Compatibilization of Polyamide 6/Cyclic Olefinic Copolymer Blends for the Development of Multifunctional Thermoplastic Composites with Self-Healing Capability
Abstract
1. Introduction
2. Materials and Methods
2.1. Materials
2.2. Sample Preparation
2.3. Experimental Techniques
2.3.1. Rheological Properties
2.3.2. Microstructural and Chemical Properties
2.3.3. Thermal Properties
2.3.4. Mechanical Properties
2.3.5. Evaluation of the Healing Efficiency
3. Results and Discussions
3.1. Rheological Properties
3.2. Microstructural and Chemical Properties
3.3. Thermal Properties
3.4. Mechanical Properties
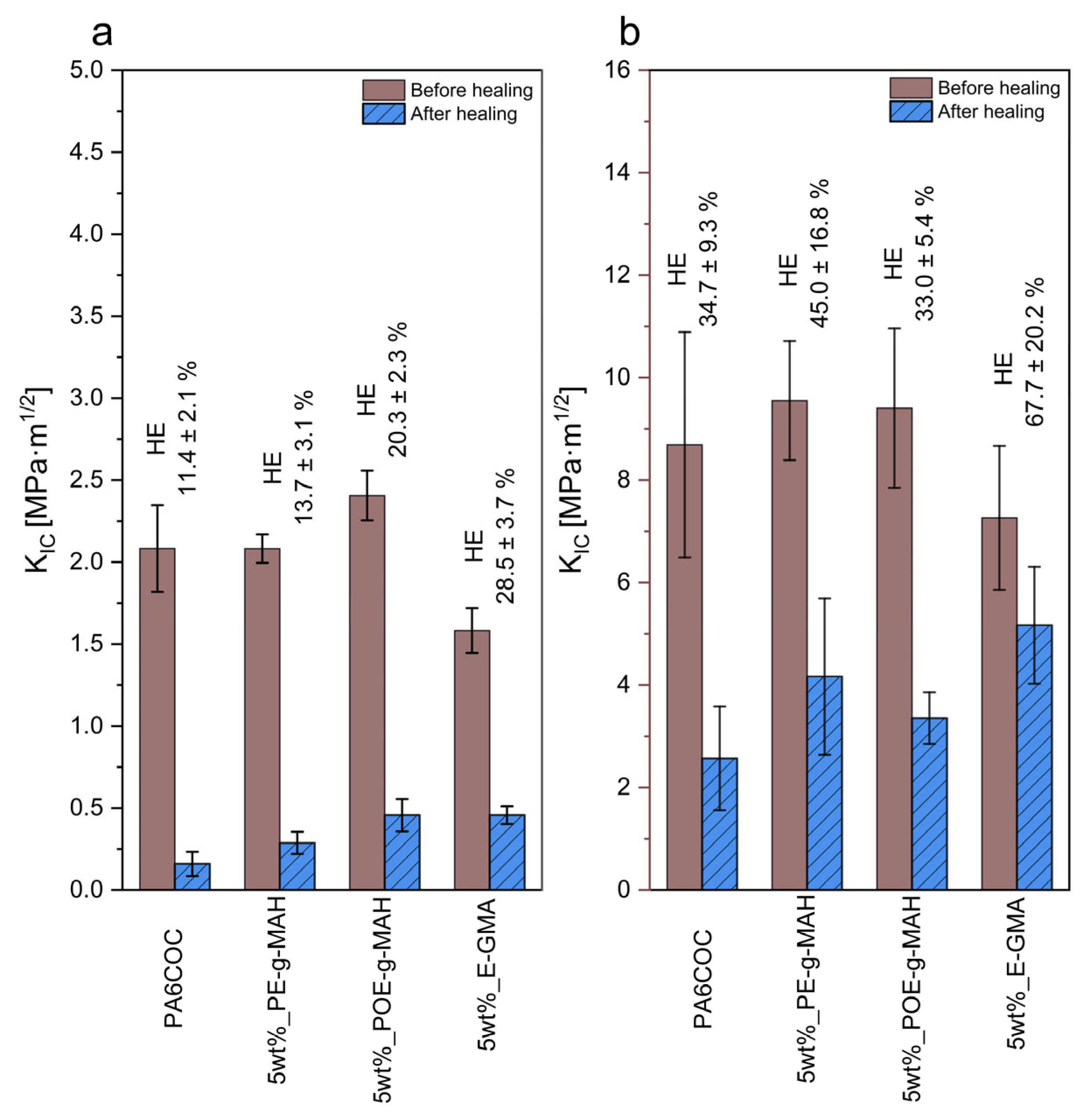
3.5. Evaluation of the Healing Efficiency
4. Conclusions
Supplementary Materials
Author Contributions
Funding
Institutional Review Board Statement
Informed Consent Statement
Data Availability Statement
Conflicts of Interest
References
- Hsissou, R.; Seghiri, R.; Benzekri, Z.; Hilali, M.; Rafik, M.; Elharfi, A. Polymer composite materials: A comprehensive review. Compos. Struct. 2021, 262, 113640. [Google Scholar] [CrossRef]
- JEC Group; Estin & Co. JEC Observer: Overview of the Global Composites Market 2019–2024; JEC Group: Paris, France, 2020. [Google Scholar]
- Cabrera, F.C. Eco-friendly polymer composites: A review of suitable methods for waste management. Polym. Compos. 2021, 42, 2653–2677. [Google Scholar] [CrossRef]
- Stewart, R. 2—Legislation for recycling waste composites. In Management, Recycling and Reuse of Waste Composites; Goodship, V., Ed.; Woodhead Publishing: Cambridge, UK, 2010; pp. 20–38. [Google Scholar]
- Nilakantan, G.; Nutt, S. Reuse and upcycling of aerospace prepreg scrap and waste. Reinf. Plast. 2015, 59, 44–51. [Google Scholar] [CrossRef]
- Giorgini, L.; Benelli, T.; Brancolini, G.; Mazzocchetti, L. Recycling of carbon fiber reinforced composite waste to close their life cycle in a cradle-to-cradle approach. Curr. Opin. Green Sustain. Chem. 2020, 26, 100368. [Google Scholar] [CrossRef]
- Naqvi, S.R.; Prabhakara, H.M.; Bramer, E.A.; Dierkes, W.; Akkerman, R.; Brem, G. A critical review on recycling of end-of-life carbon fibre/glass fibre reinforced composites waste using pyrolysis towards a circular economy. Resour. Conserv. Recycl. 2018, 136, 118–129. [Google Scholar] [CrossRef]
- Khan, A.; Ahmed, N.; Rabnawaz, M. Covalent Adaptable Network and Self-Healing Materials: Current Trends and Future Prospects in Sustainability. Polymers 2020, 12, 2027. [Google Scholar] [CrossRef]
- Ikura, R.; Park, J.; Osaki, M.; Yamaguchi, H.; Harada, A.; Takashima, Y. Design of self-healing and self-restoring materials utilizing reversible and movable crosslinks. NPG Asia Mater. 2022, 14, 10. [Google Scholar] [CrossRef]
