A Review of Dynamic Mechanical Behavior and the Constitutive Models of Aluminum Matrix Composites
Abstract
1. Introduction
2. Dynamic Mechanical Behavior of Aluminum Matrix Composites
2.1. Strengthening Mechanisms
2.1.1. Strain Hardening
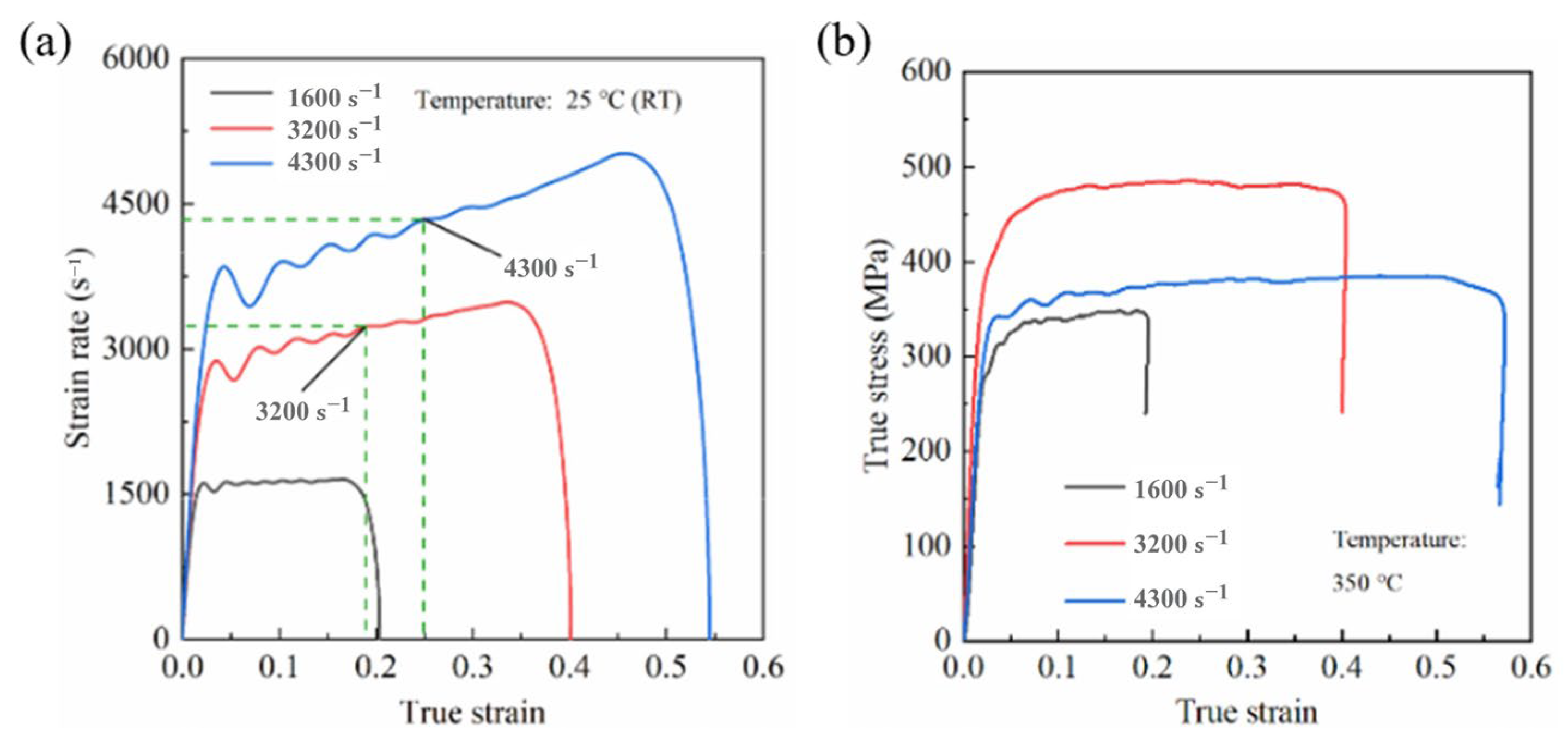
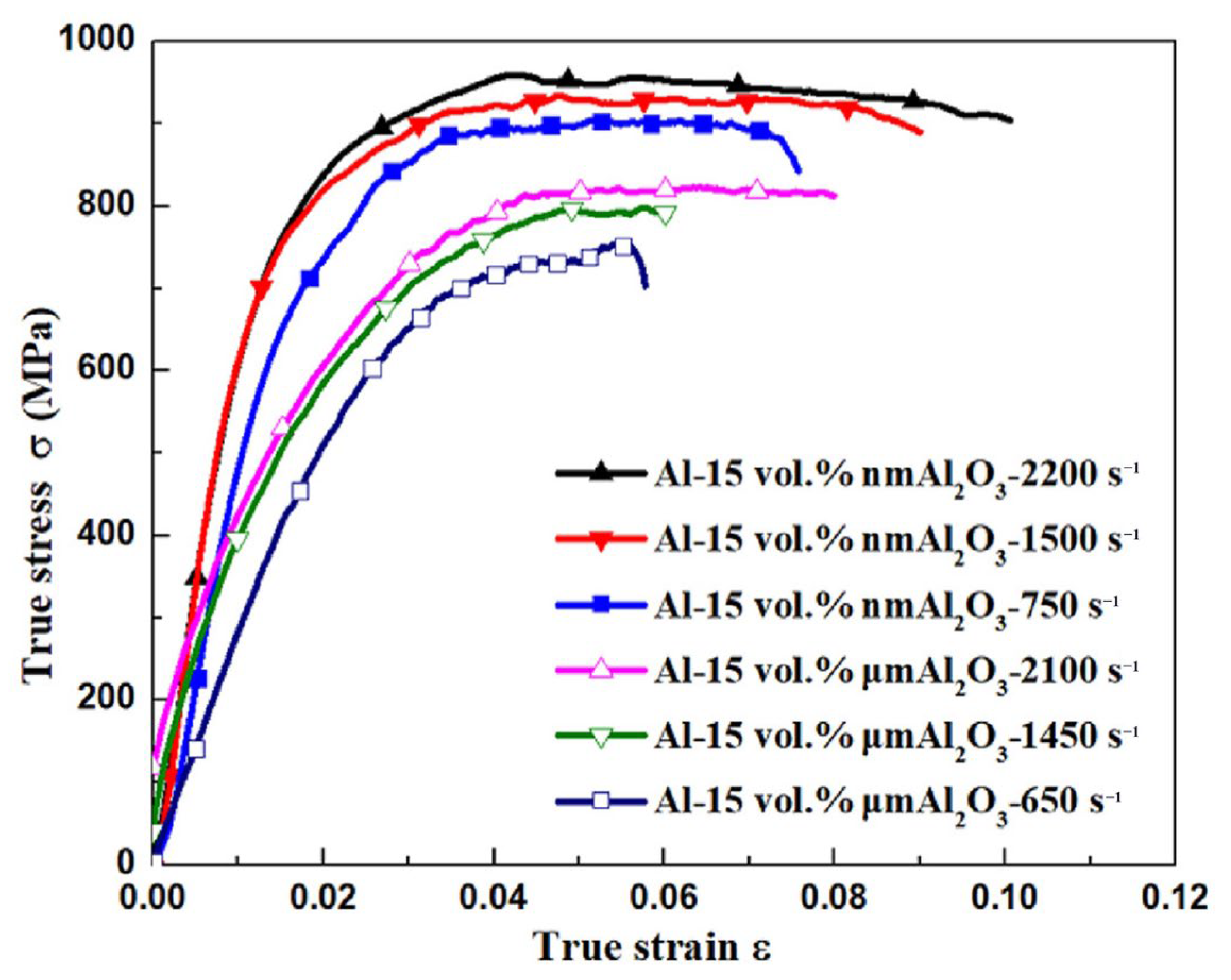
2.1.2. Strain Rate Hardening and Strain Rate Sensitivity
2.2. Softening Mechanisms
2.2.1. Cracking of Reinforcement Particles
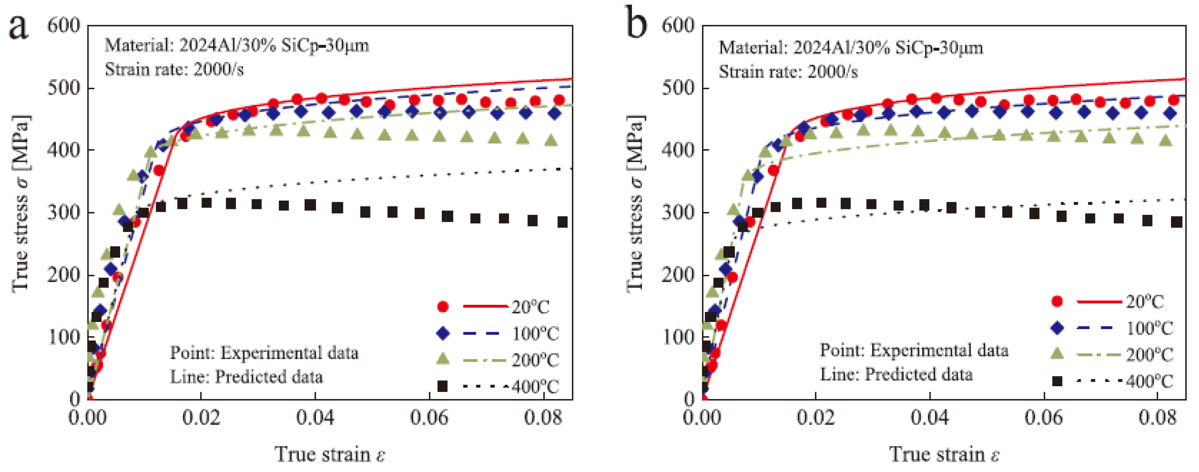
2.2.2. Matrix Softening
- dynamic recovery and recrystallization
- 2.
- adiabatic shear band
3. Dynamic Constitutive Model of Aluminum Matrix Composites
3.1. Phenomenological Constitutive Model
3.2. Physical Constitutive Model
3.3. Artificial Neural Network Constitutive Model
4. Conclusions
- The deformation process of the composites under dynamic loading is caused by the coupling of multiple mechanisms. Due to the interaction between the matrix, reinforcement and IMCs, the mechanical behavior of the AMMCs during dynamic loading has significant differences compared with quasi-static;
- In the early stage of the dynamic deformation of AMMCs, the material is mainly affected by the strengthening mechanisms, showing strain hardening and strain rate hardening. As strain and strain rate further increase, the reduction in flow stress due to particle damage and matrix softening in AMMCs leads to adiabatic shear instability, resulting in strain softening;
