Corona Poling Enabling Gravure Printing of Electroactive Flexible PVDF-TrFE Devices
Abstract
1. Introduction
2. Materials and Methods
3. Results and Discussion
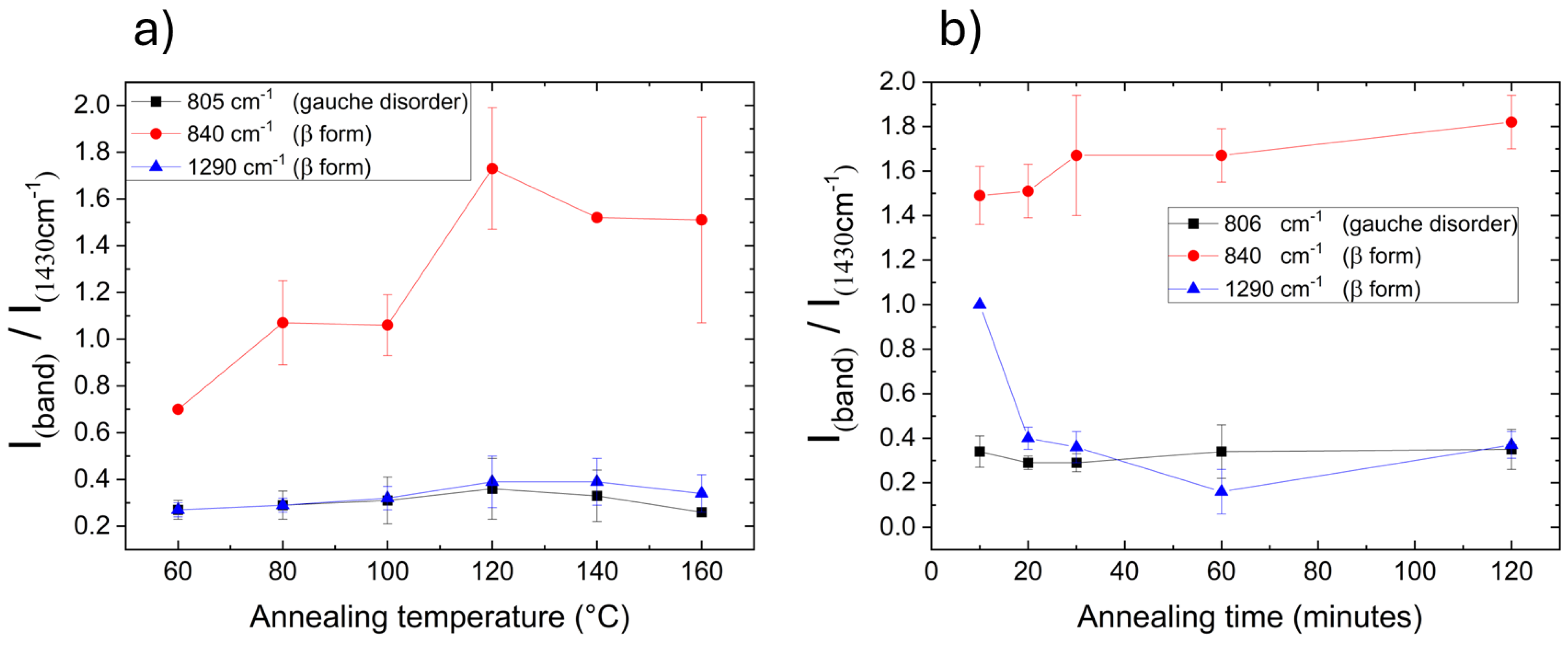
3.1. Gravure-Printed Film Preparation and Characterization
3.2. Corona Poling and Functional Characterization of Gravure-Printed Film
4. Conclusions
Supplementary Materials
Author Contributions
Funding
Institutional Review Board Statement
Informed Consent Statement
Data Availability Statement
Acknowledgments
Conflicts of Interest
References
- Li, H.; Bowen, C.R.; Yang, Y. Scavenging energy sources using ferroelectric materials. Adv. Funct. Mater. 2021, 31, 2100905. [Google Scholar] [CrossRef]
- Mondal, R.; Hasan, M.A.M.; Baik, J.M.; Yang, Y. Advanced pyroelectric materials for energy harvesting and sensing applications. Mater. Today 2023, 66, 273–301. [Google Scholar] [CrossRef]
- Rodrigues-Marinho, T.; Perinka, N.; Costa, P.; Lanceros-Mendez, S. Printable lightweight polymer-based energy harvesting systems: Materials, processes, and applications. Mater. Today Sustain. 2023, 21, 100292. [Google Scholar] [CrossRef]
- Karim, H.; Sarker, M.R.; Shahriar, S.; Shuvo, M.A.I.; Delfin, D.; Hodges, D.; Tseng, T.-L.; Roberson, D.; Love, N.; Lin, Y. Feasibility study of thermal energy harvesting using lead free pyroelectrics. Smart Mater. Struct. 2016, 25, 055022. [Google Scholar] [CrossRef]
- Wan, C.; Bowen, C.R. Multiscale-structuring of polyvinylidene fluoride for energy harvesting: The impact of molecular-, micro- and macro-structure. J. Mater. Chem. A 2017, 5, 3091–3128. [Google Scholar] [CrossRef]
- Khan, A.A.; Mahmud, A.; Ban, D. Evolution from single to hybrid nanogenerator: A contemporary review on multimode energy harvesting for self-powered electronics. IEEE Trans. Nanotechnol. 2019, 18, 21–36. [Google Scholar] [CrossRef]
- Lingam, D.; Parikh, A.R.; Huang, J.; Jain, A.; Minary-Jolandan, M. Nano/microscale pyroelectric energy harvesting: Challenges and opportunities. Int. J. Smart Nano Mater. 2013, 4, 229–245. [Google Scholar] [CrossRef]
- Zabek, D.; Morini, F. Solid state generators and energy harvesters for waste heat recovery and thermal energy harvesting. Therm. Sci. Eng. Prog. 2019, 9, 235–247. [Google Scholar] [CrossRef]
- Thakre, A.; Kumar, A.; Song, H.-C.; Jeong, D.-Y.; Ryu, J. Pyroelectric energy conversion and its applications-flexible energy harvesters and sensors. Sensors 2019, 19, 2170. [Google Scholar] [CrossRef]
- Bowen, C.R.; Taylor, J.; LeBoulbar, E.; Zabek, D.; Chauhan, A.; Vaish, R. Pyroelectric materials and devices for energy harvesting applications. Energy Environ. Sci. 2014, 7, 3836–3856. [Google Scholar] [CrossRef]
- Kim, J.; Lee, J.H.; Ryu, H.; Lee, J.-H.; Khan, U.; Kim, H.; Kwak, S.S.; Kim, S.-W. High-performance piezoelectric, pyroelectric, and triboelectric nanogenerators based on P(VDF-TrFE) with controlled crystallinity and dipole alignment. Adv. Funct. Mater. 2017, 27, 1700702. [Google Scholar] [CrossRef]