- Williams, H.R.; Trask, R.S.; Bond, I.P. Self-healing sandwich panels: Restoration of compressive strength after impact. Compos. Sci. Technol. 2008, 68, 3171–3177. [Google Scholar] [CrossRef]
- Luterbacher, R.; Trask, R.S.; Bond, I. Static and fatigue tensile properties of cross-ply laminates containing vascules for self-healing applications. Smart Mater. Struct. 2016, 25, 015003. [Google Scholar] [CrossRef]
- Chen, Y.; Kushner, A.M.; Williams, G.A.; Guan, Z. Multiphase design of autonomic self-healing thermoplastic elastomers. Nat. Chem. 2012, 4, 467–472. [Google Scholar] [CrossRef]
- Nakahata, M.; Takashima, Y.; Yamaguchi, H.; Harada, A. Redox-responsive self-healing materials formed from host–guest polymers. Nat. Commun. 2011, 2, 511. [Google Scholar] [CrossRef]
- White, S.R.; Sottos, N.R.; Geubelle, P.H.; Moore, J.S.; Kessler, M.R.; Sriram, S.R.; Brown, E.N.; Viswanathan, S. Autonomic healing of polymer composites. Nature 2001, 409, 794–797. [Google Scholar] [CrossRef]
- Kosarli, M.; Bekas, D.G.; Tsirka, K.; Baltzis, D.; Vaimakis-Tsogkas, D.Τ.; Orfanidis, S.; Papavassiliou, G.; Paipetis, A.S. Microcapsule-based self-healing materials: Healing efficiency and toughness reduction vs. capsule size. Compos. Part B Eng. 2019, 171, 78–86. [Google Scholar] [CrossRef]
- Shields, Y.; De Belie, N.; Jefferson, A.; Van Tittelboom, K. A review of vascular networks for self-healing applications. Smart Mater. Struct. 2021, 30, 063001. [Google Scholar] [CrossRef]
- Zheng, N.; Xu, Y.; Zhao, Q.; Xie, T. Dynamic Covalent Polymer Networks: A Molecular Platform for Designing Functions beyond Chemical Recycling and Self-Healing. Chem. Rev. 2021, 121, 1716–1745. [Google Scholar] [CrossRef]
- Lei, Z.Q.; Xie, P.; Rong, M.Z.; Zhang, M.Q. Catalyst-free dynamic exchange of aromatic Schiff base bonds and its application to self-healing and remolding of crosslinked polymers. J. Mater. Chem. A 2015, 3, 19662–19668. [Google Scholar] [CrossRef]
- Zhu, X.; Zhang, W.; Lu, G.; Zhao, H.; Wang, L. Ultrahigh Mechanical Strength and Robust Room-Temperature Self-Healing Properties of a Polyurethane–Graphene Oxide Network Resulting from Multiple Dynamic Bonds. ACS Nano 2022, 16, 16724–16735. [Google Scholar] [CrossRef]
- Zhu, X.; Han, K.; Li, C.; Wang, J.; Yuan, J.; Pan, Z.; Pan, M. Tough, Photoluminescent, Self-Healing Waterborne Polyurethane Elastomers Resulting from Synergistic Action of Multiple Dynamic Bonds. ACS Appl. Mater. Interfaces 2023, 15, 19414–19426. [Google Scholar] [CrossRef]
- Campanella, A.; Döhler, D.; Binder, W.H. Self-Healing in Supramolecular Polymers. Macromol. Rapid Commun. 2018, 39, 1700739. [Google Scholar] [CrossRef]
- Luo, X.; Mather, P.T. Shape Memory Assisted Self-Healing Coating. ACS Macro Lett. 2013, 2, 152–156. [Google Scholar] [CrossRef]
