Experimental Evaluation of Compressive Properties of Early-Age Mortar and Concrete Hollow-Block Masonry Prisms within Construction Stages
Abstract
1. Introduction
2. Compressive Properties of Masonry
3. Experimental Investigation of Compressive Properties of Early-Age Mortar Cubes
3.1. Test Setup for Evaluating Compressive Strength of Mortar Cube
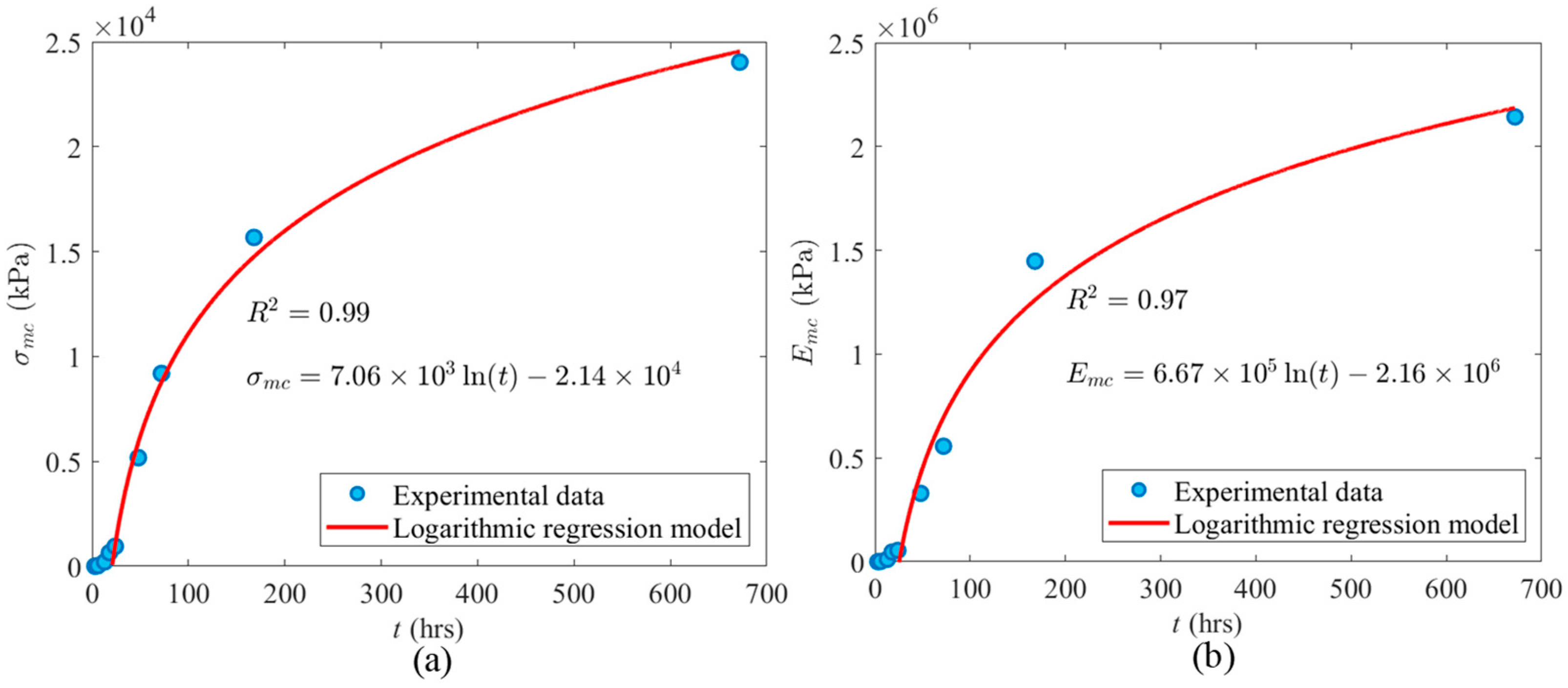
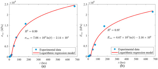
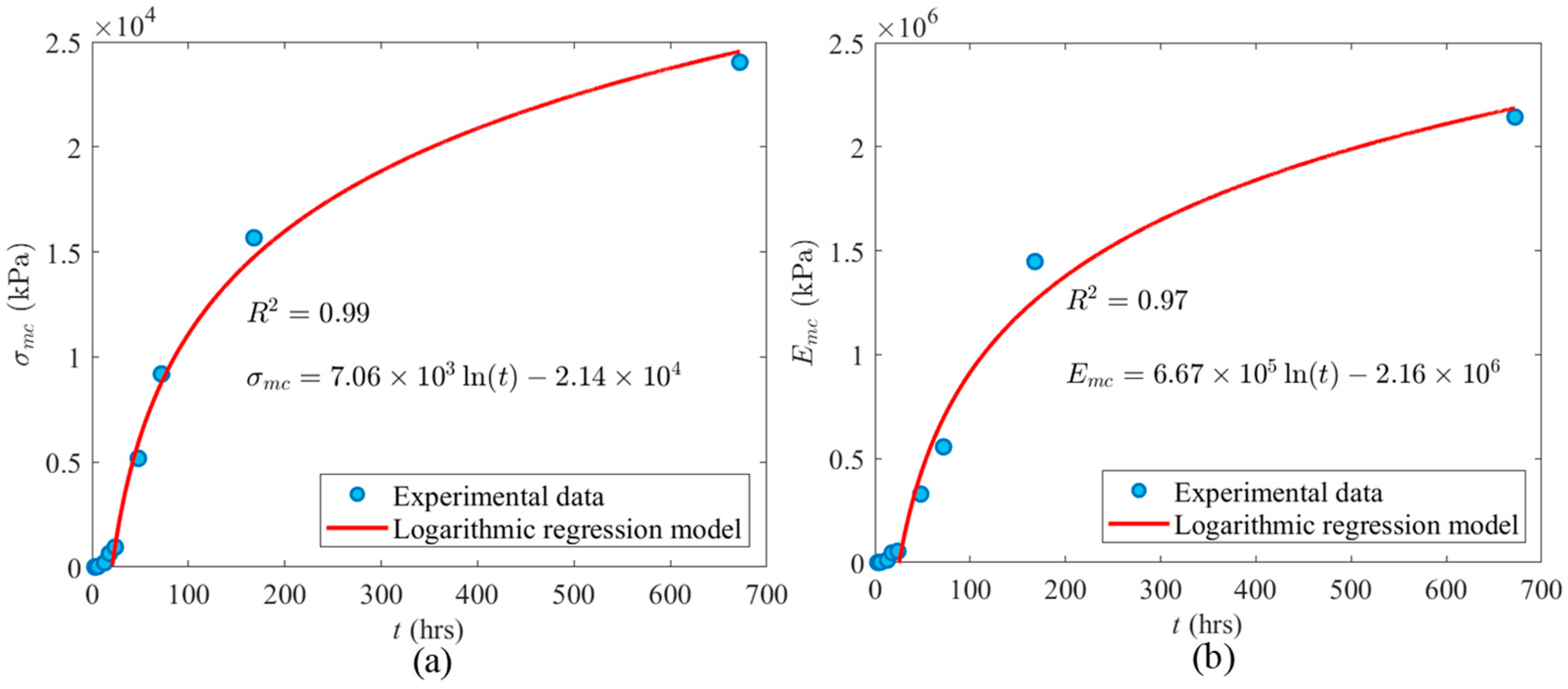
3.2. Results and Discussions
4. Experimental Investigation of Compressive Properties of Early-Age Masonry Prisms
4.1. Test Setup for Comprehensive Tests of Masonry Prisms
4.2. Results and Discussions
5. Conclusions
- The variation in the results of early-age mortar cubes and masonry prism testing was considerable. Therefore, the number of tests should be greater than the minimum number of tests suggested in masonry codes. For example, CSA-A179 recommends a minimum of six samples for fully cured mortar cube compressive testing; however, this study suggested an average of 20 tests for each t to minimize COV (less than 20–25%). Moreover, the threshold of 50% difference from the average of the data, suggested in masonry codes, was not enough for the analysis of early-age masonry data. Therefore, outlier analysis was necessary, as it reduced the COV of some groups of data by over 80%.
