Abstract
Highly doped graphene samples show reduced conductance and enhanced shot-noise power compared with standard ballistic systems in two-dimensional electron gas. These features can be understood within a model that assumes incoherent scattering of Dirac electrons between two interfaces separating the sample and the leads. Here we find, by adopting the above model for the edge-free (Corbino) geometry and by computer simulation of quantum transport, that another graphene-specific feature should be observable when the current flow through a doped disk is blocked by a strong magnetic field. When the conductance drops to zero, the Fano factor approaches the value of , with a very weak dependence on the ratio of the disk radii. The role of finite source-drain voltages and the system behavior when the electrostatic potential barrier is tuned from a rectangular to a parabolic shape are also discussed.
1. Introduction
Although the electronic properties of matter are governed by the rules of quantum mechanics [1], it is very unlikely to find that any measurable characteristic of a macroscopic system is determined solely by the universal constants of nature, such as the elementary charge (e) or the Planck constant (h). In the last century, two notable exceptions arrived with the phenomena of superconductivity [2], namely, the quantization of the magnetic flux piercing the superconducting circuit, which is the multiplicity of the flux quantum [3,4], and the ac Josephson effect, with the universal frequency-to-voltage ratio given by [5]. Later, with the advent of semiconducting heterostructures [6], came the quantum Hall effect [7,8,9,10,11,12] and the conductance quantization [13], bringing us the conductance quantum (with the degeneracy , 2, or 4). The further development of nanosystems led to the observation of the Aharonov–Bohm effect, which is manifested by magnetoconductance oscillations with the period [14], as well as the universal conductance fluctuations [15,16,17,18], characterized by a variance , with an additional symmetry-dependent prefactor (, 2, or 4). A related but slightly different issue concerns the Wiedemann–Franz (WF) law, which defines the Lorentz number, (with the Boltzmann constant ) [2], as the proportionality coefficient between the electronic part of the thermal conductivity and the electrical conductivity multiplied by the absolute temperature. Although the WF law is obeyed with a few percent accuracy in various condensed matter systems it has never been shown to have metrological accuracy [19,20,21,22,23,24].
Some new ‘magic numbers’ similar to those mentioned above have arrived with the discovery of graphene, an atomically thin form of carbon [11,12]. For undoped graphene samples, charge transport is dominated by transport via evanescent modes [25], resulting in the universal dc conductivity accompanied by the sub-Poissonian shot noise, with a Fano factor [26,27,28,29,30,31]. For high frequencies, the ac conductivity is given by , which leads to the quantized visible-light opacity (where is the fine-structure constant) [32,33,34]. A possible new universal value is predicted for the maximum absolute thermopower, which approaches near the charge neutrality point, for both monolayer and gapless bilayer graphene [35,36,37,38,39].
Away from the charge-neutrality point, ballistic graphene samples exhibit sub-Sharvin charge transport [40,41], characterized by a conductance reduced by a factor of compared with standard Sharvin contacts in two-dimensional electron gas (2DEG) [42,43]. What is more, the shot noise is enhanced (compared with 2DEG) up to far from the charge-neutrality [30,31]. The detailed dependence of the above factors on the sample geometry has recently been discussed in analytical terms [41], using the example of an edge-free (Corbino) setup, characterized by the inner radius, , and the outer radius, (see Figure 1). It is further found in Refs. [40,41] that the ballistic values of the conductance and the Fano factor are gradually restored when the potential barrier, which defines a sample area in the effective Dirac–Weyl Hamiltonian, evolves from a rectangular toward a parabolic shape.
Figure 1.
(a) Schematic of Corbino disk in graphene, with the inner radius, , and the outer radius, , contacted by two circular electrodes (dark areas). A voltage source drives a current through the disk. A separate gate electrode (not shown) allows us to tune the carrier concentration around the neutrality point. The coordinate system is also shown. (b) Cross section of the electrostatic potential profile given by Equation (2) with (i.e., the rectangular barrier) at . (c) Zoom-in of a single barrier, for , showing also the profiles for and 8, with symbolic representations of the incident and reflected waves in inner electrode () and the transmitted wave in outer electrode (), with the amplitudes r and t corresponding to the Fermi energy . (d–f) Characteristic values of the magnetic field separating different transport regimes. At , the cyclotron diameter , and the particle leaving the inner lead approaches the outer lead regardless of the initial direction (d). At , we have , and only the trajectory tangent to the inner lead reaches the outer lead (e). For higher fields, classical trajectories do not contribute to the charge transport, which is possibly only if the resonance with the Landau level occurs for , with (f).