- The dynamic constitutive models currently used to describe the deformation behavior of AMMCs can be divided into three aspects: phenomenological constitutive models, physical constitutive models, and artificial neural network constitutive models: the traditional phenomenological constitutive models have been widely used because of their simple form, but they lack sufficient understanding of the physical mechanism, so they cannot accurately describe the relationship between material plastic deformation and microstructure evolution; the physical constitutive models take into account the heat transfer of the AMMCs during the deformation process, but its construction process requires the solution of complex material microscopic and thermodynamic performance parameters, which limits its application range; the constitutive models based on artificial neural networks that have emerged in recent years has better prediction accuracy and flexibility, but there are few studies on the application of numerical simulation of plastic forming, and it will take some time to establish a universal dynamic mechanical model that can accurately describe various types of aluminum matrix composites;
- Current research is mostly focused on AMMCs with medium/low-volume fractions, and there is less research on the dynamic deformation behavior of Al matrix composites with high-volume fraction (>50 vol%). Further research is needed to establish the destruction criteria and constitutive equations of the material. In the future, research on the dynamic mechanical behavior of high-volume fraction AMMCs should be strengthened, and consideration should be given to establishing a general constitutive model that can accurately describe the dynamic performance of AMMCs in a wide volume fraction, wide temperature, and wide strain rate range.