- Based on regression analysis, the σ-ε behavior of mortar cubes regarding all t groups, as well as the regression models for σmc and Emc against t can be predicted for any t groups, which were even not addressed in the experimental study, with R2 of more than 0.95. σ-ε plot of t ≤ 18 h samples does not have any peak points. Therefore, this study suggested a threshold of 0.03 for ε as the failure of samples by adjusting the maximum usable ε for masonry elements in the ultimate limit state design method presented in masonry design codes. Moreover, the PE model was edited based on the output of this research. Only the parabolic part of the PE model should be used for the samples with t ≤ 18 h. However, the original PE model, including both parabolic and linear parts (regarding the ascending and descending parts of the σ-ε plot, respectively), can be applied for the analysis of samples older than 18 h.
- Emc and σmc increased logarithmically as t increased, and the developed regression models did not intersect the origin because mortar cubes tested at ages less than 20.8 h had not yet undergone their primary hydration phase and there was no cohesion to the mortar itself. In this case, the failure mode was more akin to a soil failure than the shear compression failure (conical shear pattern) associated with fully cured cementitious materials. For example, 24 h mortar obtains only ~5% of σmc of fully cured mortar. However, the failure mode of older mortar cubes (t > 20.8 h) was like the failure mode of fully cured mortar or concrete (conical shear failure mode) because of the formation of calcium silicate hydrate and calcium hydroxide.
- Like mortar cubes, the failure mode of masonry prisms depends on the hydration phase of the mortar. The failure mode of masonry prisms regarding t ≤ 20.8 h, when the primary hydration phase has not started yet, is determined by the failure of mortar, which is deformation and detachment. However, the failure mode of prisms after the start of the hydration phase (t > 20.8 h) depends on the failure mode of blocks. Based on the results, concrete blocks follow the failure modes presented in ASTM-C1314, including conical break, cone and shear, cone and split, tension break, semi-conical break, shear break, and face shell separation.
- Regarding the performance perspective, there was a practical limit to the compressive loads that could be resisted by the early-age masonry without detracting from the appearance and excessive smooshing of the mortar joint, which of course would be qualitative. For example, 18 h samples obtained only ~13% of their full compressive strength. However, regarding the life safety perspective, the compressive failure load for masonry prisms was independent from t.
Author Contributions
Funding
Institutional Review Board Statement
Informed Consent Statement
Data Availability Statement
Acknowledgments
Conflicts of Interest
References
- Khan, K.; Amin, M.N. Influence of fineness of volcanic ash and its blends with quarry dust and slag on compressive strength of mortar under different curing temperatures. Constr. Build. Mater. 2017, 154, 514–528. [Google Scholar] [CrossRef]
- Luso, E.; Lourenço, P.B. Bond strength characterization of commercially available grouts for masonry. Constr. Build. Mater. 2017, 144, 317–326. [Google Scholar] [CrossRef]
- AMI-20; Building Structure Cost Comparison Report: Multi-Residential Structures. Atlantic Masonry Institute: Dartmouth, NS, Canada, 2020. Available online: https://www.canadamasonrydesigncentre.com/research/building-structure-cost-comparison-study-in-atlantic-canada-multi-residential-structures/ (accessed on 30 July 2024).
- Abasi, A.; Hassanli, R.; Vincent, T.; Manalo, A. Influence of prism geometry on the compressive strength of concrete masonry. Constr. Build. Mater. 2020, 264, 120182. [Google Scholar] [CrossRef]
- Hassanli, R.; ElGawady, M.A.; Mills, J.E. Effect of dimensions on the compressive strength of concrete masonry prisms. Adv. Civ. Eng. Mater. 2015, 4, 175–201. [Google Scholar] [CrossRef]
- Drougkas, A.; Roca, P.; Molins, C. Compressive strength and elasticity of pure lime mortar masonry. Mater. Struct. 2016, 49, 983–999. Available online: https://link.springer.com/article/10.1617/s11527-015-0553-2 (accessed on 30 July 2024). [CrossRef]
- Abasi, A.; Hassanli, R.; Vincent, T.; Manalo, A. Dependency of the compressive strength of concrete masonry on prism’s size. In Proceedings of the 14th Canadian Masonry Symposium, Quebec, QC, Canada, 17–20 May 2021. [Google Scholar]
- Łątka, D. Prediction of Mortar Compressive Strength Based on Modern Minor-Destructive Tests. Materials 2023, 16, 2402. [Google Scholar] [CrossRef] [PubMed]
- Bolhassani, M.; Hamid, A.A.; Lau, A.C.W.; Moon, F. Simplified micro modeling of partially grouted masonry assemblages. Constr. Build. Mater. 2015, 83, 159–173. [Google Scholar] [CrossRef]
- ACI-530; Building Code Requirements and Specification for Masonry Structures and Companion Commentaries. American Concrete Institute: Farmington Hills, MI, USA, 2013.