- Du, W.; Jin, Y.; Lai, S.; Shi, L.; Shen, Y.; Yang, H. Multifunctional light-responsive graphene-based polyurethane composites with shape memory, self-healing, and flame retardancy properties. Compos. Part A Appl. Sci. Manuf. 2020, 128, 105686. [Google Scholar] [CrossRef]
- Yang, Y.; Davydovich, D.; Hornat, C.C.; Liu, X.; Urban, M.W. Leaf-Inspired Self-Healing Polymers. Chem 2018, 4, 1928–1936. [Google Scholar] [CrossRef]
- Hayes, S.A.; Jones, F.R.; Marshiya, K.; Zhang, W. A self-healing thermosetting composite material. Compos. Part A Appl. Sci. Manuf. 2007, 38, 1116–1120. [Google Scholar] [CrossRef]
- Cohades, A.; Manfredi, E.; Plummer, C.J.G.; Michaud, V. Thermal mending in immiscible poly(ε-caprolactone)/epoxy blends. Eur. Polym. J. 2016, 81, 114–128. [Google Scholar] [CrossRef]
- Wool, R.P. Self-healing materials: A review. Soft Matter 2008, 4, 400–418. [Google Scholar] [CrossRef]
- Hayes, S.; Zhang, W.; Branthwaite, M.; Jones, F. Self-healing of damage in fibre-reinforced polymer-matrix composites. J. R. Soc. Interface 2007, 4, 381–387. [Google Scholar] [CrossRef]
- Meure, S.; Wu, D.Y.; Furman, S. Polyethylene-co-methacrylic acid healing agents for mendable epoxy resins. Acta Mater. 2009, 57, 4312–4320. [Google Scholar] [CrossRef]
- Mahmood, H.; Dorigato, A.; Pegoretti, A. Thermal mending in novel epoxy/cyclic olefin copolymer blends. Express Polym. Lett. 2020, 14, 368–383. [Google Scholar] [CrossRef]
- Dorigato, A.; Mahmood, H.; Pegoretti, A. Optimization of the thermal mending process in epoxy/cyclic olefin copolymer blends. J. Appl. Polym. Sci. 2021, 138, 49937. [Google Scholar] [CrossRef]
- Valente, M.; Rossitti, I.; Sambucci, M. Different Production Processes for Thermoplastic Composite Materials: Sustainability versus Mechanical Properties and Processes Parameter. Polymers 2023, 15, 242. [Google Scholar] [CrossRef]
- Perin, D.; Odorizzi, G.; Dorigato, A.; Pegoretti, A. Development of Polyamide 6 (PA6)/Polycaprolactone (PCL) Thermoplastic Self-Healing Polymer Blends for Multifunctional Structural Composites. Appl. Sci. 2022, 12, 12357. [Google Scholar] [CrossRef]
- Perin, D.; Dorigato, A.; Pegoretti, A. Thermoplastic self-healing polymer blends for structural composites: Development of polyamide 6 and cyclic olefinic copolymer blends. J. Appl. Polym. Sci. 2023, 140, e53751. [Google Scholar] [CrossRef]
- Millot, C.; Fillot, L.-A.; Lame, O.; Sotta, P.; Seguela, R. Assessment of polyamide-6 crystallinity by DSC. J. Therm. Anal. Calorim. 2015, 122, 307–314. [Google Scholar] [CrossRef]
- UNI EN ISO 527-2; Determination of Tensile Properties Part 2: Test Conditions for Moulding and Extrusion Plastics. European Committee for Standardization: Brussels, Belgium, 2012.