Author Contributions
Funding
Institutional Review Board Statement
Informed Consent Statement
Data Availability Statement
Conflicts of Interest
References
- Samal, P.; Vundavilli, P.R.; Meher, A.; Mahapatra, M.M. Recent progress in aluminum metal matrix composites: A review on processing, mechanical and wear properties. J. Manuf. Process. 2020, 59, 131–152. [Google Scholar] [CrossRef]
- Sadhu, K.K.; Mandal, N.; Sahoo, R.R. SiC/graphene reinforced aluminum metal matrix composites prepared by powder metallurgy: A review. J. Manuf. Process. 2023, 91, 10–43. [Google Scholar] [CrossRef]
- Bhoi, N.K.; Singh, H.; Pratap, S. Developments in the aluminum metal matrix composites reinforced by micro/nano particles—A review. J. Compos. Mater. 2020, 54, 813–833. [Google Scholar] [CrossRef]
- Singh, B.; Kumar, I.; Saxena, K.K.; Mohammed, K.A.; Khan, M.I.; Ben Moussa, S.; Abdullaev, S.S. A future prospects and current scenario of aluminium metal matrix composites characteristics. Alex. Eng. J. 2023, 76, 1–17. [Google Scholar] [CrossRef]
- Dursun, T.; Soutis, C. Recent developments in advanced aircraft aluminium alloys. Mater. Des. 2014, 56, 862–871. [Google Scholar] [CrossRef]
- Yue, X.Y.; Wang, J.J.; Yu, S.Y.; Wang, W.; Ru, H.Q. Microstructure and mechanical properties of a three-layer B4C/Al-B4C/TiB2-B4C composite. Mater. Des. 2013, 46, 285–290. [Google Scholar] [CrossRef]
- Rahaman, M.N. Ceramic Processing and Sintering; CRC Press: Boca Raton, FL, USA, 2017. [Google Scholar]
- Shirvanimoghaddam, K.; Hamim, S.U.; Akbari, M.K.; Fakhrhoseini, S.M.; Khayyam, H.; Pakseresht, A.H.; Ghasali, E.; Zabet, M.; Munir, K.S.; Jia, S.A.; et al. Carbon fiber reinforced metal matrix composites: Fabrication processes and properties. Compos. Part A-Appl. Sci. Manuf. 2017, 92, 70–96. [Google Scholar] [CrossRef]
- Yang, Z.; Fan, J.; Liu, Y.; Nie, J.; Yang, Z.; Kang, Y. Effect of the particle size and matrix strength on strengthening and damage process of the particle reinforced metal matrix composites. Materials 2021, 14, 675. [Google Scholar] [CrossRef]
- Bharathi, P.; Kumar, T.S. Mechanical Characteristics and Wear Behaviour of Al/SiC and Al/SiC/B4C Hybrid Metal Matrix Composites Fabricated Through Powder Metallurgy Route. Silicon 2023, 15, 4259–4275. [Google Scholar] [CrossRef]
- Tang, S.Y.; Ummethala, R.; Suryanarayana, C.; Eckert, J.; Prashanth, K.G.; Wang, Z. Additive Manufacturing of Aluminum-Based Metal Matrix Composites-A Review. Adv. Eng. Mater. 2021, 23, 2100053. [Google Scholar] [CrossRef]
- Barrett, T. The Future of Metal is in Matrix Composites. Mach. Des. 2017, 89, 39–43. [Google Scholar]
- Wang, M.; Shen, J.; Chen, B.; Wang, Y.; Umeda, J.; Kondoh, K.; Li, Y. Compressive behavior of CNT-reinforced aluminum matrix composites under various strain rates and temperatures. Ceram. Int. 2022, 48, 10299–10310. [Google Scholar] [CrossRef]
- Fan, H.D.; Wang, Q.Y.; El-Awady, J.A.; Raabe, D.; Zaiser, M. Strain rate dependency of dislocation plasticity. Nat. Commun. 2021, 12, 1845. [Google Scholar] [CrossRef] [PubMed]
- Yuan, K.; Yao, X.; Wang, R.; Mo, Y. A review on rate-temperature coupling response and dynamic constitutive relation of metallic materials. Baozha Yu Chongji/Explos. Shock Waves 2022, 42, 4–37. [Google Scholar] [CrossRef]
- Prusty, B.G.; Banerjee, A. Structure–property correlation and constitutive description of structural steels during hot working and strain rate deformation. Materials 2020, 13, 556. [Google Scholar] [CrossRef] [PubMed]
- Wu, H.; Shen, A.; Ren, G.; Ma, Q.; Wang, Z.; Cheng, Q.; Li, Y. Dynamic mechanical properties of fiber-reinforced concrete: A review. Constr. Build. Mater. 2023, 366, 130145. [Google Scholar] [CrossRef]
- Al-Mousawi, M.; Reid, S.; Deans, W. The use of the split Hopkinson pressure bar techniques in high strain rate materials testing. Proc. Inst. Mech. Eng. Part C J. Mech. Eng. Sci. 1997, 211, 273–292. [Google Scholar] [CrossRef]
- Hopkinson, J. On the rupture of iron wire by a blow. Proc. Lit. Philos. Soc. Manch. 1872, 1, 40–45. [Google Scholar]
- Guiying, S.; Yongbo, X.; Tao, Y. Dynamic stress-strain behavior of AZ91 magnesium alloy and its dependence on strain rate. Trans. Mater. Heat Treat. 2006, 27, 77–81. [Google Scholar]
- Wang, Y.; Liu, Q.; Zhang, B.A.; Zhang, H.Q.; Jin, Y.C.; Zhong, Z.X.; Ye, J.; Ren, Y.H.; Ye, F.; Wang, W. Dynamic compressive response and impact resistance of bioinspired nacre-like 2024Al/B4C composites. Mater. Sci. Eng. A Struct. Mater. Prop. Microstruct. Process. 2022, 831, 142261. [Google Scholar] [CrossRef]
- Jankowiak, T.; Rusinek, A.; Voyiadjis, G.Z. Modeling and Design of SHPB to Characterize Brittle Materials under Compression for High Strain Rates. Materials 2020, 13, 2191. [Google Scholar] [CrossRef] [PubMed]
- Taylor, G.I. The use of flat-ended projectiles for determining dynamic yield stress I. Theoretical considerations. Proc. R. Soc. London Ser. A Math. Phys. Sci. 1948, 194, 289–299. [Google Scholar]
- Rossoll, A.; Berdin, C.; Forget, P.; Prioul, C.; Marini, B. Mechanical aspects of the Charpy impact test. Nucl. Eng. Des. 1999, 188, 217–229. [Google Scholar] [CrossRef]
- Lazarus, B.S.; Velasco-Hogan, A.; Gómez-del Río, T.; Meyers, M.A.; Jasiuk, I. A review of impact resistant biological and bioinspired materials and structures. J. Mater. Res. Technol.-JmrT 2020, 9, 15705–15738. [Google Scholar] [CrossRef]
- Sun, J.; Wang, H.; Peng, H. Dynamic mechanical properties of metal matrix composites: A mini review. J. Mater. Sci. Eng. 2019, 37, 664–671. [Google Scholar]
