 298 K; mass of Sn bath: mSn = 30.5011 g. | ||||
| 1 | 0.0820 | 0.1633 | −92.9 | −130.7 |
| 2 | 0.0820 | 0.3261 | −86.1 | −123.8 |
| 3 | 0.0770 | 0.4785 | −90.5 | −128.2 |
| 4 | 0.0780 | 0.6324 | −88.9 | −126.6 |
| 5 | 0.0800 | 0.7897 | −87.8 | −125.5 |
| 6 | 0.0974 | 0.9806 | −83.4 | −121.1 |
| Average | - | - | −88.2 | −126.0 |
| Standard error | - | - | 3.4 | 3.4 |
| Series 2: atmosphere—Ar; calibration constant: K = 0.000003377 kJ/μVs; enthalpy of pure Pt: = 40.8834 kJ/mol; temperature of Sn bath: TM = 1033 K; drop temperature: TD = 298 K; mass of Sn bath: mSn = 30.4691 g. | ||||
| 1 | 0.0892 | 0.1778 | −89.5 | −130.4 |
| 2 | 0.0905 | 0.3576 | −81.4 | −122.3 |
| 3 | 0.0896 | 0.5350 | −84.5 | −125.4 |
| 4 | 0.0962 | 0.7247 | −83.1 | −124.0 |
| 5 | 0.0919 | 0.9052 | −88.6 | −129.5 |
| 6 | 0.0974 | 1.0959 | −85.4 | −126.2 |
| Average | - | - | −85.4 | −126.3 |
| Standard error | - | - | 3.5 | 3.5 |
| Measurement No. | Dropped Mass of Sample [g] | Amount of Pt in Sn Bath [at.%] | Heat Effect ΔHef [kJ/mol] | [kJ/mol] |
|---|---|---|---|---|
| Atmosphere—Ar; calibration constant: K = 0.000003566 kJ/μVs; enthalpy of pure Pt: = 40.8834 kJ/mol; temperature of Al bath: TM = 1033 K; drop temperature: TD = 298 K; mass of Sn bath: mSn = 15.1001 g. | ||||
| 1 | 0.1027 | 0.0940 | −175.9 | −216.8 |
| 2 | 0.0992 | 0.1846 | −177.1 | −218.0 |
| 3 | 0.1094 | 0.2843 | −178.0 | −218.9 |
| Average | - | −177.0 | −217.9 | |
| Standard error | - | 1.2 | 1.2 | |
| Sample | T [K] | Sample No. | ΔHef [kJ/mol at.] | ΔfH [kJ/mol at.] |
|---|---|---|---|---|
| S1 (Mg6Pt) | 298 | 1 | 16.1 | −30.7 |
| 2 | 13.6 | −28.2 | ||
| Average | 14.9 | −29.5 | ||
| Standard error | 1.8 | 1.8 | ||
| S2 (Mg3Pt) | 298 | 1 | 31.6 | −55.0 |
| 2 | 29.3 | −52.8 | ||
| Average | 30.5 | −53.9 | ||
| Standard error | 1.6 | 1.6 | ||
| S3 (Mg2Pt) | 298 | 1 | 34.5 | −64.9 |
| 2 | 35.1 | −65.4 | ||
| Average | 34.8 | −65.2 | ||
| Standard error | 0.4 | 0.4 | ||
| S4 (MgPt) | 298 | 1 | 36.7 | −80.9 |
| 2 | 35.2 | −79.3 | ||
| 3 | 36.1 | −80.3 | ||
| 4 | 32.2 | −76.3 | ||
| 5 | 32.5 | −76.6 | ||
| Average | 34.5 | −78.7 | ||
| Standard error | 2.1 | 2.1 | ||
| S5 (MgPt3) | 298 | 1 | −20.1 | −44.8 |
| 2 | −20.6 | −44.3 | ||
| Average | −20.3 | −44.5 | ||
| Standard error | 0.4 | 0.4 | ||
| S6 (MgPt7) | 298 | 1 | −49.5 | −25.7 |
| 2 | −48.1 | −27.1 | ||
| Average | −48.8 | −26.4 | ||
| Standard error | 1.0 | 1.0 |
Disclaimer/Publisher’s Note: The statements, opinions and data contained in all publications are solely those of the individual author(s) and contributor(s) and not of MDPI and/or the editor(s). MDPI and/or the editor(s) disclaim responsibility for any injury to people or property resulting from any ideas, methods, instructions or products referred to in the content. |
© 2025 by the authors. Licensee MDPI, Basel, Switzerland. This article is an open access article distributed under the terms and conditions of the Creative Commons Attribution (CC BY) license (https://creativecommons.org/licenses/by/4.0/).
Share and Cite
Dębski, A.; Pęska, M.; Terlicka, S.; Dworecka-Wójcik, J.; Gąsior, W.; Gierlotka, W.; Budziak, A.; Polański, M. Calorimetric Studies of the Mg-Pt System. Materials 2025, 18, 3075. https://doi.org/10.3390/ma18133075
Dębski A, Pęska M, Terlicka S, Dworecka-Wójcik J, Gąsior W, Gierlotka W, Budziak A, Polański M. Calorimetric Studies of the Mg-Pt System. Materials. 2025; 18(13):3075. https://doi.org/10.3390/ma18133075
Chicago/Turabian StyleDębski, Adam, Magda Pęska, Sylwia Terlicka, Julita Dworecka-Wójcik, Władysław Gąsior, Wojciech Gierlotka, Andrzej Budziak, and Marek Polański. 2025. "Calorimetric Studies of the Mg-Pt System" Materials 18, no. 13: 3075. https://doi.org/10.3390/ma18133075
APA StyleDębski, A., Pęska, M., Terlicka, S., Dworecka-Wójcik, J., Gąsior, W., Gierlotka, W., Budziak, A., & Polański, M. (2025). Calorimetric Studies of the Mg-Pt System. Materials, 18(13), 3075. https://doi.org/10.3390/ma18133075