- ASTM D5045; Standard Test Methods for Plane-Strain Fracture Toughness and Strain Energy Release Rate of Plastic Materials. ASTM International: West Conshohocken, PA, USA, 2014.
- Cohades, A.; Branfoot, C.; Rae, S.; Bond, I.; Michaud, V. Progress in Self-Healing Fiber-Reinforced Polymer Composites. Adv. Mater. Interfaces 2018, 5, 1800177. [Google Scholar] [CrossRef]
- Krache, R.; Benachour, D.; Pötschke, P. Binary and ternary blends of polyethylene, polypropylene, and polyamide 6,6: The effect of compatibilization on the morphology and rheology. J. Appl. Polym. Sci. 2004, 94, 1976–1985. [Google Scholar] [CrossRef]
- Basseri, G.; Mehrabi Mazidi, M.; Hosseini, F.; Razavi Aghjeh, M.K. Relationship among microstructure, linear viscoelastic behavior and mechanical properties of SBS triblock copolymer-compatibilized PP/SAN blend. Polym. Bull. 2014, 71, 465–486. [Google Scholar] [CrossRef]
- López-Barrón, C.R.; Macosko, C.W. Rheology of compatibilized immiscible blends with droplet-matrix and cocontinuous morphologies during coarsening. J. Rheol. 2014, 58, 1935–1953. [Google Scholar] [CrossRef]
- Kudva, R.A.; Keskkula, H.; Paul, D.R. Compatibilization of nylon 6/ABS blends using glycidyl methacrylate/methyl methacrylate copolymers. Polymer 1998, 39, 2447–2460. [Google Scholar] [CrossRef]
- Veenstra, H.; Verkooijen, P.C.J.; van Lent, B.J.J.; van Dam, J.; de Boer, A.P.; Nijhof, A.P.H.J. On the mechanical properties of co-continuous polymer blends: Experimental and modelling. Polymer 2000, 41, 1817–1826. [Google Scholar] [CrossRef]
- Ohlsson, B.; Hassander, H.; Törnell, B. Improved compatibility between polyamide and polypropylene by the use of maleic anhydride grafted SEBS. Polymer 1998, 39, 6705–6714. [Google Scholar] [CrossRef]
- Wilkinson, A.N.; Clemens, M.L.; Harding, V.M. The effects of SEBS-g-maleic anhydride reaction on the morphology and properties of polypropylene/PA6/SEBS ternary blends. Polymer 2004, 45, 5239–5249. [Google Scholar] [CrossRef]
- Araújo, J.R.; Vallim, M.R.; Spinacé, M.A.S.; De Paoli, M.-A. Use of postconsumer polyethylene in blends with polyamide 6: Effects of the extrusion method and the compatibilizer. J. Appl. Polym. Sci. 2008, 110, 1310–1317. [Google Scholar] [CrossRef]
- Essabir, H.; El Mechtali, F.Z.; Nekhlaoui, S.; Raji, M.; Bensalah, M.O.; Rodrigue, D.; Bouhfid, R.; Qaiss, A. Compatibilization of PA6/ABS blend by SEBS-g-MA: Morphological, mechanical, thermal, and rheological properties. Int. J. Adv. Manuf. Technol. 2020, 110, 1095–1111. [Google Scholar] [CrossRef]
- Moghri, M.; Garmabi, H.; Zanjanijam, A.R. Prediction of barrier properties of HDPE/PA-6/nanoclay composites by response surface approach: Effects of compatibilizer type and the contents of nanoclay, PA-6 and compatibilizer. Polym. Bull. 2018, 75, 2751–2767. [Google Scholar] [CrossRef]
- Feng, Q.; Tang, B.; Wei, Q.; Hou, D.; Bi, S.; Wei, A. Preparation of a Cu(II)-PVA/PA6 Composite Nanofibrous Membrane for Enzyme Immobilization. Int. J. Mol. Sci. 2012, 13, 12734–12746. [Google Scholar] [CrossRef]