- Perng, C.-C.; Hwang, J.-R.; Doong, J.-L. High strain rate tensile properties of an (Al2O3 particles)-(Al alloy 6061-T6) metal matrix composite. Mater. Sci. Eng. A 1993, 171, 213–221. [Google Scholar] [CrossRef]
- Salvado, F.C.; Teixeira-Dias, F.; Walley, S.M.; Lea, L.J.; Cardoso, J.B. A review on the strain rate dependency of the dynamic viscoplastic response of FCC metals. Prog. Mater. Sci. 2017, 88, 186–231. [Google Scholar] [CrossRef]
- Remington, B.A.; Allen, P.; Bringa, E.M.; Hawreliak, J.; Ho, D.; Lorenz, K.T.; Lorenzana, H.; Mcnaney, J.M.; Meyers, M.A.; Pollaine, S.W. Material dynamics under extreme conditions of pressure and strain rate. Mater. Sci. Technol. 2006, 22, 474–488. [Google Scholar] [CrossRef]
- Voyiadjis, G.Z.; Abed, F.H. A coupled temperature and strain rate dependent yield function for dynamic deformations of bcc metals. Int. J. Plast. 2006, 22, 1398–1431. [Google Scholar] [CrossRef]
- Yao, P.; Shijiayi, Y.; Liwen, W.; Bingzheng, G. Dynamic compressive properties of 40vol% SiCP/2024Al composites. Acta Mater. Compos. Sin. 2010, 27, 62–67. [Google Scholar]
- Chao, Z.L.; Sun, T.T.; Jiang, L.T.; Zhou, Z.S.; Chen, G.Q.; Z, Q.; Wu, G.H. Ballistic behavior and microstructure evolution of B4C/AA2024 composites. Ceram. Int. 2019, 45, 20539–20544. [Google Scholar] [CrossRef]
- Zhou, G.X.; Lang, Y.J.; Du, X.Z.; Mao, H.; Cai, H. Dynamic mechanical response and weldability of high strength 7A62 aluminum alloy. J. Phys. Conf. Ser. 2020, 1507, 032028. [Google Scholar] [CrossRef]
- Behm, N.; Yang, H.R.; Shen, J.H.; Ma, K.; Kecskes, L.J.; Lavernia, E.J.; Schoenung, J.M.; Wei, Q.M. Quasi-static and high-rate mechanical behavior of aluminum-based MMC reinforced with boron carbide of various length scales. Mater. Sci. Eng. A Struct. Mater. Prop. Microstruct. Process. 2016, 650, 305–316. [Google Scholar] [CrossRef]
- Lee, H.; Choi, J.H.; Jo, M.C.; Lee, D.; Shin, S.; Jo, I.; Lee, S.K.; Lee, S. Effects of SiC particulate size on dynamic compressive properties in 7075-T6 Al-SiCp composites. Mater. Sci. Eng. A Struct. Mater. Prop. Microstruct. Process. 2018, 738, 412–419. [Google Scholar] [CrossRef]
- Rezayat, M.; Parsa, M.H.; Mirzadeh, H.; Cabrera, J.M. Dynamic deformation response of Al-Mg and Al-Mg/B4C composite at elevated temperatures. Mater. Sci. Eng. A Struct. Mater. Prop. Microstruct. Process. 2018, 712, 645–654. [Google Scholar] [CrossRef]
- Ye, T.; Xu, Y.; Ren, J. Effects of SiC particle size on mechanical properties of SiC particle reinforced aluminum metal matrix composite. Mater. Sci. Eng. A 2019, 753, 146–155. [Google Scholar] [CrossRef]
- Chen, H.; Wang, W.; Nie, H.; Zhou, J.; Li, Y.; Zhang, P. The dynamic properties of B4C/6061Al neutron absorber composites fabricated by power metallurgy. Mater. Sci. Technol. 2018, 34, 504–512. [Google Scholar] [CrossRef]
- Wang, M.; Li, Y.; Chen, B.; Shi, D.; Umeda, J.; Kondoh, K.; Shen, J. The rate-dependent mechanical behavior of CNT-reinforced aluminum matrix composites under tensile loading. Mater. Sci. Eng. A Struct. Mater. Prop. Microstruct. Process. 2021, 808, 140893. [Google Scholar] [CrossRef]
- Lihe, Q. Dynamic tensile deformation of SiCp/6061Al composite part 1 strain hardening characteristic. Chin. J. Mater. Res. 2002, 16, 285–288. [Google Scholar]
- Li, Y.; Ramesh, K.T. Influence of particle volume fraction, shape, and aspect ratio on the behavior of particle-reinforced metal-matrix composites at high rates of strain. Acta Mater. 1998, 46, 5633–5646. [Google Scholar] [CrossRef]
- Bao, G.; Lin, Z. High strain rate deformation in particle reinforced metal matrix composites. Acta Mater. 1996, 44, 1011–1019. [Google Scholar] [CrossRef]
- Wang, Y.; Liu, Q.; Zhang, B.A.; Zhang, H.Q.; Zhong, Z.X.; Ye, J.; Ren, Y.H.; Shen, L.Y.; Ye, F.; Wang, W. Mechanical response and damage evolution of bio-inspired B4C-reinforced 2024Al composites subjected to quasi-static and dynamic loadings. Mater. Sci. Eng. A Struct. Mater. Prop. Microstruct. Process. 2022, 840, 142991. [Google Scholar] [CrossRef]
- Wang, Y.; Liu, Q.; Zhang, B.; Zhang, H.Q.; Jin, Y.C.; Zhong, Z.X.; Ye, J.; Ren, Y.H.; Ye, F.; Wang, W. Dynamic mechanical response and damage mechanisms of nacre-inspired 2024Al/B4C composite at elevated temperature. Mater. Sci. Eng. A Struct. Mater. Prop. Microstruct. Process. 2022, 831, 142263. [Google Scholar] [CrossRef]
- Lee, H.; Choi, J.H.; Jo, M.C.; Jo, I.; Lee, S.K.; Lee, S. Effects of Strain Rate on Compressive Properties in Bimodal 7075 Al–SiCp Composite. Met. Mater. Int. 2018, 24, 894–903. [Google Scholar] [CrossRef]
- Suo, Y.; Suo, Y.; Li, J.; Li, J.; Deng, Z.; Deng, Z.; Wang, B.; Wang, B.; Wang, Q.; Wang, Q. High-Temperature Compressive Response of SiCp/6092Al Composites under a Wide Range of Strain Rates. Materials 2021, 14, 6244. [Google Scholar] [CrossRef]
- Guden, M.; Hall, I.W. Dynamic properties of metal matrix composites: A comparative study. Mater. Sci. Eng. A Struct. Mater. Prop. Microstruct. Process. 1998, 242, 141–152. [Google Scholar] [CrossRef]
- Mazahery, A.; Shabani, M.O. Existence of Good Bonding between Coated B4C Reinforcement and Al Matrix via Semisolid Techniques: Enhancement of Wear Resistance and Mechanical Properties. Tribol. Trans. 2013, 56, 342–348. [Google Scholar] [CrossRef]
- Kumar, S.; Malik, N.; Cinelli, P.; Sharma, V. High Strain Rate Behavior of Stir Cast Hybrid Al-Si Matrix Composites Using Split Hopkinson Pressure Bar. Silicon 2024, 16, 231–240. [Google Scholar] [CrossRef]
- Xie, W.F.; Wang, X. Research on dynamic mechanical properties of SiCp/2024Al composites prepared by hot-pressing sintering. Powder Metall. Ind. 2021, 31, 47–51. [Google Scholar]
