Modifying Microstructure and Improving Mechanical Properties of New Ti-Al-V Titanium Alloys via Fe Addition
Abstract
1. Introduction
2. Materials and Experiments
2.1. Materials and Microstructure Characterization
2.2. Nanoindentation Test
3. Results
3.1. Microstructure Evolution
3.2. Nano Micromechanical Properties
3.3. Microstructure Analysis after Nanoindentation
4. Discussion
4.1. Relations Between Fe Content and Elastic Compliance Coefficients
4.2. Schmid Factor Distribution and Slip System Activity
5. Conclusions
- (1)
 - Fe addition can lead to a significant refinement of the lamellar α phase. The mechanical properties of Ti-6Al-4V-xFe alloys are improved with Fe addition. The microhardness increases by 44.87% with 0.9 wt.% of Fe addition. The modulus of Ti-6Al-4V-0.9Fe reaches 91.40 GPa, and it decreases by 18.89%, too. And Fe is also beneficial for wear resistance and plastic deformation resistance due to the increase in the H/Er and H2/Er2 values.
 - (2)
 - According to the morphology of this nanoindentation, the shear lips and pile-ups start to show up when the Fe content is higher than 0.3 wt%. When the Fe content rises from 0 to 0.9 wt.%, the height of the pile-ups rises from 50 μm to about 150 μm. This proves that Fe addition is beneficial for the formation and accumulation of pile-ups.
 - (3)
 - Equations showing the relation between the Fe content and the elastic compliance coefficients were established. And they can be used to design and calculate the elastic modulus of new alloys with different amounts of Fe addition.
 - (4)
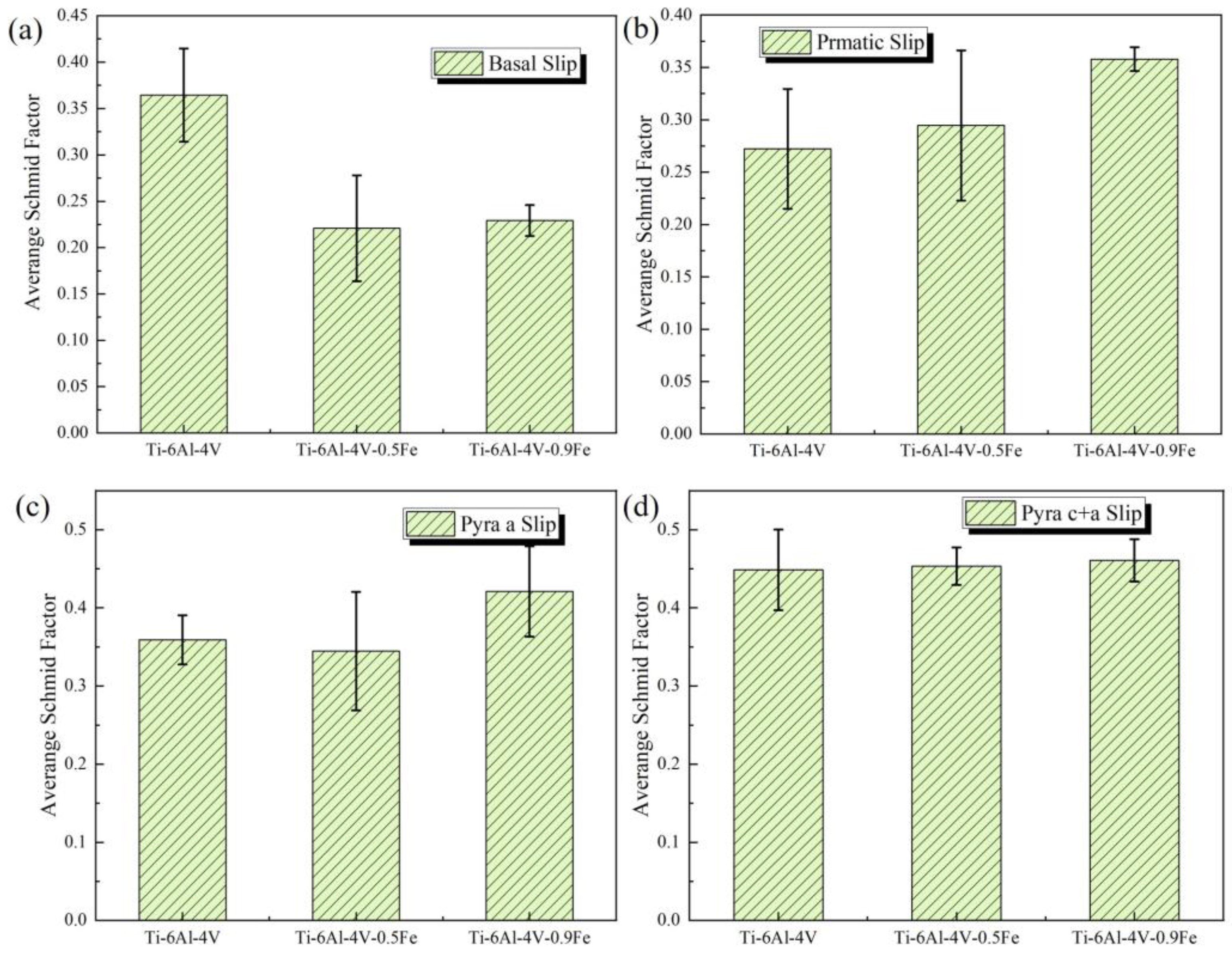
 - The Schmid factors of the different slip systems of Ti-6Al-4V-xFe alloys were studied. The alloys with higher Fe contents presented better slip activities in the prismatic slip {101} <113>, first pyramidal <c + a> slip {101} <113> and second pyramidal <c + a> slip {112} <113> systems.
 
Author Contributions
Funding
Institutional Review Board Statement
Informed Consent Statement
Data Availability Statement
Conflicts of Interest
References
- Ezugwu, E.; Bonney, J.; Yamane, Y. An overview of the machinability of aeroengine alloys. J. Mater. Process. Technol. 2003, 134, 233–253. [Google Scholar] [CrossRef]
 - Lütjering, G.; Williams, J.C. Titanium; Springer Science & Business Media: Berlin/Heidelberg, Germany, 2007. [Google Scholar]
 - Elanchezhian, C.; Ramnath, B.V.; Ramakrishnan, G.; Raghavendra, K.S.; Muralidharan, M.; Kishore, V. Review on metal matrix composites for marine applications. Mater. Today Proc. 2018, 5, 1211–1218. [Google Scholar] [CrossRef]