- Pelin, C.; Pelin, G.; Stefan, A.; Andronescu, E.; Ion, D.; Ficai, A.; Trusca, R. Mechanical properties of polyamide/carbon-fiber-fabric composites. Mater. Tehnol. 2016, 50, 723–728. [Google Scholar] [CrossRef]
- Cheng, J.; Yang, X.; Dong, L.; Yuan, Z.; Wang, W.; Wu, S.; Chen, S.; Zheng, G.; Zhang, W.; Zhang, D.; et al. Effective nondestructive evaluations on UHMWPE/Recycled-PA6 blends using FTIR imaging and dynamic mechanical analysis. Polym. Test. 2017, 59, 371–376. [Google Scholar] [CrossRef]
- Niu, K.; Song, K. Synthesis and Characterization of Maleic Anhydride-Methyl Methacrylate Co-Monomer Grafted Polyethylene Wax for Hot Waxed Wood Process. Materials 2022, 15, 6962. [Google Scholar] [CrossRef]
- Saini, A.; Yadav, C.; Bera, M.; Gupta, P.; Maji, P.K. Maleic anhydride grafted linear low-density polyethylene/waste paper powder composites with superior mechanical behavior. J. Appl. Polym. Sci. 2017, 134, 45167. [Google Scholar] [CrossRef]
- Lu, J.Z.; Negulescu, I.I.; Wu, Q. Maleated wood-fiber/high-density-polyethylene composites: Coupling mechanisms and interfacial characterization. Compos. Interfaces 2005, 12, 125–140. [Google Scholar] [CrossRef]
- Tsai, C.-H.; Chang, F.-C. Polymer Blends of PBT and PP Compatibilized by Ethylene- co-glycidyl Methacrylate Copolymers. J. Appl. Polym. Sci. 1996, 61, 321–332. [Google Scholar] [CrossRef]
- Qu, C.; Su, R.; Zhang, Q.; Du, R.; Fu, Q. Effect of ethylene–acrylate–(maleic anhydride) terpolymer on mechanical properties and morphology of poly(ethylene terephthalate)/polyamide-6 blends. Polym. Int. 2008, 57, 139–148. [Google Scholar] [CrossRef]
- Liu, T.; Wang, Q.; Xie, Y.; Lee, S.; Wu, Q. Effects of use of coupling agents on the properties of microfibrillar composite based on high-density polyethylene and polyamide-6. Polym. Bull. 2014, 71, 685–703. [Google Scholar] [CrossRef]
- Luna, C.B.B.; da Silva Barbosa Ferreira, E.; Siqueira, D.D.; Araújo, E.M.; do Nascimento, E.P.; Medeiros, E.S.; de Mélo, T.J.A. Electrical nanocomposites of PA6/ABS/ABS-MA reinforced with carbon nanotubes (MWCNTf) for antistatic packaging. Polym. Compos. 2022, 43, 3639–3658. [Google Scholar] [CrossRef]
- Dou, R.; Zhou, Y.; Shen, C.; Li, L.-p.; Yin, B.; Yang, M.-b. Toughening of PA6/EPDM-g-MAH/HDPE ternary blends via controlling EPDM-g-MAH grafting degree: The role of core–shell particle size and shell thickness. Polym. Bull. 2015, 72, 177–193. [Google Scholar] [CrossRef]
- Sajjadi, S.A.; Ashenai Ghasemi, F.; Fasihi, M.; Rajaee, P. Fracture toughness of PA6/POE-g-MA/TiO2 ternary nanocomposites according to the essential work fracture method. Polym. Compos. 2023, 44, 3895–3912. [Google Scholar] [CrossRef]
- Hasanpour, M.; Razavi Aghjeh, M.K.; Mehrabi Mazidi, M.; Afsari, B. Effect of morphology alteration on mechanical properties and fracture toughness of polypropylene/polyamide 6/ethylene polypropylene diene monomer graft maleic anhydride (PP/PA6/EPDM-g-MA) reactive ternary blends. Polym. Bull. 2020, 77, 3767–3794. [Google Scholar] [CrossRef]










