BaHf0.05Ti0.95O3 Ceramics from Sol–Gel and Solid-State Processes: Application to the Modelling of Piezoelectric Energy Harvesters
Abstract
1. Introduction
2. Materials and Methods
2.1. Synthesis of BHT5 Samples
2.1.1. Sol–Gel Samples
2.1.2. Solid-State Samples
2.2. Characterizations
3. Results and Discussions
3.1. Structural Characterizations
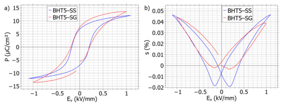
3.2. P–Ev and s–Ev Loops Characterizations
3.3. Impedance Measurements
3.4. Partial Tensors Reconstruction
3.5. Simulations of BHT5-Based Harvesters
4. Conclusions
Author Contributions
Funding
Institutional Review Board Statement
Informed Consent Statement
Data Availability Statement
Acknowledgments
Conflicts of Interest
References
- Coondoo, I.; Panwar, N.; Kholkin, A. Lead-Free Piezoelectrics: Current Status and Perspectives. J. Adv. Dielectr. 2013, 3, 1330002. [Google Scholar] [CrossRef]
- Ferin, G.; Hoang, T.; Bantignies, C.; Le Khanh, H.; Flesch, E.; An, N.-D. Powering Autonomous Wireless Sensors with Miniaturized Piezoelectric Based Energy Harvesting Devices for NDT Applications. In Proceedings of the 2015 IEEE International Ultrasonics Symposium (IUS), Tapai, Taiwan, 21–24 October 2015; pp. 1–4. [Google Scholar]
- Besra, L.; Liu, M. A Review on Fundamentals and Applications of Electrophoretic Deposition (EPD). Prog. Mater. Sci. 2007, 52, 1–61. [Google Scholar] [CrossRef]
- Bardaine, A.; Boy, P.; Belleville, P.; Acher, O.; Levassort, F. Improvement of Composite Sol–Gel Process for Manufacturing 40 μm Piezoelectric Thick Films. J. Eur. Ceram. Soc. 2008, 28, 1649–1655. [Google Scholar] [CrossRef]
- Rödel, J.; Jo, W.; Seifert, K.T.P.; Anton, E.M.; Granzow, T.; Damjanovic, D. Perspective on the Development of Lead-Free Piezoceramics. J. Am. Ceram. Soc. 2009, 92, 1153–1177. [Google Scholar] [CrossRef]
- Priya, S.; Nahm, S. (Eds.) Lead-Free Piezoelectrics; Springer: New York, NY, USA, 2012; ISBN 978-1-4419-9597-1. [Google Scholar]
- Acosta, M.; Novak, N.; Rojas, V.; Patel, S.; Vaish, R.; Koruza, J.; Rossetti, G.A.; Rödel, J. BaTiO3-Based Piezoelectrics: Fundamentals, Current Status, and Perspectives. Appl. Phys. Rev. 2017, 4, 041305. [Google Scholar] [CrossRef]
- Wei, H.; Wang, H.; Xia, Y.; Cui, D.; Shi, Y.; Dong, M.; Liu, C.; Ding, T.; Zhang, J.; Ma, Y.; et al. An Overview of Lead-Free Piezoelectric Materials and Devices. J. Mater. Chem. C Mater. 2018, 6, 12446–12467. [Google Scholar] [CrossRef]
- Tian, H.Y.; Wang, Y.; Miao, J.; Chan, H.L.W.; Choy, C.L. Preparation and Characterization of Hafnium Doped Barium Titanate Ceramics. J. Alloys Compd. 2007, 431, 197–202. [Google Scholar] [CrossRef]
- Brault, D.; Richardot, T.; Boy, P.; Belleville, P.; Levassort, F.; Bavencoffe, M. Synthesis of a Stable and High-Concentration BaHfxTi1−xO3 Sol–Gel for High Electromechanical Performance of Bulk Ceramics. Materials 2023, 16, 7452. [Google Scholar] [CrossRef]
- Elorika, P.; Anwar, S.; Anwar, S. Impact of Synthesis-Induced Disorder on the Structural, Electrical, and Optical Properties of BaTi1-XHfxO3, 0 ≤ x ≤ 0.08. Mater. Res. Bull. 2023, 167, 112424. [Google Scholar] [CrossRef]
- Fernandez, J.; Bindhu, B.; Prabu, M.; Sandhya, K.Y. Structural and Optical Analyses of Sol–Gel Synthesized Hafnium-Doped Barium Calcium Titanate. Bull. Mater. Sci. 2022, 45, 50. [Google Scholar] [CrossRef]
- Belleville, P.; Bigarre, J.; Boy, P.; Montouillout, Y. Stable PZT Sol for Preparing Reproducible High-Permittivity Perovskite-Based Thin Films. J. Solgel Sci. Technol. 2007, 43, 213–221. [Google Scholar] [CrossRef]