- TMS-402/602; Building Code Requirements and Specifications for Masonry Structures. The Masonry Society: Longmont, CO, USA, 2016.
- CSA-S304; Design of Masonry Structures. Canadian Standards Association: Mississauga, ON, Canada, 2014.
- Abasi, A.; Sadhu, A.; Dunphy, K.; Banting, B. Evaluation of tensile properties of early-age concrete-block masonry assemblages. Constr. Build. Mater. 2023, 369, 130542. [Google Scholar] [CrossRef]
- Dunphy, K.; Sadhu, A.; Banting, B. Experimental and numerical investigation of tensile properties of early-age masonry. Mater. Struct. 2021, 54, 1–18. Available online: https://link.springer.com/article/10.1617/s11527-021-01635-8 (accessed on 30 July 2024). [CrossRef]
- MCAA-12; Standard Practice for Bracing Masonry Walls Under Construction. Mason Contractors Association of America: Algonquin, IL, USA, 2012. Available online: https://masoncontractors.org/2013/01/09/standard-practice-for-bracing-masonry-walls-under-construction-now-available/ (accessed on 30 July 2024).
- CSA-A371; Masonry Construction for Buildings. Canadian Standards Association: Mississauga, ON, Canada, 2014.
- Jin, Z.; Asce, S.M.; Gambatese, J.; Asce, M. Exploring the potential of technological innovations for temporary structures: A survey study. J. Constr. Eng. Manag. 2020, 146, 04020049. Available online: https://ascelibrary.org/doi/abs/10.1061/%28ASCE%29CO.1943-7862.0001828 (accessed on 30 July 2024). [CrossRef]
- IMI. Internal Bracing Design Guide for Masonry Walls Under Construction; International Masonry Institute: Bowie, MD, USA, 2013. [Google Scholar]
- NBC-20; National Building Code of Canada. National Research Council Canada: Ottawa, ON, Canada, 2020.
- ASTM-C270; Standard Specification for Mortar for Unit Masonry. American Society for Testing and Materials: Philadelphia, PA, USA, 2019. Available online: https://www.astm.org/c0270-19ae01.html (accessed on 30 July 2024).
- CSA-A179; Mortar and Grout for Unit Masonry. Canadian Standards Association: Mississauga, ON, Canada, 2014.
- ASTM-C109; Standard Test Method for Compressive Strength of Hydraulic Cement Mortars (Using 2-in. or [50-mm] Cube Specimens). American Society for Testing and Materials: Philadelphia, PA, USA, 2013. Available online: https://webstore.ansi.org/Standards/ASTM/astmc109c109m13?gclid=CjwKCAjwo_KXBhAaEiwA2RZ8hNnl2xAlPHVlwy3SaCEpPiEfMsmPQizlTCLPdQqasRNqzkquZtrw2xoCM2cQAvD_BwE (accessed on 30 July 2024).