 - Banerjee, D.; Williams, J. Perspectives on titanium science and technology. Acta Mater. 2013, 61, 844–879. [Google Scholar] [CrossRef]
 - Gurrappa, I. Characterization of titanium alloy Ti-6Al-4V for chemical, marine and industrial applications. Mater. Charact. 2003, 51, 131–139. [Google Scholar] [CrossRef]
 - Zhang, D.; Wang, L.; Zhang, H.; Maldar, A.; Zhu, G.; Chen, W.; Park, J.-S.; Wang, J.; Zeng, X. Effect of heat treatment on the tensile behavior of selective laser melted Ti-6Al-4V by in situ X-ray characterization. Acta Mater. 2020, 189, 93–104. [Google Scholar] [CrossRef]
 - Semiatin, S.; Knisley, S.; Fagin, P.; Barker, D.; Zhang, F. Microstructure evolution during alpha-beta heat treatment of Ti-6Al-4V. Met. Mater. Trans. A 2003, 34, 2377–2386. [Google Scholar] [CrossRef]
 - Shen, G.; Furrer, D. Manufacturing of aerospace forgings. J. Mater. Process. Technol. 2000, 98, 189–195. [Google Scholar] [CrossRef]
 - Zhang, Z.; Qu, S.; Feng, A.; Shen, J. Achieving grain refinement and enhanced mechanical properties in Ti–6Al–4V alloy produced by multidirectional isothermal forging. Mater. Sci. Eng. A 2017, 692, 127–138. [Google Scholar] [CrossRef]
 - Zhao, J.; Ding, H.; Zhao, W.; Jiang, Z. Effects of hydrogen on the hot deformation behaviour of Ti–6Al–4V alloy: Experimental and constitutive model studies. J. Alloy. Compd. 2013, 574, 407–414. [Google Scholar] [CrossRef]
 - Cui, X.; Mi, X.; Luo, Z.; Tao, H.; Lin, C. Effects of Cr Content on the Hot Compression Deformation Behavior of Ti5Mo5V3Al-x Cr Alloys. J. Mater. Eng. Perform. 2015, 24, 67–79. [Google Scholar] [CrossRef]
 - Zhang, D.; Qiu, D.; Gibson, M.A.; Zheng, Y.; Fraser, H.L.; StJohn, D.H.; Easton, M.A. Additive manufacturing of ultrafine-grained high-strength titanium alloys. Nature 2019, 576, 91–95. [Google Scholar] [CrossRef] [PubMed]
 - Niu, J.; Dai, G.; Guo, Y.; Sun, Z.; Dan, Z.; Dong, Y.; Chang, H.; Alexandrov, I.V.; Zhou, L. Microstructure and mechanical properties of B modified Ti–Fe alloy manufactured by casting, forging and laser melting deposition. Compos. Part B Eng. 2021, 216, 108854. [Google Scholar] [CrossRef]
 - Korneva, A.; Straumal, B.; Gornakova, A.; Kilmametov, A.; Gondek, Ł.; Lityńska-Dobrzyńska, L.; Chulist, R.; Pomorska, M.; Zięba, P. Formation and thermal stability of the ω-phase in Ti–Nb and Ti–Mo alloys subjected to HPT. Materials 2022, 15, 4136. [Google Scholar] [CrossRef] [PubMed]
 - Gornakova, A.S.; Straumal, B.B.; Mazilkin, A.A.; Afonikova, N.S.; Karpov, M.I.; Novikova, E.A.; Tyurin, A.I. Phase composition, nanohardness and young’s modulus in Ti-Fe alloys after heat treatment and high pressure torsion. Metals 2021, 11, 1657. [Google Scholar] [CrossRef]