- Elahi, H.; Munir, K.; Eugeni, M.; Atek, S.; Gaudenzi, P. Energy harvesting towards self-powered IoT devices. Energies 2020, 13, 5528. [Google Scholar] [CrossRef]
- Mondal, R.; Hasan, M.A.M.; Zhang, R.; Olin, H.; Yang, Y. Nanogenerators-based self-powered sensors. Adv. Mater. Technol. 2022, 7, 2200282. [Google Scholar] [CrossRef]
- Costa, P.; Nunes-Pereira, J.; Pereira, N.; Castro, N.; Goncalves, S.; Lanceros-Mendez, S. Recent progress on piezoelectric, pyroelectric, and magnetoelectric polymer-based energy-harvesting devices. Energy Technol. 2019, 7, 1800852. [Google Scholar] [CrossRef]
- Costa, C.M.; Cardoso, V.F.; Martins, P.; Correia, D.M.; Goncalves, R.; Costa, P.; Correia, V.; Ribeiro, C.; Fernandes, M.M.; Martins, P.M.; et al. Smart and multifunctional materials based on electroactive Poly(vinylidene fluoride): Recent advances and opportunities in sensors, actuators, energy, environmental, and biomedical applications. Chem. Rev. 2023, 123, 11392–11487. [Google Scholar] [CrossRef]
- Wu, C.-M.; Chou, M.-H.; Chala, T.F.; Shimamura, Y.; Murakami, R.-I. Infrared-driven poly(vinylidene difluoride)/tungsten oxide pyroelectric generator for non-contact energy harvesting. Compos. Sci. Technol. 2019, 178, 26–32. [Google Scholar] [CrossRef]
- Ruan, L.; Yao, X.; Chang, Y.; Zhou, L.; Qin, G.; Zhang, X. Properties and applications of the β phase Poly(vinylidene fluoride). Polymers 2018, 10, 228. [Google Scholar] [CrossRef]
- Mahaparta, S.D.; Mohaparta, P.C.; Aria, A.I.; Christie, G.; Kumar Mishra, Y.; Hofmann, S.; Kumar Thakur, V. Piezoelectric materials for energy harvesting and sensing applications: Roadmap for future smart materials. Adv. Sci. 2021, 8, 2100864. [Google Scholar] [CrossRef]
- Abbel, R.; Galagan, Y.; Groen, P. Roll-to-Roll Fabrication of Solution Processed Electronics. Adv. Eng. Mater. 2018, 20, 1701190. [Google Scholar] [CrossRef]
- Wiklund, J.; Karakoç, A.; Palko, T.; Yiğitler, H.; Ruttik, K.; Jäntti, R.; Paltakari, J. A Review on Printed Electronics: Fabrication Methods, Inks, Substrates, Applications and Environmental Impacts. J. Manuf. Mater. Process. 2021, 5, 89. [Google Scholar] [CrossRef]
- Jie, D.; Osarenkhoe, O.; Nasiruddin, M.; Qian, S.; Wenbei, Y.; Yu, L.; Bao-Lian, S.; Tawfique, H.; Xiao, H.; Wei, H. Printed gas sensors. Chem. Soc. Rev. 2020, 49, 1756–1789. [Google Scholar] [CrossRef]
- Hossain, M.S.; Li, T.; Yu, Y.; Yong, J.; Bahk, J.-H.; Skafidas, E. Recent advances in printable thermoelectric devices: Materials, printing techniques, and applications. RSC Adv. 2020, 10, 8421–8434. [Google Scholar] [CrossRef] [PubMed]
- Costa, C.M.; Gonçalves, R.; Lanceros-Méndez, S. Recent advances and future challenges in printed batteries. Energy Storage Mater. 2020, 28, 216–234. [Google Scholar] [CrossRef]