- Kandymov, N.; Mohd Hashim, N.F.; Ismail, S.; Durdyev, S. Derivation of Empirical Relationships to Predict Cambodian Masonry Strength. Materials 2022, 15, 5030. [Google Scholar] [CrossRef] [PubMed]
- Nalon, G.H.; Ribeiro, J.C.L.; Pedroti, L.G.; da Silva, R.M.; de Araújo, E.N.D.; Santos, R.F.; de Lima, G.E.S. Review of recent progress on the compressive behavior of masonry prisms. Constr. Build. Mater. 2022, 320, 126181. [Google Scholar] [CrossRef]
- Wu, J.; Bai, G.; Kang, K.; Liu, Y.; Wang, P.; Fu, S. Compressive Strength and Block-Mortar Bond of a New-Type of Insulation Hollow Block. IOP Conf. Ser. Mater. Sci. Eng. 2018, 381, 012024. Available online: https://iopscience.iop.org/article/10.1088/1757-899X/381/1/012024 (accessed on 30 July 2024). [CrossRef]
- Martins, R.O.G.; Nalon, G.H.; Alvarenga, R.d.C.S.S.; Pedroti, L.G.; Ribeiro, J.C.L. Influence of blocks and grout on compressive strength and stiffness of concrete masonry prisms. Constr. Build. Mater. 2018, 182, 233–241. [Google Scholar] [CrossRef]
- Ravula, M.B.; Subramaniam, K.V.L. Experimental investigation of compressive failure in masonry brick assemblages made with soft brick. Mater. Struct. 2017, 50, 1–11. Available online: https://link.springer.com/article/10.1617/s11527-016-0926-1 (accessed on 30 July 2024). [CrossRef]
- Obaidat, A.T.; El Ezz, A.A.; Galal, K. Compression behavior of confined concrete masonry boundary elements. Eng. Struct. 2017, 132, 562–575. [Google Scholar] [CrossRef]
- Thamboo, J.A.; Dhanasekar, M. Correlation between the performance of solid masonry prisms and wallettes under compression. J. Build. Eng. 2019, 22, 429–438. [Google Scholar] [CrossRef]
- Sarhat, S.R.; Sherwood, E.G. The prediction of compressive strength of ungrouted hollow concrete block masonry. Constr. Build. Mater. 2014, 58, 111–121. [Google Scholar] [CrossRef]
- Caldeira, F.E.; Nalon, G.H.; de Oliveira DS Pedroti, L.G.; Ribeiro, J.C.L.; Ferreira, F.A.; de Carvalho, J.M.F. Influence of joint thickness and strength of mortars on the compressive behavior of prisms made of normal and high-strength concrete blocks. Constr. Build. Mater. 2020, 234, 117419. [Google Scholar] [CrossRef]
- Fonseca, F.S.; Fortes, E.S.; Parsekian, G.A.; Camacho, J.S. Compressive strength of high-strength concrete masonry grouted prisms. Constr. Build. Mater. 2019, 202, 861–876. [Google Scholar] [CrossRef]
- Henrique Nalon, G.; Santos, C.F.R.; Pedroti, L.G.; Ribeiro, J.C.L.; Veríssimo, G.d.S.; Ferreira, F.A. Strength and failure mechanisms of masonry prisms under compression, flexure and shear: Components’ mechanical properties as design constraints. J. Build. Eng. 2020, 28, 101038. [Google Scholar] [CrossRef]
- AbdelRahman, B.; Galal, K. Influence of pre-wetting, non-shrink grout, and scaling on the compressive strength of grouted concrete masonry prisms. Constr. Build. Mater. 2020, 241, 117985. [Google Scholar] [CrossRef]
- Ouyang, J.; Wu, F.; Lü, W.; Huang, H.; Zhou, X. Prediction of compressive stress-strain curves of grouted masonry. Constr. Build. Mater. 2019, 229, 116826. [Google Scholar] [CrossRef]
- Wan, D.; Liu, R.; Gao, T.; Jing, D.; Lu, F. Effect of Alkanolamines on the Early-Age Strength and Drying Shrinkage of Internal Curing of Mortars. Appl. Sci. 2022, 12, 9536. [Google Scholar] [CrossRef]
- Zahra, T.; Thamboo, J.; Asad, M. Compressive strength and deformation characteristics of concrete block masonry made with different mortars, blocks and mortar beddings types. J. Build. Eng. 2021, 38, 102213. [Google Scholar] [CrossRef]
- Zhou, Q.; Wang, F.; Zhu, F.; Yang, X. Stress-strain model for hollow concrete block masonry under uniaxial compression. Mater. Struct. 2017, 50, 1–12. [Google Scholar] [CrossRef]
- Liu, B.; Drougkas, A.; Sarhosis, V. A material characterisation framework for assessing brickwork masonry arch bridges: From material level to component level testing. Constr. Build. Mater. 2023, 397, 132347. [Google Scholar] [CrossRef]
- Thamboo, J. Performance of masonry columns confined with composites under axial compression: A state-of-the-art review. Constr. Build. Mater. 2021, 274, 121791. [Google Scholar] [CrossRef]
- Kaushik, H.B.; Rai, D.C.; Jain, S.K. Stress-Strain Characteristics of Clay Brick Masonry under Uniaxial Compression. J. Mater. Civ. Eng. 2007, 19, 728–739. Available online: https://ascelibrary.org/doi/abs/10.1061/%28ASCE%290899-1561%282007%2919%3A9%28728%29 (accessed on 30 July 2024). [CrossRef]
- Mohamad, G.; Fonseca, F.S.; Vermeltfoort, A.T.; Martens, D.R.W.; Lourenço, P.B. Strength, behavior, and failure mode of hollow concrete masonry constructed with mortars of different strengths. Constr. Build. Mater. 2017, 134, 489–496. [Google Scholar] [CrossRef]
- Lakshani, M.M.T.; Jayathilaka, T.K.G.A.; Thamboo, J.A. Experimental investigation of the unconfined compressive strength characteristics of masonry mortars. J. Build. Eng. 2020, 32, 101558. [Google Scholar] [CrossRef]
- Drysdale, R.; Hamid, A. Masonry Structures: Behavior and Design; Canada Masonry Design Center (CMDC): Mississauga, ON, Canada, 2005. [Google Scholar]
- Drougkas, A.; Verstrynge, E.; Hayen, R.; Van Balen, K. The confinement of mortar in masonry under compression: Experimental data and micro-mechanical analysis. Int. J. Solids Struct. 2019, 162, 105–120. [Google Scholar] [CrossRef]
- CSA-A3004; Test Methods and Standard Practices for Cementitious Materials for Use in Concrete and Masonry. Canadian Standards Association: Mississauga, ON, Canada, 2013.
