Microscopic Mechanisms and Pavement Performance of Waterborne Epoxy Resin-Modified Emulsified Asphalt
Abstract
1. Introduction
2. Materials and Methods
2.1. Raw Material Properties
2.2. Preparation of WEA Binder
2.3. Test Methods
2.3.1. Chemical Structure
2.3.2. Micromorphology
2.3.3. Surface Free Energy (SFE)
2.3.4. High-Temperature Rheological Properties
2.3.5. Low-Temperature Creep Performance
2.3.6. Mechanical Properties
3. Results
3.1. Modification Mechanism
3.1.1. Chemical Structural Changes
3.1.2. Micromorphology Changes
3.1.3. Evolution Process of the SFE
3.2. High-Temperature Rheological Properties
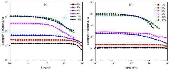
3.2.1. Linear Viscoelasticity
3.2.2. Temperature Dependence
3.2.3. Frequency Dependence
3.2.4. Creep and Recovery
3.3. Low-Temperature Stability
3.4. Mechanical Properties
4. Conclusions and Recommendations
- (1)
- The modification process of the WER on emulsified asphalt involves both the chemical synthesis of epoxy resin and physical modification. The average particle sizes of WER at 3%, 6%, and 9% dosages are 11.7 μm, 25.7 μm, and 28.8 μm, respectively. However, when the dosage reaches 12% or higher, WER forms a continuous network structure within the system.
- (2)
- The incorporation of WER significantly affects the SFE of emulsified asphalt. At modifier contents ranging from 3% to 15%, the SFE of the binder increases by 5.7% to 27.9%, with the polar component rising by 35.5% to 134%, while the non-polar component remains nearly unaffected. This enhancement in SFE improves the interfacial compatibility and adhesion properties of the binder.
- (3)
- Under WER dosages of 0–15%, the linear viscoelastic range of the binder at 35 °C and 50 °C varies between 31.91–0.13% and 65.21–0.2%, respectively. When the modifier content exceeds 6%, the binder exhibits significant improvements in high-temperature rutting resistance and elastic recovery, along with reduced stress sensitivity and frequency dependence.
- (4)
- WER enhances the mechanical strength and aggregate adhesion of the binder system. At modifier contents of 0%, 3%, 6%, 9%, 12%, and 15%, the pull-off strengths of the WEA binders are 1.27 MPa, 1.63 MPa, 1.81 MPa, 2.03 MPa, 2.29 MPa, and 2.62 MPa, respectively. However, WER increases the low-temperature stiffness modulus of WEA binders and reduces the creep rate, thereby adversely affecting the low-temperature flexibility of the system.
Author Contributions
Funding
Institutional Review Board Statement
Informed Consent Statement
Data Availability Statement
Conflicts of Interest
References
- Ma, X.; Diao, W.; Xu, J.; Wang, D.; Hou, Y. Research on the Aging Characteristics of Simulated Asphalt Within Pavement Structures in Natural Environments. Materials 2025, 18, 434. [Google Scholar] [CrossRef] [PubMed]
- Zhang, Q.; Yang, S.; Chen, G. Regional variations of climate change impacts on asphalt pavement rutting distress. Transp. Res. Part D Transp. Environ. 2024, 126, 103968. [Google Scholar] [CrossRef]
- Cong, P.; Liu, C.; Zhang, X. Preparation of thermoplastic polyurethane sealant and its adherence properties under various environments. Compos. Part B Eng. 2025, 293, 112125. [Google Scholar] [CrossRef]
- Ministry of Transport of the People’s Republic of China. Statistical Bulletin on the Development of Transportation Industry in 2023. Available online: https://xxgk.mot.gov.cn/2020/jigou/zhghs/202406/t20240614_4142419.html (accessed on 5 March 2025.).