 - Straumal, B.B.; Kilmametov, A.R.; Ivanisenko, Y.; Mazilkin, A.A.; Valiev, R.Z.; Afonikova, N.S.; Gornakova, A.S.; Hahn, H. Diffusive and displacive phase transitions in Ti–Fe and Ti–Co alloys under high pressure torsion. J. Alloys Compd. 2018, 735, 2281. [Google Scholar] [CrossRef]
 - Kilmametov, A.R.; Ivanisenko, Y.; Straumal, B.B.; Gornakova, A.S.; Mazilkin, A.A.; Hahn, H. The α→ ω transformation in titanium-cobalt alloys under high-pressure torsion. Metals 2017, 8, 1. [Google Scholar] [CrossRef]
 - MacLeod, S.G.; Errandonea, D.; Cox, G.A.; Cynn, H.; Daisenberger, D.; Finnegan, S.E.; McMahon, M.I.; A Munro, K.; Popescu, C.; Storm, C.V. The phase diagram of Ti-6Al-4V at high-pressures and high-temperatures. J. Phys. Condens. Matter 2021, 33, 154001. [Google Scholar] [CrossRef]
 - Smith, D.; Joris, O.P.J.; Sankaran, A.; Weekes, H.E.; Bull, D.J.; Prior, T.J.; Dye, D.; Errandonea, D.; Proctor, J.E. On the high-pressure phase stability and elastic properties of β-titanium alloys. J. Phys. Condens. Matter 2017, 29, 155401. [Google Scholar] [CrossRef]
 - Errandonea, D.; Meng, Y.; Somayazulu, M.; Häusermann, D. Pressure-induced α → ω transition in titanium metal: A systematic study of the effects of uniaxial stress. Phys. B Condens. Matter 2005, 355, 116–125. [Google Scholar] [CrossRef]
 - Sandlöbes, S.; Korte-Kerzel, S.; Raabe, D. On the influence of the heat treatment on microstructure formation and mechanical properties of near-α Ti-Fe alloys. Mater. Sci. Eng. A 2019, 748, 301–312. [Google Scholar] [CrossRef]
 - Niu, J.; Guo, Y.; Li, K.; Liu, W.; Dan, Z.; Sun, Z.; Chang, H.; Zhou, L. Improved mechanical, bio-corrosion properties and in vitro cell responses of Ti-Fe alloys as candidate dental implants. Mater. Sci. Eng. C 2021, 122, 111917. [Google Scholar] [CrossRef] [PubMed]
 - Chen, F.; Gu, Y.; Xu, G.; Cui, Y.; Chang, H.; Zhou, L. Improved fracture toughness by microalloying of Fe in Ti-6Al-4V. Mater. Des. 2020, 185, 108251. [Google Scholar] [CrossRef]
 - Liao, Y.; Bai, J.; Chen, F.; Xu, G.; Cui, Y. Microstructural strengthening and toughening mechanisms in Fe-containing Ti-6Al-4V: A comparison between homogenization and aging treated states. J. Mater. Sci. Technol. 2021, 99, 114–126. [Google Scholar] [CrossRef]
 - Rabadia, C.; Liu, Y.; Cao, G.; Li, Y.; Zhang, C.; Sercombe, T.; Sun, H.; Zhang, L. High-strength β stabilized Ti-Nb-Fe-Cr alloys with large plasticity. Mater. Sci. Eng. A 2018, 732, 368–377. [Google Scholar] [CrossRef]
 - Cai, J.; Li, F.; Liu, T.; Chen, B. Microindentation study of Ti–6Al–4V alloy. Mater. Des. 2011, 32, 2756–2762. [Google Scholar] [CrossRef]