- Khan, S.; Ali, S.; Bermak, A. Recent Developments in Printing Flexible and Wearable Sensing Electronics for Healthcare Applications. Sensors 2019, 19, 1230. [Google Scholar] [CrossRef]
- Ma, L.-Y.; Soin, N. Recent Progress in Printed Physical Sensing Electronics for Wearable Health-Monitoring Devices: A Review. IEEE Sens. J. 2022, 22, 3844–3859. [Google Scholar] [CrossRef]
- Scandurra, G.; Arena, A.; Ciofi, C. A Brief Review on Flexible Electronics for IoT: Solutions for Sustainability and New Perspectives for Designers. Sensors 2023, 23, 5264. [Google Scholar] [CrossRef]
- Islam, M.R.; Afroj, S.; Yin, J.; Novoselov, K.S.; Chen, J.; Karim, N. Advances in Printed Electronic Textiles. Adv. Sci. 2024, 11, 2304140. [Google Scholar] [CrossRef]
- Velarde, G.; Pandya, S.; Karthik, J.; Pesquera, D.; Martin, L.W. Pyroelectric thin films-past, present, and future. APL Mater. 2021, 9, 010702. [Google Scholar] [CrossRef]
- Batet, D.; Vilaseca, F.; Ramon, E.; Esquived, J.P.; Gabriel, G. Experimental overview for green printed electronics: Inks, substrates, and techniques. Flex. Print. Electron. 2023, 8, 024001. [Google Scholar] [CrossRef]
- Stadlober, B.; Zirkl, M.; Irimia-Vladu, M. Route towards sustainable smart sensors: Ferroelectric polyvinylidene fluoride-based materials and their integration in flexible electronics. Chem. Soc. Rev. 2019, 48, 1787–1825. [Google Scholar] [CrossRef]
- Sico, G.; Montanino, M.; Loffredo, F.; Borriello, C.; Miscioscia, R. Gravure Printing for PVDF Thin-Film Pyroelectric Device Manufacture. Coatings 2022, 12, 1020. [Google Scholar] [CrossRef]
- Dietze, M.; Es-Souni, M. Large area thick films of PVDF-TrFE and relaxor-ceramics for piezo- and pyroelectric applications. Macromol. Mater. Eng. 2019, 304, 1900538. [Google Scholar] [CrossRef]
- Santos, L.P.; Bernardes, J.S.; Galembeck, F. Corona-treated polyethylene films are macroscopic charge bilayers. Langmuir 2013, 29, 892–901. [Google Scholar] [CrossRef] [PubMed]
- Yi, J.; Ye, Z.; Zhang, S.; Song, Y.; Cao, Z.; Liu, B.; Li, C.; Liu, S.; Nie, S.; Xiong, C. Corona: An effective polarization strategy of polymer composites with high-k filler for piezoelectric nanogenerators. Appl. Energy 2024, 353, 122005. [Google Scholar] [CrossRef]
- Rotan, M.; Zhuk, M.; Glaum, J. Activation of ferroelectric implant ceramics by corona discharge poling. J. Eur. Ceram. Soc. 2020, 40, 5402–5409. [Google Scholar] [CrossRef]
- Dietze, M.; Es-Souni, M. Dielectric and pyroelectric properties of thick and thin film relaxor-ceramic/PVDF-TrFE composites. Funct. Compos. Struct. 2019, 1, 035005. [Google Scholar] [CrossRef]
- Liu, R.; Liu, Q.; He, D.; Sun, G.; Li, Z.; Zhu, Y. Enhancement of the piezoelectric property of polyvinylidene fluoride through electroactive phase enrichment and the application in piezoelectric generators. ACS Appl. Electron. Mater. 2021, 3, 1804–1812. [Google Scholar] [CrossRef]