- Yin, H.M.; Xu, W.J.; Zhou, H.W.; Zhao, X.Y.; Huang, Y.N. Effects of Phase Composition and Grain Size on the Piezoelectric Properties of HfO2-Doped Barium Titanate Ceramics. J. Mater. Sci. 2019, 54, 12392–12400. [Google Scholar] [CrossRef]
- Krimholtz, R.; Leedom, D.A.; Matthaei, G.L. New Equivalent Circuits for Elementary Piezoelectric Transducers. Electron. Lett. 1970, 6, 398–399. [Google Scholar] [CrossRef]
- Berlincourt, D.; Welsh, F.; Tiersten, H.; Coquin, G.; Warner, A. IEEE Standard on Piezoelectricity. IEEE Trans. Sonics Ultrason. 1984, 31, 1–66. [Google Scholar] [CrossRef]
- Sherrit, S.; Gauthier, N.; Wiederick, H.D.; Mukherjee, B.K. Accurate Evaluation of the Real and Imaginary Material Constants for a Piezoelectric Resonator in the Radial Mode. Ferroelectrics 1991, 119, 17–32. [Google Scholar] [CrossRef]
- Amarande, L. Noniterative Method for Evaluation of the Complex Material Constants of Piezoelectric Ceramics in the Radial Vibration Mode. J. Eur. Ceram. Soc. 2012, 32, 1099–1104. [Google Scholar] [CrossRef]
- Payne, W.H.; Tennery, V.J. Dielectric and Structural Investigations of the System BaTiO3-BaHfO3. J. Am. Ceram. Soc. 1965, 48, 413–417. [Google Scholar] [CrossRef]
- Jo, W.; Dittmer, R.; Acosta, M.; Zang, J.; Groh, C.; Sapper, E.; Wang, K.; Rödel, J. Giant Electric-Field-Induced Strains in Lead-Free Ceramics for Actuator Applications—Status and Perspective. J. Electroceram. 2012, 29, 71–93. [Google Scholar] [CrossRef]
- Wu, Y.; Zhang, J.; Tan, Y.; Zheng, P. Notable Grain-Size Dependence of Converse Piezoelectric Effect in BaTiO3 Ceramics. Ceram. Int. 2016, 42, 9815–9820. [Google Scholar] [CrossRef]
- Burcsu, E.; Ravichandran, G.; Bhattacharya, K. Large Strain Electrostrictive Actuation in Barium Titanate. Appl. Phys. Lett. 2000, 77, 1698–1700. [Google Scholar] [CrossRef]
- Huang, Y.; Zhao, C.; Wu, B.; Zhang, X. Grain Size Effects and Structure Origin in High-Performance BaTiO3-Based Piezoceramics with Large Grains. J. Eur. Ceram. Soc. 2022, 42, 2764–2771. [Google Scholar] [CrossRef]
- Hao, J.; Bai, W.; Li, W.; Zhai, J. Correlation Between the Microstructure and Electrical Properties in High-Performance (Ba0.85Ca0.15)(Zr0.1Ti0.9)O3 Lead-Free Piezoelectric Ceramics. J. Am. Ceram. Soc. 2012, 95, 1998–2006. [Google Scholar] [CrossRef]
- Kalyani, A.K.; Brajesh, K.; Senyshyn, A.; Ranjan, R. Orthorhombic-Tetragonal Phase Coexistence and Enhanced Piezo-Response at Room Temperature in Zr, Sn, and Hf Modified BaTiO3. Appl. Phys. Lett. 2014, 104, 252906. [Google Scholar] [CrossRef]
- Hussain, A.; Kumar, B. Intrinsic Polarization and Resistive Leakage Analyses in High Performance Piezo-/Pyroelectric Ho-Doped 0.64PMN-0.36PT Binary Ceramic. Adv. Powder Technol. 2018, 29, 3124–3137. [Google Scholar] [CrossRef]
- Noguchi, Y.; Matsuo, H.; Kitanaka, Y.; Miyayama, M. Ferroelectrics with a Controlled Oxygen-Vacancy Distribution by Design. Sci. Rep. 2019, 9, 4225. [Google Scholar] [CrossRef] [PubMed]
- Sherrit, S.; Wiederick, H.D.; Mukherjee, B.K. Complete Characterization of the Piezoelectric, Dielectric, and Elastic Properties of Motorola PZT 3203 HD, Including Losses and Dispersion. Med. Imaging 1997 Ultrason. Transducer Eng. 1997, 3037, 158–169. [Google Scholar] [CrossRef]
- Sherrit, S.; Mukherjee, B.K. Characterization of Piezoelectric Materials for Transducers. Dielectr. Ferroelectr. Rev. 2007, 175–244. [Google Scholar] [CrossRef]
- CTS|Ferroperm Piezoceramics Datasheet-Soft-Pz27. Available online: https://www.ferropermpiezoceramics.com/wp-content/uploads/2021/10/Datasheet-soft-pz27.pdf (accessed on 7 March 2024).