- Yangwei, W.; Weiguan, Z.; Qiandong, T.; Yiming, W.; Fuchi, W. Mechanical properties of B4Cp/2024Al composites prepared by squeeze casting. Spec. Cast. Nonferrous Alloys 2008, 1, 428–431. [Google Scholar]
- Liu, J.; Huang, X.; Zhao, K.; Zhu, Z.; Zhu, X.; An, L. Effect of reinforcement particle size on quasistatic and dynamic mechanical properties of Al-Al2O3 composites. J. Alloys Compd. 2019, 797, 1367–1371. [Google Scholar] [CrossRef]
- Huang, Z.Y.; Zhang, X.X.; Xiao, B.L.; Ma, Z.Y. Hot deformation mechanisms and microstructure evolution of SiCp/2014Al composite. J. Alloys Compd. 2017, 722, 145–157. [Google Scholar] [CrossRef]
- Chen, Z.; Yang, Y. Experimental study on axial compressive short concrete column cooperatively constrained by PVC tube and spiral stirrup. Build. Struct. 2019, 49, 43–48. [Google Scholar] [CrossRef]
- Alizadeh, M.; Paydar, M.H. High-strength nanostructured Al/B4C composite processed by cross-roll accumulative roll bonding. Mater. Sci. Eng. A Struct. Mater. Prop. Microstruct. Process. 2012, 538, 14–19. [Google Scholar] [CrossRef]
- Chao, Z.L. Design Preparation and Ballistic Mechanism of Layered Gradient B4Cp/Al Composites. Ph.D. Thesis, Harbin Institute of Technology, Harbin, China, December 2020. [Google Scholar]
- Christman, T.; Needleman, A.; Nutt, S.; Suresh, S. On microstructural evolution and micromechanical modeling of deformation of a whisker-reinforced metal matrix composite. Mater. Sci. Eng. A Struct. Mater. Prop. Microstruct. Process. 1989, 107, 49–61. [Google Scholar] [CrossRef]
- Lewandowski, J.J.; Liu, C.; Hunt, W.H. Effects of matrix microstructure and particle distribution on fracture of an aluminum metal matrix composite. Mater. Sci. Eng. A Struct. Mater. Prop. Microstruct. Process. 1989, 107, 241–255. [Google Scholar] [CrossRef]
- Sun, W.; Duan, C.Z.; Yin, W.D. Development of a dynamic constitutive model with particle damage and thermal softening for Al/SiCp composites. Compos. Struct. 2020, 236, 111856. [Google Scholar] [CrossRef]
- Lee, H.; Sohn, S.S.; Jeon, C.; Jo, I.; Lee, S.K.; Lee, S. Dynamic compressive deformation behavior of SiC-particulate-reinforced A356 Al alloy matrix composites fabricated by liquid pressing process. Mater. Ence Eng. A 2017, 680, 368–377. [Google Scholar] [CrossRef]
- Chen, S.; Teng, J.; Luo, H.; Wang, Y.; Zhang, H. Hot deformation characteristics and mechanism of PM 8009Al/SiC particle reinforced composites. Mater. Sci. Eng. A 2017, 697, 194–202. [Google Scholar] [CrossRef]
- Xu, G.Y.; Yu, Y.S.; Zhang, Y.; Li, T.J.; Wang, T.M. Effect of B4C particle size on the mechanical properties of B4C reinforced aluminum matrix layered composite. Sci. Eng. Compos. Mater. 2019, 26, 53–61. [Google Scholar] [CrossRef]
- Jo, M.C.; Choi, J.H.; Yoo, J.; Lee, D.; Lee, S. Novel dynamic compressive and ballistic properties in 7075-T6 Al-matrix hybrid composite reinforced with SiC and B4C particulates. Compos. Part B Eng. 2019, 174, 107041. [Google Scholar] [CrossRef]
- Wu, X.P.; Lü, Q.L.; Yang, K.; Yang, Z.Y.; Ji, H. Dynamic mechanical properties and constitutive relation of SiCp/Al composites under high strain rate. Mater. Mech. Eng. 2021, 45, 83–87. [Google Scholar]
- Lim, S.J.; Huh, H. Ductile fracture behavior of BCC and FCC metals at a wide range of strain rates. Int. J. Impact Eng. 2022, 159, 104050. [Google Scholar] [CrossRef]
- Chao, Z.L.; Jiang, L.T.; Chen, G.Q.; Qiao, J.; Z, Q.; Yu, Z.H.; Cao, Y.F.; Wu, G.H. The microstructure and ballistic performance of B4C/AA2024 functionally graded composites with wide range B4C volume fraction. Compos. Part B Eng. 2019, 161, 627–638. [Google Scholar] [CrossRef]
- An, W.; Liu, C.Z.; Xiong, Q.L.; Li, Z.H.; Huang, X.C.; Suo, T. Shear localization in polycrystalline metal at high-strain rates with dynREamic recrystallization: Crystal plasticity modeling and texture effect. Int. J. Plast. 2023, 165, 103616. [Google Scholar] [CrossRef]
- Wang, Z.; Wang, A.Q.; Xie, J.P. Dynamic softening mechanism of 2 vol.% nano-sized SiC particle reinforced Al-12Si matrix composites during hot deformation. Mater. Res. Express 2020, 7, 086520. [Google Scholar] [CrossRef]
- Tang, B.B.; Wang, H.T.; Jin, P.P.; Jiang, X.Q. A modified Johnson-Cook model for dynamic behavior of spray-deposition 17 vol.% SiCp/7055Al composites at high strain rates. Mater. Res. Express 2020, 7, 056521. [Google Scholar] [CrossRef]
- Mirzadeh, H. A Simplified Approach for Developing Constitutive Equations for Modeling and Prediction of Hot Deformation Flow Stress. Metall. Mater. Trans. A 2015, 46, 4027–4037. [Google Scholar] [CrossRef]
- Senthilkumar, V.; Balaji, A.; Arulkirubakaran, D. Application of constitutive and neural network models for prediction of high temperature flow behavior of Al/Mg based nanocomposite. Trans. Nonferrous Met. Soc. China 2013, 23, 1737–1750. [Google Scholar] [CrossRef]
- Seetharam, R.; Kanmani Subbu, S.; Davidson, M.J. Microstructure Modeling of Dynamically Recrystallized Grain Size of Sintered Al-4 wt % B4C Composite During Hot Upsetting. J. Eng. Mater. Technol. 2018, 140, 021003. [Google Scholar] [CrossRef]
- Zhang, P.; Li, F. Dynamic recrystallization model of SiC particle reinforced aluminum matrix composites. Rare Met. Mater. Eng. 2010, 39, 1166–1170. [Google Scholar]
- Chao, Z.; Jiang, L.; Chen, G.; Zhang, Q.; Zhang, N.; Zhao, Q.; Pang, B.; Wu, G. A modified Johnson-Cook model with damage degradation for B4Cp/Al composites. Compos. Struct. 2022, 282, 115029. [Google Scholar] [CrossRef]
- Malik, A.; Nazeer, F.; Naqvi, S.Z.H.; Long, J.Y.; Li, C.; Yang, Z.; Huang, Y.W. Microstructure feathers and ASB susceptibility under dynamic compression and its correlation with the ballistic impact of Mg alloys. J. Mater. Res. Technol.-JmrT 2022, 16, 801–813. [Google Scholar] [CrossRef]