Here we focus on the Corbino geometry, which is often considered when discussing fundamental aspects of graphene [25,44,45,46,47,48,49,50,51,52,53,54,55]. In this geometry, charge transport at high magnetic fields is unaffected by edge states, allowing bulk transport properties to be studied [48,49,50,51,52,53,54]. Recently, we have shown numerically that the thermoelectric properties in such a situation are determined by the energy interval separating consecutive Landau levels rather than by the transport gap (being the energy interval, for which the cyclotron diameter ) [55]. In this paper, we address the question of how the shot noise behaves when the tunneling conductance regime is entered by increasing the magnetic field at a fixed doping (or decreasing the doping at a fixed field) such that . Going beyond the linear-response regime, we find that the threshold voltage, , defined as the source-drain voltage difference that activates the current at minimum doping, is accompanied by the quasi-universal (i.e., weakly dependent on the radii ratio ) value of . The robustness of the effect is also analyzed when smoothing the electrostatic potential barrier.
The paper is organized as follows. In Section 2 we briefly present the effective Dirac Hamiltonian and the numerical approach used in the remaining parts of the paper. In Section 3, we derive an approximation for the transmission through a doped Corbino disk at non-zero magnetic field and subsequent formulas for the charge-transfer characteristics: the conductance and the Fano factor. Our numerical results, for both the rectangular and the smooth potential barriers, are presented in Section 4. The conclusions are given in Section 5.
2. Model and Methods
2.1. Dirac Equation for the Disk Geometry
Our analysis of the device schematically shown in Figure 1 starts from the effective wave equation for Dirac fermions in graphene, near the K valley,
where the Fermi velocity is given by , with eV the nearest-neighbor hopping integral and nm the lattice parameter, is the in-plane momentum operator, and we choose the symmetric gauge corresponding to the perpendicular, uniform magnetic field , and , where are the Pauli matrices. For the forthcoming numerical calculations, we set (in the physical units) eV·nm, and T−1·nm−2. The electrostatic potential energy in Equation (1), , is given by
where we have defined . In particular, the limit of corresponds to the rectangular barrier (with a cylindrical symmetry); any finite defines a smooth potential barrier, interpolating between the parabolic () and rectangular shapes. In principle, barrier smoothing can be regarded as a feature of a self-consistent solution resulting from carrier diffusion; we expect this feature to be strongly dependent on the experimental details, with graphene-on-hBN devices [49] showing rectangular rather than smooth profiles.
The symmetry of the problem allows one to search for the wave function in the form
where is the total angular-momentum quantum number, the components , , and we have introduced the polar coordinates . Substituting the above into Equation (1) brings us to the system of ordinary differential equations
where primes denote derivatives with respect to r.
2.2. Analytic Solutions
For the disk area, , Equations (4) and (5) must typically be integrated numerically; key details of the procedure are presented in Appendix A. Here we focus on the special case of the rectangular barrier (), for which some analytical solutions have been reported [44,45,56].
In particular, in the absence of a magnetic field (), the spinors corresponding to different j-s can be written as linear combinations [44]
where [] is the Hankel function of the first [second] kind, , the doping sign (with indicating electron doping and indicating hole doping), and , are arbitrary complex coefficients. For , Equation (6) is replaced by [45,56]
where , (with , ), and
with for , , and . and are the confluent hypergeometric functions [57].
For the leads, or , the electrostatic potential energy is constant, . We further assume and (electron doping) in the leads, which allows us to adapt the wave function given by Equation (6); i.e., for the inner lead, ,
and for the outer lead ,
where , and we have introduced the reflection and transmission coefficient. The first spinor in each of Equations (9) and (10) represents the incoming (i.e., propagating from ) wave, and the second spinor in Equation (9) represents the outgoing (propagating from ) wave.
2.3. Mode-Matching Method
Since the current-density operator following from Equation (1), , does not involve differentiation, the mode-matching conditions for and reduce to the equalities for spinor components, namely
The resulting formula for the transmission probability for the j-th mode becomes particularly simple if we consider the limit of heavily doped leads, . In particular, for , substituting Equation (6) into the above gives [58]
where
Probably, the most surprising feature of the above result is that taking the limit of does not give for all j-s; instead, there is a set of for . (The corresponding discussion for the Corbino disk in 2DEG can be found in Ref. [44].)
Analogously, for one finds, using Equations (7) and (8),
where is the Euler Gamma function, and
For , one obtains .
Details of numerical mode-matching, applicable to smooth potentials, are given in Appendix A.