- Wang, W.; Wang, L. Review on Design, Characterization, and Prediction of Performance for Asphalt Materials and Asphalt Pavement Using Multi-Scale Numerical Simulation. Materials 2024, 17, 778. [Google Scholar] [CrossRef]
- He, J.; Ma, Y.; Zheng, K.; Cheng, Z.; Xie, S.; Xiao, R.; Haung, B. Quantifying the agglomeration effect of reclaimed asphalt pavement on performance of recycled hot mix asphalt. J. Clean. Prod. 2024, 442, 141044. [Google Scholar] [CrossRef]
- Wang, J.; Yang, J.; Wang, W.; Li, B.; He, C.; He, L.; Li, Y. Research on Factors Affecting Asphalt Mixtures’ Resistance to High-Frequency Freeze-Thaw in Plateau Areas. Materials 2025, 18, 640. [Google Scholar] [CrossRef]
- Ji, K.; Tian, Y.; Jiang, J.; Yan, X.; Tian, J.; Yang, J.; He, Z.; Lu, X. The demulsification mechanism of emulsified bitumen in microwave field through molecular dynamics simulation. Fuel 2025, 386, 134247. [Google Scholar] [CrossRef]
- Xiang, H.; Wang, Z.; Deng, M.; Tan, S.; Liang, H. Adhesion Characteristics of an Asphalt Binder–Aggregate Interface Based on Molecular Dynamics. Materials 2025, 18, 981. [Google Scholar] [CrossRef]
- Chen, X.; Chen, Y.; Ma, T.; Gu, L.; Shi, S. Study on the performances of epoxy asphalt binders influenced by the dosage of epoxy resin and its application to steel bridge deck pavement. Constr. Build. Mater. 2024, 432, 136683. [Google Scholar] [CrossRef]
- Zhou, X.; Wang, Z.; Guo, H.; Wang, X.; Chen, W.; Liu, J.; Zhang, H.; Wan, C. Property improvement of epoxy emulsified asphalt modified by waterborne polyurethane in consideration of environmental benefits. Case Stud. Constr. Mater. 2024, 21, e03559. [Google Scholar] [CrossRef]
- Yang, S.; Li, R.; Zhu, H.; Qin, Y.; Huang, C. Review of the state-of-the-art techniques for enhancing the toughness of thermosetting epoxy asphalt. Constr. Build. Mater. 2024, 449, 137660. [Google Scholar] [CrossRef]
- Shi, Z.; Min, Z.; Chen, F.; Huang, W. Adhesion behavior and microscopic mechanism of epoxy asphalt-RAP aggregate interface. Constr. Build. Mater. 2024, 457, 139361. [Google Scholar] [CrossRef]
- Chen, D.; Wu, H.; Chen, X.; Zhan, Y.; Wada, S.A. Fabrication of High-Performance Asphalt Mixture Using Waterborne Epoxy-Acrylate Resin Modified Emulsified Asphalt (WEREA). Polymers 2024, 16, 2743. [Google Scholar] [CrossRef]
- Fan, Z.; Wang, C.; Wang, Z.; Li, Y.; Feng, L.; Tan, S. Fog seal with polymer composite modified emulsified asphalt: Road performance and environmental adaptability. Wear 2025, 562–563, 205672. [Google Scholar] [CrossRef]
- Li, M.; He, Z.; Yu, J.; Yu, L.; Shen, Z.; Kong, L. Rheological Properties and Modification Mechanism of Emulsified Asphalt Modified with Waterborne Epoxy/Polyurethan Composite. Materials 2024, 17, 5361. [Google Scholar] [CrossRef] [PubMed]
- Ahmad, M.; Khedmati, M.; Mensching, D.; Hofko, B.; Haghshenas, H.F. Aging characterization of asphalt binders through multi-aspect analyses: A critical review. Fuel 2024, 376, 132679. [Google Scholar] [CrossRef]
- Xu, L.; Dara, Y.; Magar, S.; Badughaish, A.; Xiao, F. Morphological and rheological investigation of emulsified asphalt/polymer composite based on gray-level co-occurrence matrix. Int. J. Transp. Sci. Technol. 2024, 14, 258–275. [Google Scholar] [CrossRef]
- Kong, L.; Su, S.; Wang, Z.; Wu, P.; Zhang, Y.; Chen, Z.; Ren, D.; Ai, C. Microscale mechanism and key factors of waterborne epoxy resin emulsified asphalt enhancing interlayer bonding performance and shear resistance of bridge deck pavement. Constr. Build. Mater. 2024, 419, 135570. [Google Scholar] [CrossRef]
- He, L.; Hou, Y.; Yang, F. Study of the Properties of Waterborne Epoxy Resin Emulsified Asphalt and Its Modification Mechanism. J. Mater. Civ. Eng. 2023, 35, 04023145. [Google Scholar] [CrossRef]