- Khan, M.A.; Wang, Y.W.; Yasin, G.; Nazeer, F.; Malik, A.; Ahmad, T.; Khan, W.Q.; Nguyen, T.A.; Zhang, H.; Afifi, M.A. Adiabatic shear band localization in an Al-Zn-Mg-Cu alloy under high strain rate compression. J. Mater. Res. Technol.-JmrT 2020, 9, 3977–3983. [Google Scholar] [CrossRef]
- Yan, N.; Li, Z.; Xu, Y.; Meyers, M.A. Shear localization in metallic materials at high strain rates. Prog. Mater. Sci. 2021, 119, 100755. [Google Scholar] [CrossRef]
- Zener, C.; Hollomon, J.H. Effect of strain rate upon plastic flow of steel. J. Appl. Phys. 1944, 15, 22–32. [Google Scholar] [CrossRef]
- Cho, K.M.; Lee, S.H.; Choi, W.B.; Park, I.M. Formation of Adiabatic Shear-Band in Al-Sicw Metal-Matrix Composites. In Proceedings of the International Conference on Advanced Composite Materials (ICACM)—Advanced Composites 93, Univ Wollongong, Wollongong, Australia, 15–19 February 1993; pp. 1265–1269. [Google Scholar]
- Hanina, E.; Rittel, D.; Rosenberg, Z. Pressure sensitivity of adiabatic shear banding in metals. Appl. Phys. Lett. 2007, 90, 021915. [Google Scholar] [CrossRef]
- Guo, Y.Z.; Ruan, Q.C.; Zhu, S.X.; Wei, Q.; Lu, J.A.; Hu, B.; Wu, X.H.; Li, Y.L. Dynamic failure of titanium: Temperature rise and adiabatic shear band formation. J. Mech. Phys. Solids 2020, 135, 103811. [Google Scholar] [CrossRef]
- Dezhi, Z.; Weiping, C.; Yuanyuan, L.; Gaohui, W. Adiabatic Shearing Failure Mechanism of Aluminum Matrix Composites. Rare Met. Mater. Eng. 2011, 40, 56–59. [Google Scholar]
- Owolabi, G.M.; Odeshi, A.G.; Singh, M.N.K.; Bassim, M.N. Dynamic shear band formation in Aluminum 6061-T6 and Aluminum 6061-T6/Al2O3 composites. Mater. Sci. Eng. A Struct. Mater. Prop. Microstruct. Process. 2007, 457, 114–119. [Google Scholar] [CrossRef]
- Dai, L.H.; Liu, L.F.; Bai, Y.L. Formation of adiabatic shear band in metal matrix composites. Int. J. Solids Struct. 2004, 41, 5979–5993. [Google Scholar] [CrossRef]
- Xu, X.B.; Ling, Z.; Wu, X.; Bai, Y.L. Evolution of thermoplastic shear localization and related microstructures in Al/SiCp composites under dynamic compression. J. Mater. Sci. Technol. 2002, 18, 504–508. [Google Scholar]
- Zhu, D.Z.; Zheng, Z.X.; Chen, Q. Adiabatic shear failure of aluminum matrix composites and microstructural characteristics of transformed bands. Mater. Sci. Eng. A Struct. Mater. Prop. Microstruct. Process. 2014, 595, 241–246. [Google Scholar] [CrossRef]
- Zhu, D.; Chen, T.; Jin, X.; Fu, Z.; Wen, P.; Qu, S. Quasi-Static and Dynamic Deformation of Aluminum Matrix Composites Reinforced by Core-Shell Al35Ti15Cu10Mn20Cr20 High-Entropy Alloy Particulates. J. Mater. Res. Technol. 2024, 30, 1009–1019. [Google Scholar] [CrossRef]
- dos Santos, T.; Rossi, R.; Maghous, S.; Rosa, P.A.R. Mechanical characterization and constitutive modeling of aluminum AA1050 subjected to high strain-rates. Mech. Time-Depend. Mater. 2022, 26, 347–375. [Google Scholar] [CrossRef]
- Neelima, P.; Murty, S.; Chakravarthy, P. Comparison of Prediction Capabilities of Flow Stress by Various Constitutive Equation Models for Hot Deformation of Aluminum Matrix Composites. Mater. Perform. Charact. 2020, 9, 237–261. [Google Scholar] [CrossRef]
- Shokry, A.; Gowid, S.; Mulki, H.; Kharmanda, G. On the Prediction of the Flow Behavior of Metals and Alloys at a Wide Range of Temperatures and Strain Rates Using Johnson-Cook and Modified Johnson-Cook-Based Models: A Review. Materials 2023, 16, 1574. [Google Scholar] [CrossRef] [PubMed]
- Rudra, A.; Das, S.; Dasgupta, R. Constitutive Modeling for Hot Deformation Behavior of Al-5083+SiC Composite. J. Mater. Eng. Perform. 2019, 28, 87–99. [Google Scholar] [CrossRef]
- Jia, X.D.; Hao, K.M.; Luo, Z.; Fan, Z.Y. Plastic Deformation Behavior of Metal Materials: A Review of Constitutive Models. Metals 2022, 12, 2077. [Google Scholar] [CrossRef]
- Johnson, G.R.; Cook, W.H. A constitutive model and data for metals subjected to large strains, high strain rates and high temperatures. Eng. Fract. Mech. 1983, 21, 541–548. [Google Scholar]
- Bodner, S.; Partom, Y. Constitutive equations for elastic-viscoplastic strain-hardening materials. J. Appl. Mech. 1975, 42, 385–389. [Google Scholar] [CrossRef]
- Lemaitre, J.; Chaboche, J.-L. Mechanics of Solid Materials; Cambridge University Press: Cambridge, UK, 1994. [Google Scholar]
- Sirigiri, V.K.R.; Gudiga, V.Y.; Gattu, U.S.; Suneesh, G.; Buddaraju, K.M. A review on Johnson Cook material model. In Proceedings of the 13th International Conference on Materials, Processing and Characterization (ICMPC), Hyderabad, India, 22–24 April 2022; pp. 3450–3456. [Google Scholar]
- Zhan, J.; Yao, X.; Han, F.; Zhang, X. A rate-dependent peridynamic model for predicting the dynamic response of particle reinforced metal matrix composites. Compos. Struct. 2021, 263, 113673. [Google Scholar] [CrossRef]
- Niu, Q.L.; Li, S.; Chen, Y.N.; Li, C.P.; Li, S.J.; Ko, T.J.; Li, P.N.; Chen, M.; Qiu, X.Y. A constitutive model of Al/50 wt%Sip composites considering particle damage effects. Mater. Sci. Eng. A Struct. Mater. Prop. Microstruct. Process. 2022, 836, 142726. [Google Scholar] [CrossRef]
- Eshelby, J.D. The determination of the elastic field of an ellipsoidal inclusion, and related problems. Proc. R. Soc. London. Ser. A. Math. Phys. Sci. 1957, 241, 376–396. [Google Scholar]
- Lin, Y.; Chen, X.-M.; Liu, G. A modified Johnson–Cook model for tensile behaviors of typical high-strength alloy steel. Mater. Sci. Eng. A 2010, 527, 6980–6986. [Google Scholar] [CrossRef]