- CTS|Ferroperm Piezoceramics Data-for-Modelling. Available online: https://www.ferropermpiezoceramics.com/resources/data-for-modelling/ (accessed on 7 March 2024).
- Stewart, M.; Battrick, W.; Cain, M. NPL Measurement Good Practice Guide No. 44. Available online: https://www.npl.co.uk/gpgs/measuring-piezoelectric-d33-coefficents (accessed on 7 March 2024).
- Yu, Z.; Ang, C.; Guo, R.; Bhalla, A.S. Piezoelectric and Strain Properties of Ba(Ti1−xZrx)O3 Ceramics. J. Appl. Phys. 2002, 92, 1489–1493. [Google Scholar] [CrossRef]
- Tan, Y.; Zhang, J.; Wang, C.; Viola, G.; Yan, H. Enhancement of Electric Field-Induced Strain in BaTiO3 Ceramics through Grain Size Optimization. Phys. Status Solidi A Appl. Mater. Sci. 2015, 212, 433–438. [Google Scholar] [CrossRef]
- Chen, K.; Ma, J.; Wu, J.; Wang, X.; Miao, F.; Huang, Y.; Shi, C.; Wu, W.; Wu, B. Improve Piezoelectricity in BaTiO3-Based Ceramics with Large Electrostriction Coefficient. J. Mater. Sci. Mater. Electron. 2020, 31, 12292–12300. [Google Scholar] [CrossRef]
- Zhao, C.; Zhang, M.-H.; Rödel, J.; Koruza, J. Extrinsic and Intrinsic Contributions to the Electrostrain in Precipitation-Hardened Barium Calcium Titanate. Appl. Phys. Lett. 2022, 121, 162904. [Google Scholar] [CrossRef]
- Liu, L.; Rojac, T.; Damjanovic, D.; Li, J.-F.; Di Michiel, M.; Daniels, J. Reduction of the Lattice Strain with Increasing Field Amplitude in Polycrystalline BiFeO3. Acta Mater. 2022, 240, 118319. [Google Scholar] [CrossRef]
- Longbiao, H.; Xiujuan, F.; Triantafillos, K.; Feng, N.; Bo, Z.; Ping, Y. Comparison between Methods for the Measurement of the D 33 Constant of Piezoelectric Materials. In Proceedings of the 25th International Congress on Sound and Vibration 2018, ICSV 2018: Hiroshima Calling, Hiroshima, Japan, 8–12 July 2018; Volume 1, pp. 77–84. [Google Scholar]
- Hoshina, T.; Hatta, S.; Takeda, H.; Tsurumi, T. Grain Size Effect on Piezoelectric Properties of BaTiO3 Ceramics. Jpn. J. Appl. Phys. 2018, 57, 0902BB. [Google Scholar] [CrossRef]
- Yang, Y.; Zhou, Y.; Ren, J.; Zheng, Q.; Lam, K.H.; Lin, D. Coexistence of Three Ferroelectric Phases and Enhanced Piezoelectric Properties in BaTiO3–CaHfO3 Lead-Free Ceramics. J. Eur. Ceram. Soc. 2018, 38, 557–566. [Google Scholar] [CrossRef]