- Tronci, E.M.; De Angelis, M.; Betti, R.; Altomare, V. Vibration-based structural health monitoring of a RC-masonry tower equipped with non-conventional TMD. Eng. Struct. 2020, 224, 111212. [Google Scholar] [CrossRef]
- Sarr, C.A.T.; Chataigner, S.; Gaillet, L.; Godin, N. Nondestructive evaluation of FRP-reinforced structures bonded joints using acousto-ultrasonic: Towards diagnostic of damage state. Constr. Build. Mater. 2021, 313, 125499. [Google Scholar] [CrossRef]
- ASTM-E111; Standard Test Method for Young’s Modulus, Tangent Modulus, and Chord Modulus. American Society for Testing and Materials: Philadelphia, PA, USA, 2017.
- Nazar, M.E.; Sinha, S.N. Loading-unloading curves of interlocking grouted stabilised sand-flyash brick masonry. Mater. Struct. 2007, 40, 667–678. Available online: https://link.springer.com/article/10.1617/s11527-006-9177-x (accessed on 30 July 2024). [CrossRef]
- Cavaleri, L.; Failla, A.; La Mendola, L.; Papia, M. Experimental and analytical response of masonry elements under eccentric vertical loads. Eng. Struct. 2005, 27, 1175–1184. [Google Scholar] [CrossRef]
- Priestley, M.J.N.; Elder, D.M. Stress-strain curves for unconfined and confined concrete masonry. ACI J. Proc. 1983, 80, 192–201. [Google Scholar]
- Dejaeghere, I.; Sonebi, M.; De Schutter, G. Influence of nano-clay on rheology, fresh properties, heat of hydration and strength of cement-based mortars. Constr. Build. Mater. 2019, 222, 73–85. [Google Scholar] [CrossRef]
- Zagaroli, A.; Kubica, J.; Galman, I.; Falkjar, K. Study on the Mechanical Properties of Two General-Purpose Cement–Lime Mortars Prepared Based on Air Lime. Materials 2024, 17, 1001. [Google Scholar] [CrossRef]
- ASTM-C1716; Standard Specification for Compression Testing Machine Requirements for Concrete Masonry Units, Related Units, and Prisms. American Society for Testing and Materials: Philadelphia, PA, USA, 2021.
- ASTM-C1314; Standard Test Method for Compressive Strength of Masonry Prisms. American Society for Testing and Materials: Philadelphia, PA, USA, 2018.
- CSA-A165; CSA Standards on Concrete Masonry Units. Canadian Standards Association: Mississauga, ON, Canada, 2014.