 - Ehtemam-Haghighi, S.; Cao, G.; Zhang, L.-C. Nanoindentation study of mechanical properties of Ti based alloys with Fe and Ta additions. J. Alloy. Compd. 2017, 692, 892–897. [Google Scholar] [CrossRef]
 - Jun, T.S.; Armstrong, D.E.; Britton, T.B. A nanoindentation investigation of local strain rate sensitivity in dual-phase Ti alloys. J. Alloy. Compd. 2016, 672, 282–291. [Google Scholar] [CrossRef]
 - Dong, J.; Li, F.; Wang, C. Micromechanical behavior study of α phase with different morphologies of Ti–6Al–4V alloy by microindentation. Mater. Sci. Eng. A 2013, 580, 105–113. [Google Scholar] [CrossRef]
 - Ma, X.; Chen, Z.; Lu, W.; Xiao, L. Continuous multi-cycle nanoindentation behavior of a gradient nanostructured metastable β titanium alloy fabricated by rotationally accelerated shot peening. Mater. Sci. Eng. A 2021, 799, 140370. [Google Scholar] [CrossRef]
 - Zhou, Y.; Fan, Q.; Liu, X.; Wang, D.; Zhu, X. Experimental study and crystal plasticity finite element simulations of nano-indentation-induced lattice rotation and the underlying mechanism in TC6 single α-grain. Mater. Des. 2020, 188, 108423. [Google Scholar] [CrossRef]
 - Wen, Y.; Xie, L.; Wang, Z.; Wang, L.; Lu, W.; Zhang, L.C. Nanoindentation characterization on local plastic response of Ti-6Al-4V under high-load spherical indentation. J. Mater. Res. Technol. 2019, 8, 3434–3442. [Google Scholar] [CrossRef]
 - Hochstetter, G.; Jimenez, A.; Loubet, J.L. Strain-rate effects on hardness of glassy polymers in the nanoscale range. Comparison between quasi-static and continuous stiffness measurements. J. Macromol. Sci. Part B 1999, 38, 681–692. [Google Scholar] [CrossRef]
 - Vlassak, J.J.; Ciavarella, M.; Barber, J.R.; Wang, X. The indentation modulus of elastically anisotropic materials for indenters of arbitrary shape. J. Mech. Phys. Solids 2003, 51, 1701–1721. [Google Scholar] [CrossRef]
 - Castillo, A.; Kalidindi, S.R. A Bayesian framework for the estimation of the single crystal elastic parameters from spherical indentation stress-strain measurements. Front. Mater. 2019, 6, 136. [Google Scholar] [CrossRef]
 - Weaver, J.S.; Priddy, M.W.; McDowell, D.L.; Ralidindi, S. On capturing the grain-scale elastic and plastic anisotropy of alpha-Ti with spherical nanoindentation and electron back-scattered diffraction. Acta Mater. 2016, 117, 23–34. [Google Scholar] [CrossRef]
 - Hong, B.O.; Jiang, W.; Duarte, L.; Leinenbach, C.; Liu, L.B.; Liu, H.S.; Jin, Z.P. Thermodynamic re-assessment of Fe–Ti binary system. Trans. Nonferrous Met. Soc. China 2012, 22, 2204–2211. [Google Scholar]