- Sherrit, S.; Masys, T.J.; Wiederick, H.D.; Mukherjee, B.K. Determination of the Reduced Matrix of the Piezoelectric, Dielectric, and Elastic Material Constants for a Piezoelectric Material with C∞ Symmetry. IEEE Trans. Ultrason. Ferroelectr. Freq. Control 2011, 58, 1714–1720. [Google Scholar] [CrossRef] [PubMed]
- Heywang, W.; Lubitz, K.; Wersing, W. Piezoelectricity; Springer: Berlin/Heidelberg, Germany, 2008; Volume 114, ISBN 978-3-540-68680-4. [Google Scholar]
- Li, Z.; Roscow, J.; Khanbareh, H.; Taylor, J.; Haswell, G.; Bowen, C. A Comprehensive Energy Flow Model for Piezoelectric Energy Harvesters: Understanding the Relationships between Material Properties and Power Output. Mater. Today Energy 2023, 37, 101396. [Google Scholar] [CrossRef]
- Li, H.; Tian, C.; Deng, Z.D. Energy Harvesting from Low Frequency Applications Using Piezoelectric Materials. Appl. Phys. Rev. 2014, 1, 041301. [Google Scholar] [CrossRef]
- Aktakka, E.E.; Najafi, K. A Micro Inertial Energy Harvesting Platform with Self-Supplied Power Management Circuit for Autonomous Wireless Sensor Nodes. IEEE J. Solid-State Circuits 2014, 49, 2017–2029. [Google Scholar] [CrossRef]
- Cook-Chennault, K.A.; Thambi, N.; Sastry, A.M. Powering MEMS Portable Devices—A Review of Non-Regenerative and Regenerative Power Supply Systems with Special Emphasis on Piezoelectric Energy Harvesting Systems. Smart Mater. Struct. 2008, 17, 043001. [Google Scholar] [CrossRef]
- Benchemoul, M.; Ferin, G.; Rosinski, B.; Bantignies, C.; Hoang, T.; Vince, P.; Nguyen-Dinh, A. Wireless Inertial Sensing Platform Self-Powered by Piezoelectric Energy Harvester for Industrial Predictive Maintenance. In Proceedings of the 2018 IEEE International Ultrasonics Symposium (IUS), Kobe, Japan, 22–25 October 2018; pp. 1–4. [Google Scholar]
- Hoang, T.; Bavencoffe, M.; Ferin, G.; Levassort, F.; Bantignies, C.; Nguyen-Dinh, A.; Lethiecq, M.; Poulin-Vittrant, G. Modeling and Electrical Characterization of a Cantilever Beam for Mechanical Energy Harvesting. In Proceedings of the 2018 IEEE International Ultrasonics Symposium (IUS), Kobe, Japan, 22–25 October 2018; pp. 1–4. [Google Scholar]
- Wang, L.; Zhao, L.; Jiang, Z.; Luo, G.; Yang, P.; Han, X.; Li, X.; Maeda, R. High Accuracy Comsol Simulation Method of Bimorph Cantilever for Piezoelectric Vibration Energy Harvesting. AIP Adv. 2019, 9, 095067. [Google Scholar] [CrossRef]
- COMSOL Multiphysics®, Version 6.1; COMSOL AB: Stockholm, Sweden, 2022; Available online: https://cn.comsol.com/ (accessed on 7 March 2024).