| Sample | PA6 Content [wt%] | COC Content [wt%] | Compatibilizer Content [wt%] |
|---|---|---|---|
| PA6COC | 70 | 30 | 0.0 |
| 5 wt% PE-g-MAH | 66.5 | 28.5 | 5.0 |
| 5 wt% POE-g-MAH | 66.5 | 28.5 | 5.0 |
| 5 wt% E-GMA | 66.5 | 28.5 | 5.0 |
| First Heating Scan | |||||
|---|---|---|---|---|---|
| Sample | Tg COC [°C] | Tm1 PA6 [°C] | Tm2 PA6 [°C] | ΔHm_PA6 [J/g] | χ PA6 [%] |
| PA6COC | 64.0 | 221.5 | 224.7 | 36.6 | 22.7 |
| 5 wt% PE-g-MAH | 62.8 | 216.2 | 224.5 | 42.0 | 27.5 |
| 5 wt% POE-g-MAH | 63.0 | 217.8 | 224.2 | 41.9 | 27.4 |
| 5 wt% E-GMA | 63.0 | 218.1 | 225.3 | 41.0 | 26.8 |
| Cooling scan | |||||
| Sample | Tc PA6 [°C] | ΔHc_PA6 [J/g] | χ PA6 [%] | ||
| PA6COC | 189.4 | 45.5 | 28.3 | ||
| 5 wt% PE-g-MAH | 190.8 | 47.6 | 31.4 | ||
| 5 wt% POE-g-MAH | 190.2 | 49.2 | 32.2 | ||
| 5 wt% E-GMA | 189.6 | 48.0 | 31.4 | ||
| Second heating scan | |||||
| Sample | Tg COC [°C] | Tm1 PA6 [°C] | Tm2 PA6 [°C] | ΔHm_PA6 [J/g] | χ PA6 [%] |
| PA6COC | 61.0 | 219.3 | 224.0 | 45.6 | 28.3 |
| 5 wt% PE-g-MAH | 62.3 | 217.5 | 224.3 | 42.9 | 28.0 |
| 5 wt% POE-g-MAH | 62.3 | 217.3 | 224.3 | 43.1 | 28.2 |
| 5 wt% E-GMA | 63.9 | 219.5 | 225.6 | 50.1 | 32.8 |
Disclaimer/Publisher’s Note: The statements, opinions and data contained in all publications are solely those of the individual author(s) and contributor(s) and not of MDPI and/or the editor(s). MDPI and/or the editor(s) disclaim responsibility for any injury to people or property resulting from any ideas, methods, instructions or products referred to in the content. |
© 2024 by the authors. Licensee MDPI, Basel, Switzerland. This article is an open access article distributed under the terms and conditions of the Creative Commons Attribution (CC BY) license (https://creativecommons.org/licenses/by/4.0/).
Share and Cite
Perin, D.; Dorigato, A.; Pegoretti, A. Compatibilization of Polyamide 6/Cyclic Olefinic Copolymer Blends for the Development of Multifunctional Thermoplastic Composites with Self-Healing Capability. Materials 2024, 17, 1880. https://doi.org/10.3390/ma17081880
Perin D, Dorigato A, Pegoretti A. Compatibilization of Polyamide 6/Cyclic Olefinic Copolymer Blends for the Development of Multifunctional Thermoplastic Composites with Self-Healing Capability. Materials. 2024; 17(8):1880. https://doi.org/10.3390/ma17081880
Chicago/Turabian StylePerin, Davide, Andrea Dorigato, and Alessandro Pegoretti. 2024. "Compatibilization of Polyamide 6/Cyclic Olefinic Copolymer Blends for the Development of Multifunctional Thermoplastic Composites with Self-Healing Capability" Materials 17, no. 8: 1880. https://doi.org/10.3390/ma17081880
APA StylePerin, D., Dorigato, A., & Pegoretti, A. (2024). Compatibilization of Polyamide 6/Cyclic Olefinic Copolymer Blends for the Development of Multifunctional Thermoplastic Composites with Self-Healing Capability. Materials, 17(8), 1880. https://doi.org/10.3390/ma17081880