- Zhang, K.; Min, Z.; Hao, X.; Haung, W.; Shao, K. Experimental investigation of the properties of epoxy asphalt mastic. Constr. Build. Mater. 2024, 435, 136866. [Google Scholar] [CrossRef]
- Zhou, D.; Liang, R.; Kang, Y. A review of chemo-rheological and thermo-rheological investigations on epoxy asphalt cementitious materials. Constr. Build. Mater. 2023, 395, 132309. [Google Scholar] [CrossRef]
- Yang, F.; Zhou, Q.; Yang, L.; He, L.; Chen, Q.; Tang, S. Preparation and performance evaluation of waterborne epoxy resin modified emulsified asphalt binder. Case Stud. Constr. Mater. 2024, 21, e03548. [Google Scholar] [CrossRef]
- Yang, F.; Yang, L.; Zhou, Q.; Chen, Q.; Tang, S.; He, L. Research on pavement performance of waterborne epoxy resin-modified emulsified asphalt binders and pothole repair materials. Mater. Technol. 2025, 59, 55–66. [Google Scholar] [CrossRef]
- Li, P.; Ji, J.; Wang, Z.; Wu, Y.; Suo, Z.; Dong, Y.; Xu, M. Performance evaluation and equivalent conversion of waterborne epoxy resin emulsified asphalt based on different evaporation methods. J. Clean. Prod. 2022, 353, 131461. [Google Scholar] [CrossRef]
- Ji, J.; Shi, Q.; Zhang, R.; Suo, Z.; Wang, J. Viscosity, mechanical properties and phase-separated morphology of waterborne epoxy asphalt. Constr. Build. Mater. 2022, 334, 127074. [Google Scholar] [CrossRef]
- Yan, K.; Jun, J.; Shi, K.; Wang, M.; Li, G.; Zhe, H. Effects of the chemical structure of curing agents on rheological properties and microstructure of WER emulsified asphalt. Constr. Build. Mater. 2022, 347, 128531. [Google Scholar]
- Wang, L.; Zhang, Z.; Liu, W.; Wu, M.; Shi, J.; Yan, K. Effects of Epoxy Resin Value on Waterborne-Epoxy-Resin-Modified Emulsified Asphalt Mixture Performance. Appl. Sci. 2024, 14, 1353. [Google Scholar] [CrossRef]
- He, L.; Li, S.; Li, W.; Gu, Y.; Yang, K.; Dong, L.; Sang, Q. Performance evaluation of waterborne epoxy emulsified asphalt micro-surfacing with microwave-activated waste rubber powder. Constr. Build. Mater. 2024, 413, 134810. [Google Scholar] [CrossRef]
- Gu, Y.; Tang, B.; He, L.; Yang, F.; Wang, H.; Ling, J. Compatibility of cured phase-inversion waterborne epoxy resin emulsified asphalt. Constr. Build. Mater. 2019, 229, 116942. [Google Scholar] [CrossRef]
- Song, W.; Chen, D.; Wu, H.; Wu, Z.; Wada, S.A.; Yuan, H. Preparation and performance characterization of waterborne epoxy resin modified asphalt emulsion for tack coat. J. Clean. Prod. 2024, 475, 143715. [Google Scholar] [CrossRef]
- Wu, H.; Wu, Z.; Song, W.; Chen, D.; Yang, M.; Yuan, H. Investigation on One-Component Waterborne Epoxy Emulsified Asphalt (OWEEA) Used as Bonding Material. Buildings 2024, 14, 503. [Google Scholar] [CrossRef]
- Xu, O.; Li, Y.; Xu, R.; Liu, Y.; Dong, Y. Performance evaluation of waterborne epoxy resin modified emulsified asphalt mixtures for asphalt pavement pothole repair. Constr. Build. Mater. 2022, 325, 126709. [Google Scholar] [CrossRef]
- Fowkes, F.W. Dispersion Force Contributions to Surface and Interfacial Tensions, Contact Angles, and Heats of Immersion. Adv. Chem. Ser. 1964, 43, 99–111. [Google Scholar]
- Good, R.J.; van Oss, C.J. The Modern Theory of Contact Angles and the Hydrogen Bond Components of Surface Energies. In Modern Approaches to Wettability; Springer: Boston, MA, USA, 1992; pp. 1–27. [Google Scholar]
- Owens, D.K.; Wendt, R.C. Estimation of the surface free energy of polymers. J. Appl. Polym. Sci. 1969, 13, 1741–1747. [Google Scholar] [CrossRef]
- ASTM D7175-23; Standard Test Method for Determining the Rheological Properties of Asphalt Binder Using a Dynamic Shear Rheometer. ASTM International: West Conshohocken, PA, USA, 2023.
- ASTM D6373-23; Standard Specification for Performance-Graded Asphalt Binder. ASTM International: West Conshohocken, PA, USA, 2023.