- Li, Y.; Feng, W.; Meng, L.; Tse, K.M.; Li, Z.; Huang, L.; Su, Z.; Guo, S. Investigation on in-situ sprayed, annealed and corona poled PVDF-TrFE coatings for guided wave-based structural health monitoring: From crystallization to piezoelectricity. Mater. Des. 2021, 199, 109415. [Google Scholar] [CrossRef]
- Montanino, M.; Sico, G. Gravure Printing for Lithium-Ion Batteries Manufacturing: A Review. Batteries 2023, 9, 535. [Google Scholar] [CrossRef]
- Fakhari, A.; Fernandes, C.; Galindo-Rosales, F.J. Mapping the volume transfer of graphene-based inks with gravure printing process: Influence of rheology and printing parameters. Materials 2022, 15, 2580. [Google Scholar] [CrossRef]
- Aliane, A.; Benwadih, M.; Bouthinon, B.; Coppard, R.; Domingues-Dos Santos, F.; Daami, A. Impact of crystallization on ferro-, piezo- and pyro-electric characteristics in thin film P(VDF-TrFE). Org. Electron. 2015, 25, 92–98. [Google Scholar] [CrossRef]
- Goncalves, S.; Serrado-Nunes, J.; Olivera, J.; Pereira, N.; Hilliou, L.; Costa, C.M.; Lanceros-Mendez, S. Environmentally friendly printable piezoelectric inks and their application in the development of all-printed touch screens. ACS Appl. Electron. Mater. 2019, 1, 1678–1687. [Google Scholar] [CrossRef]
- McGinn, C.K.; Kam, K.A.; Laurila, M.-M.; Lozano Montero, K.; Mantysalo, M.; Lupo, D.; Kymissis, I. Formulation, printing, and poling method for piezoelectric films based on PVDF-TrFE. J. Appl. Phys. 2020, 128, 225304. [Google Scholar] [CrossRef]
- Pilon, L.; McKinley, I.M. Pyroelectric energy conversion. In Annual Reviews of Heat Transfer; Zhang, M., Prasad, V., Jaluria, Y., Eds.; Begell House: Danbury, CT, USA, 2016; Volume 19, pp. 279–334. [Google Scholar] [CrossRef]
- Ryu, H.; Kim, S.-W. Emerging pyroelectric nanogenerators to convert thermal energy into electrical energy. Small 2019, 1903469. [Google Scholar] [CrossRef]
- Tashiro, K.; Kobayashi, M. Vibrational spectroscopic study of the ferroelectric phase transition in vinylidene fluoride-trifluoroethylene copolymers: 1. Temperature dependence of the Raman spectra. Polymer 1988, 29, 426–436. [Google Scholar] [CrossRef]
- Arrigoni, A.; Brambilla, L.; Bertarelli, C.; Serra, G.; Tommasini, M.; Castiglioni, C. P(VDF-TrFE) nanofibers: Structure of the ferroelectric and paraelectric phases through IR and Raman spectroscopies. RSC Adv. 2020, 10, 37779–37796. [Google Scholar] [CrossRef]
- Tashiro, K.; Itoh, Y.; Kobayashi, M.; Tadokoro, H. Polarized Raman spectra and LO-TO splitting of poly(vinylidene fluoride) crystal form I. Macromolecules 1985, 18, 2600–2606. [Google Scholar] [CrossRef]
- Lauchlan, L.; Rabolt, J.F. Polarized Raman measurements of structural anisotropy in uniaxially oriented poly(vinylidene fluoride) (form I). Macromolecules 1986, 19, 1049–1054. [Google Scholar] [CrossRef]
- Tashiro, K.; Takano, K.; Kobayashi, M.; Chatani, Y.; Tadokoro, H. Structural study on ferroelectric phase transition of vinylidene fluoride-trifluoroethylene random copolymers. Polymer 1981, 22, 1312–1314. [Google Scholar] [CrossRef]