 - Liu, Y.; Wang, H.; Zhu, S.; Wang, J.; Xu, G.; Chen, F.; Cui, Y. Mapping of microstructure features and micromechanical properties of Ti–xAl–yFe (x = 0–6, y = 4–10 wt.%) alloys via diffusion couple method. J. Mater. Res. Technol. 2022, 18, 3526–3540. [Google Scholar] [CrossRef]
 - Hynowska, A.; Pellicer, E.; Fornell, J.; González, S.; Van Steenberge, N.; Suriñach, S.; Gebert, A.; Calin, M.; Eckert, J.; Baró, M.D. Nanostructured β-phase Ti–31.0 Fe–9.0 Sn and sub-μm structured Ti–39.3 Nb–13.3 Zr–10.7 Ta alloys for biomedical applications: Microstructure benefits on the mechanical and corrosion performances. Mater. Sci. Eng. C 2012, 32, 2418–2425. [Google Scholar] [CrossRef]
 - Musil, J.; Kunc, F.; Zeman, H.; Polakova, H. Relationships between hardness, Young’s modulus and elastic recovery in hard nanocomposite coatings. Surf. Coat. Technol. 2002, 154, 304–313. [Google Scholar] [CrossRef]
 - Li, P.; Ma, X.; Tong, T.; Wang, Y. Microstructural and mechanical properties of β-type Ti–Mo–Nb biomedical alloys with low elastic modulus. J. Alloys Compd. 2020, 815, 152412. [Google Scholar] [CrossRef]
 - Yang, B.; Vehoff, H. Grain size effects on the mechanical properties of nanonickel examined by nanoindentation. Mater. Sci. Eng. A 2005, 400, 467–470. [Google Scholar] [CrossRef]
 - Lian, J.; Garay, J.E.; Wang, J. Grain size and grain boundary effects on the mechanical behavior of fully stabilized zirconia investigated by nanoindentation. Scr. Mater. 2007, 56, 1095–1098. [Google Scholar] [CrossRef]
 - Majumdar, P.; Singh, S.; Chakraborty, M. Elastic modulus of biomedical titanium alloys by nano-indentation and ultrasonic techniques—A comparative study. Mater. Sci. Eng. A 2008, 489, 419–425. [Google Scholar] [CrossRef]
 - Prasad, Y.; Seshacharyulu, T.; Medeiros, S.; Frazier, W. Effect of preform microstructure on the hot working mechanisms in ELI grade Ti–6Al–4V: Transformed β v. equiaxed (α+ β). Mater. Sci. Technol. 2000, 16, 511–516. [Google Scholar] [CrossRef]
 - Ruzic, J.; Emura, S.; Ji, X.; Watanabe, I. Mo segregation and distribution in Ti–Mo alloy investigated using nanoindentation. Mater. Sci. Eng. A 2018, 718, 48–55. [Google Scholar] [CrossRef]
 - Balasubramanian, S.; Anand, L. Plasticity of initially textured hexagonal polycrystals at high homologous temperatures: Application to titanium. Acta Mater. 2002, 50, 133–148. [Google Scholar] [CrossRef]
 - Liu, Z.; Li, P.; Xiong, L.; Liu, T.; He, L. High-temperature tensile deformation behavior and microstructure evolution of Ti55 titanium alloy. Mater. Sci. Eng. A 2017, 680, 259–269. [Google Scholar] [CrossRef]
 











| Alloys | Ti | Al | V | Fe | C | N | O | H | 
|---|---|---|---|---|---|---|---|---|