- Maiwa, H.; Sakamoto, W. Vibrational Energy Harvesting Using a Unimorph with PZT- or BT-Based Ceramics. Ferroelectrics 2013, 446, 67–77. [Google Scholar] [CrossRef]
- Erturk, A.; Inman, D.J. An Experimentally Validated Bimorph Cantilever Model for Piezoelectric Energy Harvesting from Base Excitations. Smart Mater. Struct. 2009, 18, 025009. [Google Scholar] [CrossRef]
- Ibrahim, S.W.; Ali, W.G. A Review on Frequency Tuning Methods for Piezoelectric Energy Harvesting Systems. J. Renew. Sustain. Energy 2012, 4, 062703. [Google Scholar] [CrossRef]
- Priya, S.; Song, H.-C.; Zhou, Y.; Varghese, R.; Chopra, A.; Kim, S.-G.; Kanno, I.; Wu, L.; Ha, D.S.; Ryu, J.; et al. A Review on Piezoelectric Energy Harvesting: Materials, Methods, and Circuits. Energy Harvest. Syst. 2019, 4, 3–39. [Google Scholar] [CrossRef]
- Yan, X.; Zheng, M.; Hou, Y.; Zhu, M. Composition-Driven Phase Boundary and Its Energy Harvesting Performance of BCZT Lead–Free Piezoelectric Ceramic. J. Eur. Ceram. Soc. 2017, 37, 2583–2589. [Google Scholar] [CrossRef]
- Morimoto, K.; Kanno, I.; Wasa, K.; Kotera, H. High-Efficiency Piezoelectric Energy Harvesters of c-Axis-Oriented Epitaxial PZT Films Transferred onto Stainless Steel Cantilevers. Sens. Actuators A Phys. 2010, 163, 428–432. [Google Scholar] [CrossRef]
- Berdy, D.; Srisungsitthisunti, P.; Jung, B.; Xu, X.; Rhoads, J.; Peroulis, D. Low-Frequency Meandering Piezoelectric Vibration Energy Harvester. IEEE Trans. Ultrason. Ferroelectr. Freq. Control 2012, 59, 846–858. [Google Scholar] [CrossRef]
- Kanno, I.; Ichida, T.; Adachi, K.; Kotera, H.; Shibata, K.; Mishima, T. Power-Generation Performance of Lead-Free (K, Na)NbO3 Piezoelectric Thin-Film Energy Harvesters. Sens. Actuators A Phys. 2012, 179, 132–136. [Google Scholar] [CrossRef]
- Van Minh, L.; Hara, M.; Horikiri, F.; Shibata, K.; Mishima, T.; Kuwano, H. Bulk Micromachined Energy Harvesters Employing (K, Na)NbO3 Thin Film. J. Micromech. Microeng. 2013, 23, 035029. [Google Scholar] [CrossRef]
- Won, S.S.; Lee, J.; Venugopal, V.; Kim, D.-J.; Lee, J.; Kim, I.W.; Kingon, A.I.; Kim, S.-H. Lead-Free Mn-Doped (K0.5, Na0.5)NbO3 Piezoelectric Thin Films for MEMS-Based Vibrational Energy Harvester Applications. Appl. Phys. Lett. 2016, 108, 232908. [Google Scholar] [CrossRef]
- Lin, J.; Cao, Y.; Zhu, K.; Yan, F.; Shi, C.; Bai, H.; Ge, G.; Yang, J.; Yang, W.; Shi, Y.; et al. Ultrahigh Energy Harvesting Properties in Temperature-Insensitive Eco-Friendly High-Performance KNN-Based Textured Ceramics. J. Mater. Chem. A Mater. 2022, 10, 7978–7988. [Google Scholar] [CrossRef]
- Wang, P.; Du, H. ZnO Thin Film Piezoelectric MEMS Vibration Energy Harvesters with Two Piezoelectric Elements for Higher Output Performance. Rev. Sci. Instrum. 2015, 86, 075002. [Google Scholar] [CrossRef] [PubMed]
- Jackson, N.; O’Keeffe, R.; Waldron, F.; O’Neill, M.; Mathewson, A. Evaluation of Low-Acceleration MEMS Piezoelectric Energy Harvesting Devices. Microsyst. Technol. 2014, 20, 671–680. [Google Scholar] [CrossRef]