2.4. Landauer–Büttiker Formalism
If the nanoscopic system is connected to external reservoirs, characterized by the electrochemical potentials and (for simplicity, the two reservoirs are considered; for a more general discussion, see Ref. [59]), the conductance of the system is related to the transmission probabilities for normal modes (-s) by
where denotes the average electric current and the zero-temperature limit is taken. The conductance quantum is , taking into account spin and valley degeneracies. is the effective voltage difference between the reservoirs (note that the actual voltage applied may differ from due to charge-screening effects). Similarly, the Fano factor, which relates the current variance, , to the value , which one would measure in the absence of correlations between scattering events (occurring, e.g., in the tunneling limit of for all j-s), is given by
where , with denoting the time of the measurement.
For the sake of completeness, we emphasize here that the non-interacting Landauer–Büttiker formalism, as presented above, is valid for weak currents, when the system-reservoir distinction is possible. Generalizations for strong coupling [60,61], as well as for many-body correlated nanosystems [62], have recently been proposed. However, such situations are beyond the scope of the present work.
In the linear-response regime (), Equations (16) and (17) reduce to
and
where . For the disk geometry, the summation range is limited by the number of propagating modes in the inner lead, where is the floor function of x. (For heavily doped leads, .) Experimentally obtained conductance spectra for suspended graphene disks [48] show relatively good agreement with the formula following from Equations (12), (13), and (18), provided that an adjustable parameter, quantifying the contact resistance between the electrodes and the sample, is taken into account. To the best of our knowledge, noise measurements for the disk geometry are still missing.
As a notable example, let us consider the zero-doping limit (). In such a case, Equation (14) can be simplified as follows [45,63]
where is the flux piercing the disk area, and we have defined . Assuming the narrow-disk range, , we can approximate the sums occurring in Equations (18) and (19) by integrals, obtaining
The above reproduces the pseudodiffusive conductance and the shot-noise power for a disk geometry [44]. For larger , both characteristics are predicted to show approximately sinusoidal conductance oscillations with the field B [45,63,64].
The case of the doped disk, for which one may expect to observe some features of the sub-Sharvin charge transport [40,41], is discussed next.
3. Approximate Conductance and Fano Factor at Magnetic Field
Before calculating the conductance, G, and the Fano factor, F, within the mode-matching method described in Section 2, we first present the approximation formulas for the incoherent transport, obtained by adapting the derivation of Ref. [41] for the case.
In short, the approximation is based on two key assumptions. (i) We neglect the evanescent waves, which are present in the exact solutions from which one obtains for arbitrarily large , see Equations (12)–(15). In turn, zero linear-response conductance, see Equation (18), is expected for . In such a range, the approximate Fano factor given by Equation (19) will be undefined (since the actual value of F is governed by evanescent waves); however, the limit of could still be taken (and is not necessarily determined by the evanescent contribution). In addition, (ii) the incoherent scattering is assumed, i.e., the phase gained by the wave propagating in the sample area is assumed to be random, eliminating the resonances with Landau levels present in the exact solution [55].
3.1. Corbino Disk in Graphene as a Double Barrier
A key step in the derivation is the observation that in the multimode regime (), for which one can consider well-defined trajectories, the disk symmetry causes the incident angles and , corresponding to the interfaces at and (see Figure 2), to remain constant (up to the sign) after multiple scattering. Therefore, the double-contact formula for incoherent transmission [65,66] can be applied, namely
where the transmission probabilities , , corresponding to a potential step of infinite height, are given by
and is assumed to be a random phase acquired during the propagation between and (or vice versa). Similarly, we calculate the incoherent squared transmission, which is useful when evaluating the Fano factor,
Figure 2.
Propagation between consecutive scatterings (red lines with arrows) on interfaces at and in a uniform magnetic field . A zoom-in showing an arc of single cyclotron orbit centered at , with radius , and incident angles (for ) and (for ).
Next, the incoherent conductance in the linear-response regime is evaluated by inserting (22) into Equation (18),
with
By analogy, for the Fano factor we can derive the following from Equation (19)
The summation over modes is approximated in Equations (25) and (27) by averaging over the variable , in the range of . Explicitly,
where the lower integration limit () is defined by the value of , below which the trajectory cannot reach the outer interface (). (In other words, for , the geometric derivation below yields ).
The missing elements, necessary to calculate in Equation (28), are the dependence of on and B (see Equations (22)–(24)), as well as the dependence of on B.