| Ti-6Al-4V | Bal. | 5.98 | 4.10 | 0.03 | 0.014 | 0.003 | 0.083 | 0.0052 | 
| Ti-6Al-4V-0.1Fe | Bal. | 5.92 | 4.05 | 0.13 | 0.015 | 0.006 | 0.080 | 0.0057 | 
| Ti-6Al-4V-0.3Fe | Bal. | 5.99 | 4.09 | 0.33 | 0.012 | 0.004 | 0.084 | 0.0045 | 
| Ti-6Al-4V-0.5Fe | Bal. | 5.95 | 4.07 | 0.52 | 0.014 | 0.003 | 0.076 | 0.0043 | 
| Ti-6Al-4V-0.7Fe | Bal. | 5.92 | 4.02 | 0.73 | 0.016 | 0.005 | 0.081 | 0.0045 | 
| Ti-6Al-4V-0.9Fe | Bal. | 5.99 | 4.10 | 0.91 | 0.013 | 0.004 | 0.083 | 0.0048 | 
| Fe Content (%) | ||||
|---|---|---|---|---|
| 0 | 0.0203 | 0.0171 | 10.8974 | −5.4775 | 
| 0.1 | −0.4306 | −1.7423 | −6.5351 | 3.5589 | 
| 0.3 | −0.5298 | −1.5535 | −21.3689 | 10.9309 | 
| 0.5 | −0.2709 | 0.2251 | −10.5407 | 6.9905 | 
| 0.7 | 0.0526 | 1.0872 | −1.0952 | −0.0729 | 
| 0.9 | 0.0073 | 0.0071 | −6.0096 | 3.0124 | 
| Fe Content (wt.%) | Basal | Prismatic | Pyra <a> | Pyra <c + a> | 
|---|---|---|---|---|
| 0 | 0.3644 | 0.2722 | 0.3591 | 0.4486 | 
| 0.5 | 0.2208 | 0.2945 | 0.3446 | 0.4533 | 
| 0.9 | 0.2292 | 0.3579 | 0.4210 | 0.4608 | 
Disclaimer/Publisher’s Note: The statements, opinions and data contained in all publications are solely those of the individual author(s) and contributor(s) and not of MDPI and/or the editor(s). MDPI and/or the editor(s) disclaim responsibility for any injury to people or property resulting from any ideas, methods, instructions or products referred to in the content.  | 
© 2024 by the authors. Licensee MDPI, Basel, Switzerland. This article is an open access article distributed under the terms and conditions of the Creative Commons Attribution (CC BY) license (https://creativecommons.org/licenses/by/4.0/).
Share and Cite
Dai, G.; Gu, H.; Zhang, J.; Jiang, J.; Sun, J.; Sun, Z. Modifying Microstructure and Improving Mechanical Properties of New Ti-Al-V Titanium Alloys via Fe Addition. Materials 2024, 17, 5161. https://doi.org/10.3390/ma17215161
Dai G, Gu H, Zhang J, Jiang J, Sun J, Sun Z. Modifying Microstructure and Improving Mechanical Properties of New Ti-Al-V Titanium Alloys via Fe Addition. Materials. 2024; 17(21):5161. https://doi.org/10.3390/ma17215161
Chicago/Turabian StyleDai, Guoqing, Hai Gu, Jie Zhang, Jie Jiang, Jianhua Sun, and Zhonggang Sun. 2024. "Modifying Microstructure and Improving Mechanical Properties of New Ti-Al-V Titanium Alloys via Fe Addition" Materials 17, no. 21: 5161. https://doi.org/10.3390/ma17215161
APA StyleDai, G., Gu, H., Zhang, J., Jiang, J., Sun, J., & Sun, Z. (2024). Modifying Microstructure and Improving Mechanical Properties of New Ti-Al-V Titanium Alloys via Fe Addition. Materials, 17(21), 5161. https://doi.org/10.3390/ma17215161
        