- ASTM D7405-24; Standard Test Method for Multiple Stress Creep and Recovery (MSCR) of Asphalt Binder Using a Dynamic Shear Rheometer. ASTM International: West Conshohocken, PA, USA, 2024.
- Stempihar, J.; Gundla, A.; Underwood, B.S. Interpreting stress sensitivity in the multiple stress creep and recovery test. J. Mater. Civ. Eng. 2018, 30, 04017283. [Google Scholar] [CrossRef]
- Li, Z.; Yang, F.; Yuan, J.; Cong, L.; Yu, M. Study on preparation and pavement performance of polyurethane modified asphalt based on in-situ synthesis method. Constr. Build. Mater. 2021, 309, 125196. [Google Scholar] [CrossRef]
- ASTM D4541-22; Standard Test Method for Pull-Off Strength of Coatings Using Portable Adhesion Testers. ASTM International: West Conshohocken, PA, USA, 2024.
- Lavauxa, V.; Lalevée, J. Epoxy curing in mild and eco-friendly conditions: Towards bisphenol A-free systems. Prog. Polym. Sci. 2024, 157, 101873. [Google Scholar] [CrossRef]
- Zhu, K.; Hu, X.; Huang, Y. The effect of epoxy resin and curing agent groups on mechanical properties investigated by molecular dynamics. Mater. Today Commun. 2024, 41, 110447. [Google Scholar] [CrossRef]
- Yang, F.; Cong, L.; Li, Z.; Yuan, J.; Guo, H.; Tan, L. Study on preparation and performance of a thermosetting polyurethane modified asphalt binder for bridge deck pavements. Constr. Build. Mater. 2022, 326, 126784. [Google Scholar] [CrossRef]
- ASTM D7490-13(2022); Standard Test Method for Measurement of the Surface Tension of Solid Coatings, Substrates and Pigments using Contact Angle Measurements. ASTM International: West Conshohocken, PA, USA, 2022.
- Kwok, D.W.; Neumann, A.W. Contact angle measurement and contact angle Interpretation. Adv. Colloid Interface Sci. 1999, 81, 167–249. [Google Scholar] [CrossRef]
- Yang, F.; Gong, H.; Cong, L.; Shi, J.; Guo, G.; Mei, Z. Investigating on polymerization process and interaction mechanism of thermosetting polyurethane modified asphalt. Constr. Build. Mater. 2022, 335, 127261. [Google Scholar] [CrossRef]
- Zhang, Y.; Deng, X.; Xiao, P.; Qian, P.; Zhang, Y.; Kang, A. Properties and interaction evolution mechanism of CR modified asphalt. Fuel 2024, 371, 131886. [Google Scholar] [CrossRef]
- Wang, T.; Jiang, W.; Ruan, C.; Xiao, J.; Yuan, D.; Wu, W.; Xing, C. The rheological properties of high-viscosity modified reclaimed asphalt binder at multiple application temperatures. Constr. Build. Mater. 2023, 372, 130758. [Google Scholar] [CrossRef]
- ASTM D8239-23; Standard Specification for Performance-Graded Asphalt Binder Using the Multiple Stress Creep and Recovery (MSCR) Test. ASTM International: West Conshohocken, PA, USA, 2023.