- Alamin Dow, A.B.; Bittner, A.; Schmid, U.; Kherani, N.P. Design, Fabrication and Testing of a Piezoelectric Energy Microgenerator. Microsyst. Technol. 2014, 20, 1035–1040. [Google Scholar] [CrossRef]
- Song, J.; Zhao, G.; Li, B.; Wang, J. Design Optimization of PVDF-Based Piezoelectric Energy Harvesters. Heliyon 2017, 3, e00377. [Google Scholar] [CrossRef] [PubMed]
- Kim, S.; Towfeeq, I.; Dong, Y.; Gorman, S.; Rao, A.; Koley, G. P(VDF-TrFE) Film on PDMS Substrate for Energy Harvesting Applications. Appl. Sci. 2018, 8, 213. [Google Scholar] [CrossRef]
- Montazer, B.; Sarma, U. Design and Optimization of Quadrilateral Shaped PVDF Cantilever for Efficient Conversion of Energy from Ambient Vibration. IEEE Sens. J. 2018, 18, 3977–3988. [Google Scholar] [CrossRef]








| Samples | ρ (kg/m3) | (MHz/kHz) | σ | (%/%) | (%/%) | ||
| BHT5–SS | 5282 | 2.79/90.31 | 845/1088 | 0.21 | 2/0.6 | 47/33 | |
| BHT5–SG | 5375 | 2.89/85.79 | 659/1027 | 0.32 | 6/0.7 | 53/34 | |
| NAVYIII | 7550 | 2.5/118 | 600/1110 | 0.30 | 0.3/0.2 | 49/54 | |
| NAVYII | 7700 | – | 914/1803 | 0.39 | 1.7/1.1 | 47/59 | |
| Samples | (pm2/N) | (pm2/N) | (pm2/N) | (pm2/N) | (pC/N) | (pC/N) | (°C) |
| BHT5–SS | 11.52 | −2.51 | −6.74 | 41.81 | 300 | −69.39 | 100 |
| BHT5–SG | 11.85 | −3.23 | −4.74 | 21.12 | 263 | −68.22 | 100 |
| NAVYIII | 12.00 | −3.63 | −4.99 | 13.70 | 219 | −112 | 320 |
| NAVYII | 16.95 | −6.60 | −8.61 | 23.20 | 425 | −170 | 350 |
| Samples | FOM | |
|---|---|---|
| BHT5–SS | 4.34 × 10−2 | 5.00 × 10−13 |
| BHT5–SG | 4.32 × 10−2 | 5.12 × 10−13 |
| NAVYIII | 1.06 × 10−1 | 1.28 × 10−12 |
| NAVYII | 1.07 × 10−1 | 1.81 × 10−12 |
| Piezoelectric Material | Fr/Fa (Hz/Hz) | Zr/Za (Ω/Ω) | Pr/Pa (µW/µW) | BWr/BWa (Hz/Hz) |
|---|---|---|---|---|
| BHT5–SS w/o | 156.8/158.4 | 5 × 103/9 × 106 | 0.1905/0.2218 | 0.22/0.21 |
| BHT5–SS w/ | 157.0/158.2 | 7 × 104/5 × 105 | 0.0071/0.0067 | 1.92/2.15 |
| BHT5–SG w/o | 154.0/155.6 | 8 × 103/6 × 106 | 0.1106/0.1210 | 0.26/0.26 |
| BHT5–SG w/ | 154.2/154.6 | 9 × 104/2 × 105 | 0.0057/0.0055 | 2.28/2.79 |
| NAVYIII w/o | 132.4/135.8 | 3 × 103/8 × 107 | 0.2802/0.8579 | 0.21/0.20 |
| NAVYIII w/ | 132.4/135.8 | 1 × 104/5 × 106 | 0.0321/0.0288 | 0.59/0.73 |
| NAVYII w/o | 111.2/114.2 | 1 × 103/7 × 106 | 0.6774/0.1174 | 0.20/0.40 |
| NAVYII w/ | 111.4/113.8 | 6 × 104/6 × 105 | 0.0067/0.0061 | 3.20/3.50 |
| Piezoelectric Material | ρ (kg/m3) | Total Mass (g) | Fur (Hz) | ||
|---|---|---|---|---|---|
| Analytical Model | 3D FE − Model | Δ (%) | |||
| BHT5–SS | 5282 | 2.67 × 10−1 | 156.93 | 158.19 | 0.80 |
| BHT5–SG | 5375 | 2.71 × 10−1 | 153.48 | 155.29 | 1.18 |
| NAVYIII | 7550 | 3.73 × 10−1 | 130.06 | 133.4 | 2.57 |
| NAVYII | 7700 | 3.80 × 10−1 | 108.41 | 112.09 | 3.39 |
| Devices | Power (µW) | Acceleration (g) | Frequency (Hz) | Volume (mm3) | NPD (µW/mm3/Hz/g2) | Piezoelectric Material |
|---|---|---|---|---|---|---|
| This work (BHT5–SS *) | 0.0071 | 0.005 | 157.00 | 49.14 | 3.68 × 10−2 | BT |
| This work (BHT5–SG *) | 0.0057 | 0.005 | 154.20 | 49.14 | 3.01 × 10−2 | BT |
| Yan et al. [55] | 70.000 | 1.000 | 90.000 | 50.00 | 1.56 × 10−2 | BT |