- Wang, J.; Yuan, X.; Jin, P.; Ma, H.; Shi, B.; Zheng, H.; Chen, T.; Xia, W. Study on modified Johnson-Cook constitutive material model to predict the dynamic behavior Mg-1Al-4Y alloy. Mater. Res. Express 2020, 7, 026522. [Google Scholar] [CrossRef]
- Zhao, Y.; Sun, J.; Li, J.; Yan, Y.; Wang, P. A comparative study on Johnson-Cook and modified Johnson-Cook constitutive material model to predict the dynamic behavior laser additive manufacturing FeCr alloy. J. Alloys Compd. 2017, 723, 179–187. [Google Scholar] [CrossRef]
- Khan, A.S.; Huang, S. Experimental and theoretical study of mechanical behavior of 1100 aluminum in the strain rate range 10−5-104 S−1. Int. J. Plast. 1992, 8, 397–424. [Google Scholar] [CrossRef]
- Khan, A.S.; Liang, R. Behaviors of three BCC metals during non-proportional multi-axial loadings: Experiments and modeling. Int. J. Plast. 2000, 16, 1443–1458. [Google Scholar] [CrossRef]
- Slooff, F.A.; Zhou, J.; Duszczyk, J.; Katgerman, L. Constitutive analysis of wrought magnesium alloy Mg-AL4-Znl. Scr. Mater. 2007, 57, 759–762. [Google Scholar] [CrossRef]
- Gambirasio, L.; Rizzi, E. An enhanced Johnson–Cook strength model for splitting strain rate and temperature effects on lower yield stress and plastic flow. Comput. Mater. Sci. 2016, 113, 231–265. [Google Scholar] [CrossRef]
- Tan, J.Q.; Zhan, M.; Liu, S.; Huang, T.; Guo, J.; Yang, H. A modified Johnson-Cook model for tensile flow behaviors of 7050-T7451 aluminum alloy at high strain rates. Mater. Sci. Eng. A Struct. Mater. Prop. Microstruct. Process. 2015, 631, 214–219. [Google Scholar] [CrossRef]
- Bobbili, R.; Paman, A.; Madhu, V. High strain rate tensile behavior of Al-4.8Cu-1.2Mg alloy. Mater. Sci. Eng. A Struct. Mater. Prop. Microstruct. Process. 2016, 651, 753–762. [Google Scholar] [CrossRef]
- Rudnytskyj, A.; Simon, P.; Jech, M.; Gachot, C. Constitutive modelling of the 6061 aluminium alloy under hot rolling conditions and large strain ranges. Mater. Des. 2020, 190, 108568. [Google Scholar] [CrossRef]
- Jia, Z.; Guan, B.; Zang, Y.; Wang, Y.; Mu, L. Modified Johnson-Cook model of aluminum alloy 6016-T6 sheets at low dynamic strain rates. Mater. Sci. Eng. A Struct. Mater. Prop. Microstruct. Process. 2021, 820, 141565. [Google Scholar] [CrossRef]
- Vural, M.; Caro, J. Experimental analysis and constitutive modeling for the newly developed 2139-T8 alloy. Mater. Sci. Eng. A Struct. Mater. Prop. Microstruct. Process. 2009, 520, 56–65. [Google Scholar] [CrossRef]
- Xia, Y.X.; Kuang, Z.Y.; Zhu, P.; Ju, B.Y.; Chen, G.Q.; Wu, P.; Yang, W.S.; Wu, G.H. Hot deformation behavior and microstructure evolution of Be/2024Al composites. Int. J. Miner. Metall. Mater. 2023, 30, 2245–2258. [Google Scholar] [CrossRef]
- Nasr, M.N.A.; Ghandehariun, A.; Kishawy, H.A. A Physics-Based Model for Metal Matrix Composites Deformation during Machining: A Modified Constitutive Equation. J. Eng. Mater. Technol.-Trans. Asme 2017, 139, 011003. [Google Scholar] [CrossRef]
- Jing, W.; Qiang, L.; Ping, L. Hot Deformation Behavior and Microstructure Evolution of 2219/TiB2-Al-matrix Composite. Mater. Res.-Ibero-Am. J. Mater. 2020, 23, e20200006. [Google Scholar] [CrossRef]
- Lin, Y.; Chen, X.-M. A combined Johnson–Cook and Zerilli–Armstrong model for hot compressed typical high-strength alloy steel. Comput. Mater. Sci. 2010, 49, 628–633. [Google Scholar] [CrossRef]
- Zerilli, F.J.; Armstrong, R.W. Description of tantalum deformation behavior by dislocation mechanics based constitutive relations. J. Appl. Phys. 1990, 68, 1580–1591. [Google Scholar] [CrossRef]
- Shin, H.; Ju, Y.; Choi, M.K.; Ha, D.H. Flow Stress Description Characteristics of Some Constitutive Models at Wide Strain Rates and Temperatures. Technologies 2022, 10, 52. [Google Scholar] [CrossRef]
- Zerilli, F.J.; Armstrong, R.W. Dislocation-mechanics-based constitutive relations for material dynamics calculations. J. Appl. Phys. 1987, 61, 1816–1825. [Google Scholar] [CrossRef]
- Zhang, H.; Wen, W.; Cui, H.; Xu, Y. A modified Zerilli–Armstrong model for alloy IC10 over a wide range of temperatures and strain rates. Mater. Sci. Eng. A 2009, 527, 328–333. [Google Scholar] [CrossRef]
- Samantaray, D.; Mandal, S.; Borah, U.; Bhaduri, A.K.; Sivaprasad, P.V. A thermo-viscoplastic constitutive model to predict elevated-temperature flow behaviour in a titanium-modified austenitic stainless steel. Mater. Sci. Eng. A 2009, 526, 1–6. [Google Scholar] [CrossRef]
- Yuan, Z.W.; Li, F.G.; Ji, G.L.; Qiao, H.J.; Li, J. Flow Stress Prediction of SiCp/Al Composites at Varying Strain Rates and Elevated Temperatures. J. Mater. Eng. Perform. 2014, 23, 1016–1027. [Google Scholar] [CrossRef]
- Dalvand, H.; Rasaee, S. The Comprehensive Study on the Classical Constitutive Models in Predicting the Hot Deformation Behavior of Al5083-SiC Metal Matrix Composite. Iran. J. Mater. Form. 2021, 8, 53–66. [Google Scholar]
- Voyiadjis, G.Z.; Abed, F.H. Microstructural based models for bcc and fcc metals with temperature and strain rate dependency. Mech. Mater. 2005, 37, 355–378. [Google Scholar] [CrossRef]
- Follansbee, P.; Kocks, U. A constitutive description of the deformation of copper based on the use of the mechanical threshold stress as an internal state variable. Acta Metall. 1988, 36, 81–93. [Google Scholar] [CrossRef]
- Yang, Q.; Ji, C.; Zhu, M.Y. Modeling of the Dynamic Recrystallization Kinetics of a Continuous Casting Slab Under Heavy Reduction. Metall. Mater. Trans. A-Phys. Metall. Mater. Sci. 2019, 50A, 357–376. [Google Scholar] [CrossRef]