- Sico, G.; Montanino, M.; Prontera, C.T.; De Girolamo Del Mauro, A.; Minarini, C. Gravure printing for thin film ceramics manufacturing from nanoparticles. Ceram. Int. 2018, 44, 19526–19534. [Google Scholar] [CrossRef]
- Sico, G.; Montanino, M.; De Girolamo Del Mauro, A.; Imparato, A.; Nobile, G.; Minarini, C. Effects of the ink concentration on multi-layer gravure-printed PEDOT:PSS. Org. Electron. 2016, 28, 257–262. [Google Scholar] [CrossRef]
- Mahdi, R.I.; Gan, W.C.; Majid, W.H.A. Hot plate annealing at a low temperature of a thin ferroelectric P(VDF-TrFE) film with an improved crystalline structure for sensors and actuators. Sensors 2014, 14, 19115–19127. [Google Scholar] [CrossRef] [PubMed]
- Moon, Y.; Kim, Y.-J.; Yang, D.; Han, N.; Lee, M.; Kim, D.-Y. Corona poling induced phase transition to highly polar phase in P(VDF-TrFE-CFE) dielectric and charge transport of organic field-effect transistors. ACS Appl. Mater. Interfaces 2023, 15, 29568–29576. [Google Scholar] [CrossRef] [PubMed]
- Yang, H.; Seo, J.; Han, S.H.; Kang, H.-W.; Choi, Y.; Yu, J.; Seo, I. Mass production of multi-layer piezoelectric composite and their energy harvesting properties. Ceram. Int. 2022, 48, 26129–26136. [Google Scholar] [CrossRef]
- Alique, M.; Moya, A.; Kreuzer, M.; Lacharmoise, P.; Murillo, G.; Delgado Simao, C. Controlled poling of a fully printed piezoelectric PVDF-TrFE device as a multifunctional platform with inkjet-printed silver electrodes. J. Mater. Chem. C 2022, 10, 11555–11564. [Google Scholar] [CrossRef]
- Hu, X.; You, M.; Yi, N.; Zhang, X.; Xiang, Y. Enhanced piezoelectric coefficient of PVDF-TrFE films via in situ polarization. Front. Energy Res. 2021, 9, 621540. [Google Scholar] [CrossRef]
- Dietze, M.; Es-Souni, M. Structural and functional properties of screen-printed PZT-PVDF-TrFE composites. Sens. Actuators A 2008, 143, 329–334. [Google Scholar] [CrossRef]
- Tansel, T. Effect of electric field assisted crystallisation of PVDF-TrFE and their functional properties. Sens. Actuators A 2021, 332, 113059. [Google Scholar] [CrossRef]
- Lin, J.; Malakooti, M.H.; Sodano, H.A. Thermally stable poly(vinylidene fluoride) for high-performance printable piezoelectric devices. ACS Appl. Mater. Interfaces 2020, 12, 21871–21882. [Google Scholar] [CrossRef]
- Mohammadpourfazeli, S.; Arash, S.; Ansari, A.; Yang, S.; Mallick, K.; Bagherzadeh, R. Future prospects and recent developments of polyvinylidene fluoride (PVDF) piezoelectric polymer; fabrication methods, structure, and electro-mechanical properties. RSC Adv. 2023, 13, 370–387. [Google Scholar] [CrossRef]








| Poling Voltage (kV) | d33 (pC N−1) |
|---|---|
| 0 | 1.9 ± 0.1 |
| 7.5 | 2.1 ± 0.2 |
| 7.8 | 3.6 ± 1.3 |
| 8.0 | 6.0 ± 2.3 |
| 8.3 | 7.0 ± 1.5 |
| 8.6 | 12.0 ± 1.7 |
| 8.8 | 14.5 ± 1.6 |
| 9.0 | 18.4 ± 1.5 |