| This work (NAVYIII *) | 0.0321 | 0.005 | 132.40 | 49.14 | 1.97 × 10−1 | PZT |
| This work (NAVYII *) | 0.0056 | 0.005 | 111.40 | 49.14 | 4.09 × 10−2 | PZT |
| Erturk et al. [52] | 23,900 | 1.000 | 45.60 | 3520 | 1.49 × 10−1 | PZT |
| Morimoto et al. [56] | 5.3000 | 0.500 | 126.00 | 4.050 | 4.15 × 10−2 | PZT |
| Berdy et al. [57] | 118.00 | 0.200 | 49.700 | 588.0 | 1.01 × 10−1 | PZT |
| Kanno et al. [58] | 1.1000 | 1.000 | 1036.0 | 11.22 | 9.46 × 10−5 | KNN |
| Van Minh et al. [59] | 0.7310 | 1.000 | 1509.0 | 0.306 | 1.58 × 10−3 | KNN |
| Won et al. [60] | 3.6200 | 1.000 | 132.00 | 2.010 | 1.36 × 10−2 | KNN |
| Lin et al. [61] | 2970.0 | 1.000 | 357.00 | 1100 | 7.56 × 10−3 | KNN |
| Wang et al. [62] | 1.2500 | 1.000 | 1300.1 | 11.50 | 8.36 × 10−5 | ZnO |
| Jackson et al. [63] | 3.5000 | 0.200 | 149.00 | 30.70 | 1.91 × 10−2 | AlN |
| Alamin Dow et al. [64] | 34.780 | 2.000 | 572.00 | 12.76 | 1.19 × 10−3 | AlN |
| Song et al. [65] | 112.80 | 0.500 | 34.400 | 132.6 | 9.89 × 10−2 | PVDF |
| Kim et al. [66] | 18.560 | 1.750 | 30.000 | 280.0 | 7.21 × 10−4 | PVDF |
| Montazer et al. [67] | 40.900 | 1.000 | 164.00 | 41.19 | 6.05 × 10−3 | PVDF |
Disclaimer/Publisher’s Note: The statements, opinions and data contained in all publications are solely those of the individual author(s) and contributor(s) and not of MDPI and/or the editor(s). MDPI and/or the editor(s) disclaim responsibility for any injury to people or property resulting from any ideas, methods, instructions or products referred to in the content. |
© 2024 by the authors. Licensee MDPI, Basel, Switzerland. This article is an open access article distributed under the terms and conditions of the Creative Commons Attribution (CC BY) license (https://creativecommons.org/licenses/by/4.0/).
Share and Cite
Brault, D.; Boy, P.; Levassort, F.; Poulin-Vittrant, G.; Bantignies, C.; Hoang, T.; Bavencoffe, M. BaHf0.05Ti0.95O3 Ceramics from Sol–Gel and Solid-State Processes: Application to the Modelling of Piezoelectric Energy Harvesters. Materials 2024, 17, 1508. https://doi.org/10.3390/ma17071508
Brault D, Boy P, Levassort F, Poulin-Vittrant G, Bantignies C, Hoang T, Bavencoffe M. BaHf0.05Ti0.95O3 Ceramics from Sol–Gel and Solid-State Processes: Application to the Modelling of Piezoelectric Energy Harvesters. Materials. 2024; 17(7):1508. https://doi.org/10.3390/ma17071508
Chicago/Turabian StyleBrault, Damien, Philippe Boy, Franck Levassort, Guylaine Poulin-Vittrant, Claire Bantignies, Thien Hoang, and Maxime Bavencoffe. 2024. "BaHf0.05Ti0.95O3 Ceramics from Sol–Gel and Solid-State Processes: Application to the Modelling of Piezoelectric Energy Harvesters" Materials 17, no. 7: 1508. https://doi.org/10.3390/ma17071508
APA StyleBrault, D., Boy, P., Levassort, F., Poulin-Vittrant, G., Bantignies, C., Hoang, T., & Bavencoffe, M. (2024). BaHf0.05Ti0.95O3 Ceramics from Sol–Gel and Solid-State Processes: Application to the Modelling of Piezoelectric Energy Harvesters. Materials, 17(7), 1508. https://doi.org/10.3390/ma17071508