| t (h) | ε Corresponding to the Inflection Points |
|---|---|
| 3 | 0.005 |
| 4 | 0.007 |
| 6 | 0.014 |
| 13 | 0.009 |
| 18 | 0.010 |
| 24 | 0.015 |
| 48 | 0.014 |
| 72 | 0.017 |
| 168 | 0.012 |
| 672 | 0.0126 |
| t (h) | N | Emc (kPa) | σmc (kPa) | εmc | a | b | c | d | R2 (Cubic) | R2 (Linear) |
|---|---|---|---|---|---|---|---|---|---|---|
| 3 | 16 | 1.96 × 102 | 4.96 | 0.030 | −0.911 | 1.58 | - | - | 0.63 | - |
| 4 | 13 | 3.16 × 102 | 6.89 | 0.030 | −0.995 | 1.36 | - | - | 0.61 | - |
| 6 | 15 | 1.46 × 103 | 3.22 × 101 | 0.030 | −0.684 | 1.67 | - | - | 0.75 | - |
| 13 | 11 | 1.21 × 104 | 2.08 × 102 | 0.030 | −0.896 | 1.92 | - | - | 0.92 | - |
| 18 | 15 | 4.66 × 104 | 6.45 × 102 | 0.029 | −1.58 | 2.48 | - | - | 0.64 | - |
| 24 | 11 | 5.45 × 104 | 9.48 × 102 | 0.024 | −1.13 | 2.10 | −0.064 | 1.03 | 0.62 | 0.53 |
| 48 | 12 | 3.29 × 105 | 5.18 × 103 | 0.021 | −0.847 | 1.85 | −0.314 | 1.32 | 0.72 | 0.57 |
| 72 | 14 | 5.56 × 105 | 9.19 × 103 | 0.017 | −0.628 | 1.66 | −0.296 | 1.33 | 0.61 | 0.49 |
| 168 | 10 | 1.45 × 106 | 1.56 × 104 | 0.014 | −0.880 | 1.90 | −0.457 | 1.47 | 0.66 | 0.73 |
| 672 | 11 | 2.14 × 106 | 2.40 × 104 | 0.012 | −0.506 | 1.53 | −0.483 | 1.51 | 0.84 | 0.71 |
| t (h) (COV%) | N | σm * (kPa) (COV%) | δm ** (mm) (COV%) | εm (COV%) | σ Corresponding to Displacement of 1.17 mm (kPa) | σ Corresponding to Displacement of 3 mm (kPa) |
|---|---|---|---|---|---|---|
| 6 (6.6%) | 10 | 1.16 × 104 (8.7%) | 1.15 × 101 (19.3%) | - | 3.81 × 102 | 1.27 × 103 |
| 18 (4.6%) | 5 | 1.10 × 104 (8.1%) | 1.07 × 101 (15.3%) | - | 1.60 × 103 | 4.10 × 103 |
| 168 (0.5%) | 10 | 1.15 × 104 (13.2%) | 1.36 (29.4%) | 0.003 (29.4%) | 1.15 × 104 | - |
Disclaimer/Publisher’s Note: The statements, opinions and data contained in all publications are solely those of the individual author(s) and contributor(s) and not of MDPI and/or the editor(s). MDPI and/or the editor(s) disclaim responsibility for any injury to people or property resulting from any ideas, methods, instructions or products referred to in the content. |
© 2024 by the authors. Licensee MDPI, Basel, Switzerland. This article is an open access article distributed under the terms and conditions of the Creative Commons Attribution (CC BY) license (https://creativecommons.org/licenses/by/4.0/).
Share and Cite
Abasi, A.; Banting, B.; Sadhu, A. Experimental Evaluation of Compressive Properties of Early-Age Mortar and Concrete Hollow-Block Masonry Prisms within Construction Stages. Materials 2024, 17, 3970. https://doi.org/10.3390/ma17163970
Abasi A, Banting B, Sadhu A. Experimental Evaluation of Compressive Properties of Early-Age Mortar and Concrete Hollow-Block Masonry Prisms within Construction Stages. Materials. 2024; 17(16):3970. https://doi.org/10.3390/ma17163970
Chicago/Turabian StyleAbasi, Ali, Bennett Banting, and Ayan Sadhu. 2024. "Experimental Evaluation of Compressive Properties of Early-Age Mortar and Concrete Hollow-Block Masonry Prisms within Construction Stages" Materials 17, no. 16: 3970. https://doi.org/10.3390/ma17163970
APA StyleAbasi, A., Banting, B., & Sadhu, A. (2024). Experimental Evaluation of Compressive Properties of Early-Age Mortar and Concrete Hollow-Block Masonry Prisms within Construction Stages. Materials, 17(16), 3970. https://doi.org/10.3390/ma17163970