- Smirnov, A.; Kanakin, V.; Konovalov, A. Neural Network Modeling of Microstructure Formation in an AlMg6/10% SiC Metal Matrix Composite and Identification of Its Softening Mechanisms under High-Temperature Deformation. Appl. Sci. 2023, 13, 939. [Google Scholar] [CrossRef]
- Li, D.W.; Liu, J.X.; Fan, Y.S.; Yang, X.G.; Huang, W.Q. A preliminary discussion about the application of machine learning in the field of constitutive modeling focusing on alloys. J. Alloys Compd. 2024, 976, 173210. [Google Scholar] [CrossRef]
- Lei, J.; Xue, X.; Zhang, S.; Ren, Y.; Wang, K.; Xin, S.; Li, Q. High-precision constitutive model of Ti6242s alloy hot deformation based on artificial neural network. Rare Met. Mater. Eng. 2017, 6, 2025–2032. [Google Scholar]
- Moon, I.Y.; Jeong, H.W.; Lee, H.W.; Kim, S.-J.; Oh, Y.-S.; Jung, J.; Oh, S.; Kang, S.-H. Predicting High Temperature Flow Stress of Nickel Alloy A230 Based on an Artificial Neural Network. Metals 2022, 12, 223. [Google Scholar] [CrossRef]
- Rao, K.P.; Prasad, Y. Neural-Network Approach to Flow-Stress Evaluation in Hot Deformation. J. Mater. Process. Technol. 1995, 53, 552–566. [Google Scholar] [CrossRef]
- Pandya, K.S.; Roth, C.C.; Mohr, D. Strain rate and temperature dependent fracture of aluminum alloy 7075: Experiments and neural network modeling. Int. J. Plast. 2020, 135, 102788. [Google Scholar] [CrossRef]
- Jalham, I.S. Network modeling approach to predict the effect of the reinforcement content on the hot strength of Al-based composites. J. Compos. Mater. 2005, 39, 1769–1780. [Google Scholar] [CrossRef]
- Liu, Y.; Zhu, Y.; Geng, C.; Xu, J. Comparing predictions from constitutive equations and artificial neural network model of compressive behavior in carbon nanotube–aluminum reinforced ZA27 composites. Int. J. Mater. Res. 2016, 107, 659–667. [Google Scholar] [CrossRef]
- Cheng, C.; Tang, Z.Y.; Zhao, L.; Li, Y.L.; Ding, H. Thermal Deformation Behavior of ZA270.15Ce Alloy: Constitutive Equation, Deep Neural Network Model-Based Prediction, Thermal Processing Map, and Recrystallization Behavior. J. Mater. Eng. Perform. 2023, 32, 11432–11447. [Google Scholar] [CrossRef]


















| Properties | B4C | SiC | Al2O3 | TiC | TiB2 |
|---|---|---|---|---|---|
| Density (g/cm3) | 2.5–2.52 | 3.12–3.2 | 3.6–3.98 | 4.93 | 4.52 |
| Modulus of elasticity (GPa) | 450–470 | 400–450 | 300–450 | 400 | 550 |
| Hardness, Vickers (GPa) | 29–35 | 22–23 | 12–18 | 24–32 | 21–23 |
| Fracture toughness (MPa·m1/2) | 2.5–3.5 | 4.0–4.6 | 3.5–4.0 | 3.2–6.7 | 6–8 |
| Applicable for | Characteristic | Equations | Reference |
|---|---|---|---|
| 7050-T7451 aluminum alloy | Considered the coupling effect of strain and strain rate. | [107] | |
| Al-4.8Cu-1.2Mg alloy | Modified the strain hardening (n) and strain rate hardening (C) coefficients. | [108] | |
| 6061 aluminum alloy | Coupled the temperature term in the original J-C model with the strain rate. | [109] | |
| Aluminum alloy (AA) 6016-T6 | Integrated the strain rate hardening coefficient with the strain rate. | [110] | |
| 2139-T8 aluminum alloy | Coupled the temperature and strain hardening terms, while incorporating temperature effects into the strain rate sensitive part. | [111] | |
| Sip/Al composites | Added thermal softening and damage terms to J-C model. | } | [98] |
| Be/2024Al composites | Considered the coupling effect between hot processing parameters, strain, strain rate, and temperature. | [112] | |
| B4C/Al composites | Introduced a decreasing function of strain to describe the softening phenomenon of the material. | [74] | |
| SiCp/Al composites | Transformed the thermal softening term in the original equation into terms related to strain rate and strain. | [64] | |
| aluminum matrix composites | Combined the L-R model and J-C model. | [113] | |
| Sip/Al composites | Introduced tangent function and Gaussian function to correct the effects brought by particle damage and thermal softening. | [98] | |
| TiB2/Al composites | The material constants B, C, and m in the original J-C model were determined using polynomial fitting. | [114] |
Disclaimer/Publisher’s Note: The statements, opinions and data contained in all publications are solely those of the individual author(s) and contributor(s) and not of MDPI and/or the editor(s). MDPI and/or the editor(s) disclaim responsibility for any injury to people or property resulting from any ideas, methods, instructions or products referred to in the content. |
© 2024 by the authors. Licensee MDPI, Basel, Switzerland. This article is an open access article distributed under the terms and conditions of the Creative Commons Attribution (CC BY) license (https://creativecommons.org/licenses/by/4.0/).
Share and Cite
Li, S.; Luo, T.; Chao, Z.; Jiang, L.; Han, H.; Han, B.; Du, S.; Liu, M. A Review of Dynamic Mechanical Behavior and the Constitutive Models of Aluminum Matrix Composites. Materials 2024, 17, 1879. https://doi.org/10.3390/ma17081879
Li S, Luo T, Chao Z, Jiang L, Han H, Han B, Du S, Liu M. A Review of Dynamic Mechanical Behavior and the Constitutive Models of Aluminum Matrix Composites. Materials. 2024; 17(8):1879. https://doi.org/10.3390/ma17081879
Chicago/Turabian StyleLi, Siyun, Tian Luo, Zhenlong Chao, Longtao Jiang, Huimin Han, Bingzhuo Han, Shanqi Du, and Mingqi Liu. 2024. "A Review of Dynamic Mechanical Behavior and the Constitutive Models of Aluminum Matrix Composites" Materials 17, no. 8: 1879. https://doi.org/10.3390/ma17081879
APA StyleLi, S., Luo, T., Chao, Z., Jiang, L., Han, H., Han, B., Du, S., & Liu, M. (2024). A Review of Dynamic Mechanical Behavior and the Constitutive Models of Aluminum Matrix Composites. Materials, 17(8), 1879. https://doi.org/10.3390/ma17081879