- Zhao, L.; Li, W.; Zhang, C.; Yu, X.; Liu, A.; Huang, J. The Study on the Effect of Waterborne Epoxy Resin Content on the Performance of Styrene–Butadiene Rubber Modified Micro-Surface Mixture. Polymers 2025, 17, 1175. [Google Scholar] [CrossRef]














| Ionic Type | Epoxy Value | Viscosity (25 °C, mPa·s) | pH | Solid Content (%) | Average Particle Size (μm) |
|---|---|---|---|---|---|
| Non-ionic | 0.23 | 800 | 8 | 55 | 1.5 |
| Appearance | Active Hydrogen Equivalent | Solid Content (%) | pH | Viscosity (25 °C, mPa·s) | Specific Gravity |
|---|---|---|---|---|---|
| Light yellow uniform fluid | 240 | 50.5 | 9.5 | 600 | 1.04 |
| Demulsification Speed | Angler Viscosity, 25 ℃ | Solid Content (%) | Penetration (25 °C, 0.1 mm) | Ductility (15 °C, cm) | Softening Point (°C) | Storage Stability (%) |
|---|---|---|---|---|---|---|
| Slow setting | 3.7 | 60 | 84 | ≥100 | 46.8 | 0.8 |
| Liquid | SFE (γ, mJ/m2) | Dispersion Component (γLW, mJ/m2) | Polar Component (γAB, mJ/m2) |
|---|---|---|---|
| Formamide | 59.0 | 39.4 | 19.6 |
| Glycerol | 65.2 | 28.3 | 36.9 |
| Distilled water | 72.3 | 18.7 | 53.6 |
| Absorption Peaks/cm−1 | Functional Groups | Vibration Form |
|---|---|---|
| 3395, 3346, 3366 | -OH, -NH | Stretching vibration |
| 2851–2963 | C-H in alkyl groups | Symmetric and antisymmetric stretching vibrations |
| 1739 | -C=O | Stretching vibration |
| 1607, 1508 | -C=C- from benzene ring | Stretching vibration |
| 1456 | C-H | In-plane stretching vibration |
| 1376 | -CH3 | Bending vibration |
| 1034–1298 | C-O bond at different positions | In-plane stretching vibration |
| 721–874 | C-H on benzene ring | Out of plane rocking vibration |
| WER Content (%) | Distilled Water | Glycerol | Formamide | |||
|---|---|---|---|---|---|---|
| Average Value (°) | C.V. (%) | Average Value (°) | C.V. (%) | Average Value (°) | C.V. (%) | |
| 0 | 98.3 | 0.89 | 90.0 | 0.22 | 83.4 | 0.66 |
| 3 | 95.1 | 0.96 | 87.2 | 0.45 | 81.2 | 0.23 |
| 6 | 93.6 | 0.09 | 86.1 | 0.58 | 80.5 | 0.08 |
| 9 | 91.3 | 182 | 84.1 | 0.68 | 76.8 | 0.24 |
| 12 | 88.3 | 0.93 | 82.3 | 0.41 | 74.2 | 1.21 |
| 15 | 86.7 | 1.01 | 80.8 | 0.79 | 73.1 | 0.81 |
| WER Content (%) | γ (mJ/m2) | γLW (mJ/m2) | γAB (mJ/m2) |
|---|---|---|---|
| 0% | 18.09 | 14.74 | 3.35 |
| 3% | 19.13 | 14.59 | 4.54 |
| 6% | 19.40 | 14.06 | 5.34 |
| 9% | 21.3 | 15.68 | 5.62 |
| 12% | 22.41 | 15.44 | 6.97 |
| 15% | 23.13 | 15.29 | 7.84 |
Disclaimer/Publisher’s Note: The statements, opinions and data contained in all publications are solely those of the individual author(s) and contributor(s) and not of MDPI and/or the editor(s). MDPI and/or the editor(s) disclaim responsibility for any injury to people or property resulting from any ideas, methods, instructions or products referred to in the content. |
© 2025 by the authors. Licensee MDPI, Basel, Switzerland. This article is an open access article distributed under the terms and conditions of the Creative Commons Attribution (CC BY) license (https://creativecommons.org/licenses/by/4.0/).
Share and Cite
Yang, F.; Yu, F.; Gong, H.; Yang, L.; Zhou, Q.; He, L.; Wei, W.; Chen, Q. Microscopic Mechanisms and Pavement Performance of Waterborne Epoxy Resin-Modified Emulsified Asphalt. Materials 2025, 18, 2825. https://doi.org/10.3390/ma18122825
Yang F, Yu F, Gong H, Yang L, Zhou Q, He L, Wei W, Chen Q. Microscopic Mechanisms and Pavement Performance of Waterborne Epoxy Resin-Modified Emulsified Asphalt. Materials. 2025; 18(12):2825. https://doi.org/10.3390/ma18122825
Chicago/Turabian StyleYang, Fan, Fang Yu, Hongren Gong, Liming Yang, Qian Zhou, Lihong He, Wanfeng Wei, and Qiang Chen. 2025. "Microscopic Mechanisms and Pavement Performance of Waterborne Epoxy Resin-Modified Emulsified Asphalt" Materials 18, no. 12: 2825. https://doi.org/10.3390/ma18122825
APA StyleYang, F., Yu, F., Gong, H., Yang, L., Zhou, Q., He, L., Wei, W., & Chen, Q. (2025). Microscopic Mechanisms and Pavement Performance of Waterborne Epoxy Resin-Modified Emulsified Asphalt. Materials, 18(12), 2825. https://doi.org/10.3390/ma18122825