| Poling Voltage (kV) | Nominal Rate dT/dt (K s−1) | ip (nA) | p (µC m−2 K−1) |
|---|---|---|---|
| 0 | 0.8 | −0.9 × 10−2 | −0.11 ± 0.01 |
| 1.7 | −1.8 × 10−2 | ||
| 2.1 | −2.2 × 10−2 | ||
| 2.5 | −2.4 × 10−2 | ||
| 7.5 | 0.8 | −1.8 × 10−2 | −0.19 ± 0.04 |
| 1.7 | −3.2 × 10−2 | ||
| 2.1 | −3.9 × 10−2 | ||
| 2.5 | −4.6 × 10−2 | ||
| 7.8 | 0.8 | −1.6 × 10−1 | −1.90 ± 0.01 |
| 1.7 | −3.2 × 10−1 | ||
| 2.1 | −4.0 × 10−1 | ||
| 2.5 | −4.7 × 10−1 | ||
| 8.0 | 0.8 | −4.2 × 10−1 | −4.73 ± 0.04 |
| 1.7 | −7.9 × 10−1 | ||
| 2.1 | −9.8 × 10−1 | ||
| 2.5 | −1.8 | ||
| 8.3 | 0.8 | −5.8 × 10−1 | −5.40 ± 0.21 |
| 1.7 | −9.0 × 10−1 | ||
| 2.1 | −1.1 | ||
| 2.5 | −1.3 | ||
| 8.6 | 0.8 | −9.5 × 10−1 | −10.44 ± 0.14 |
| 1.7 | −1.8 | ||
| 2.1 | −2.2 | ||
| 2.5 | −2.6 | ||
| 8.8 | 0.8 | −1.3 | −15.03 ± 0.12 |
| 1.7 | −2.5 | ||
| 2.1 | −3.1 | ||
| 2.5 | −3.7 | ||
| 9.0 | 0.8 | −1.5 | −16.24 ± 0.34 |
| 1.7 | −2.8 | ||
| 2.1 | −3.4 | ||
| 2.5 | −3.9 |
| Poling Time (min) | Nominal Rate dT/dt (K s−1) | ip (nA) | p (µC m−2 K−1) | d33 (pC N−1) |
|---|---|---|---|---|
| 0.5 | 0.8 | −1.4 | −16.4 ± 0.3 | 18.2 ± 1.1 |
| 1.7 | −2.7 | |||
| 2.1 | −3.4 | |||
| 2.5 | −4.1 | |||
| 1 | 0.8 | −1.5 | −16.2 ± 0.3 | 18.4 ± 1.5 |
| 1.7 | −2.8 | |||
| 2.1 | −3.4 | |||
| 2.5 | −3.9 | |||
| 2 | 0.8 | −1.9 | −20.7 ± 0.4 | 19.0 ± 1.0 |
| 1.7 | −3.5 | |||
| 2.1 | −4.3 | |||
| 2.5 | −5.1 |
Disclaimer/Publisher’s Note: The statements, opinions and data contained in all publications are solely those of the individual author(s) and contributor(s) and not of MDPI and/or the editor(s). MDPI and/or the editor(s) disclaim responsibility for any injury to people or property resulting from any ideas, methods, instructions or products referred to in the content. |
© 2024 by the authors. Licensee MDPI, Basel, Switzerland. This article is an open access article distributed under the terms and conditions of the Creative Commons Attribution (CC BY) license (https://creativecommons.org/licenses/by/4.0/).
Share and Cite
Sico, G.; Montanino, M.; Loffredo, F.; Borriello, C.; Miscioscia, R. Corona Poling Enabling Gravure Printing of Electroactive Flexible PVDF-TrFE Devices. Materials 2025, 18, 22. https://doi.org/10.3390/ma18010022
Sico G, Montanino M, Loffredo F, Borriello C, Miscioscia R. Corona Poling Enabling Gravure Printing of Electroactive Flexible PVDF-TrFE Devices. Materials. 2025; 18(1):22. https://doi.org/10.3390/ma18010022
Chicago/Turabian StyleSico, Giuliano, Maria Montanino, Fausta Loffredo, Carmela Borriello, and Riccardo Miscioscia. 2025. "Corona Poling Enabling Gravure Printing of Electroactive Flexible PVDF-TrFE Devices" Materials 18, no. 1: 22. https://doi.org/10.3390/ma18010022
APA StyleSico, G., Montanino, M., Loffredo, F., Borriello, C., & Miscioscia, R. (2025). Corona Poling Enabling Gravure Printing of Electroactive Flexible PVDF-TrFE Devices. Materials, 18(1), 22. https://doi.org/10.3390/ma18010022