Since we have assumed constant electrostatic potential energy in the disk area, the trajectory between successive scatterings (see Figure 2) forms an arc, with the constant radius
(i.e., the cyclotron radius for a massless Dirac particle at ), centered at the distance from the origin. Now, solving the two triangles with a common edge, (dashed line) and the opposite vertices in two scattering points, we find
(for the triangle containing a scattering point at ), and
(for the triangle containing the scattering point at ). Together, Equations (30) and (31) lead to
Subsequently, the value of in Equation (28) is given by
where we have additionally defined
3.2. The Zero-Field Limit
3.3. The Zero-Conductance Limit
In the this paper, we focus on the limit of (i.e., B approaching from below), for which . By introducing the dimensionless , one can express the cyclotron diameter, see Equation (29), as
In turn, the value , see Equation (33), can be approximated (up to the leading order in ) as follows
It is now convenient to define the variable
so that the integration over , which occurs when evaluating from Equation (28), can be replaced by an integration over . The transmission probabilities (, ) for the interfaces at and , see Equations (22)–(24) and (32), can now be approximated as
where we have used again.
Using the above expressions, we can now rewrite the averages in Equation (28), up to the leading order in , as follows
Remarkably, both quantities decay as , but their ratio, which appears in Equation (27) for the Fano factor, remains constant (for a given a). The integrals in Equations (42) and (43) can be calculated analytically, resulting in
In particular, for , which represents the narrow-disk limit of , the above reduces to
Numerical values of and for selected are given in Table 1. For , we see that the Poissonian value of , which could be expected due to the vanishing conductance, is reconstructed only for (i.e., for ). For finite radii ratios, non-trivial values of occur. Remarkably, for moderate disk proportions (), shows very weak dependence on a, decaying by less than (from at to for ).
For this reason, in the following numerical analysis, we fixed the disk radii ratio at (i.e., ). We also emphasize that the above derivation holds true for the parameter , which quantifies the ratio of the cyclotron diameter, , to the radius difference, , see Equation (37). Therefore, it is irrelevant whether one increases the magnetic field at a fixed chemical potential, or decreases the chemical potential at a fixed (as long as the system stays in a multimode range, ).
4. Results and Discussion
The main doubt that arises when we consider the applicability of Equation (44) to real quantum systems concerns the possible role of evanescent waves, which are completely neglected in our derivation. Obviously, they should not play an important role when the system is highly conducting (such as in the zero-field case [41]); however, since the Fano factor is determined by the ratio of two cumulants, both of which vanish for sufficiently high fields, it is not entirely clear which contribution (from propagating or from evanescent modes) would determine the value of F for . On the other hand, resonances with Landau levels are not expected to play a significant role, as they form very narrow transmission peaks whose contributions are immediately smeared out beyond the linear-response regime.
In the remaining parts of the paper, we compare the results of the computer simulation of quantum transport through the disk in graphene with the predictions for incoherent scattering presented in Section 3, in an attempt to propose an experimental procedure that allows one to extract the nontrivial value of from the data plagued by other contributions.
4.1. The Rectangular Barrier of an Infinite Height
As a first numerical example, we took the limit of and in Equation (2), for which close-form expressions for the transmission probabilities were presented in Section 2.
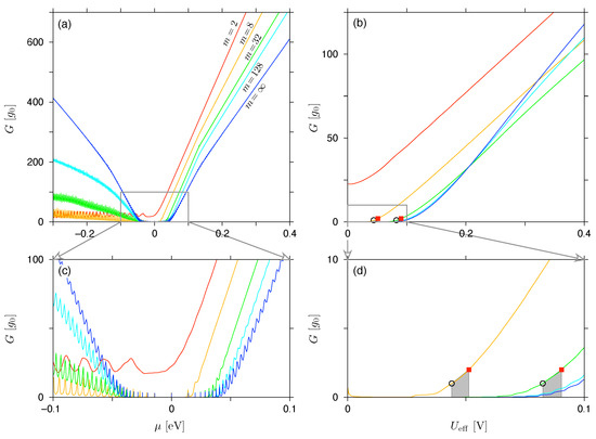
In Figure 3, we compare the linear-response conductance, , see Equation (18), with calculated from Equation (16) for a small but non-zero value of V, both shown as functions of the chemical potential. Also in Figure 3 the same comparison is presented for the Fano factor, (see Equations (19) and (17)). It is easy to see that the prominent aperiodic oscillations visible for both charge-transfer cumulants in the limit are significantly reduced, even for small . In fact, for V and , the values of calculated from Equation (27) (black lines) are closely followed by obtained from the numerical mode matching, as long as the former can be defined, i.e., for at a given . We also note that the value of for which and is accompanied by (up to the order of magnitude). For smaller , such that and is undefined, saturates near the value , apparently below the Poissonian limit of .
Figure 3.
(a,b) Conductance and (c,d) the Fano factor for the Corbino disk in graphene with the radii nm, and the rectangular potential barrier (i.e., and in Equation (2)) displayed as functions of the chemical potential. The values of magnetic field are (red solid lines in all plots), T (green solid lines), and T (blue solid lines). Inset in (a) is a zoom-in, with black dashed lines depicting the incoherent conductance, see Equation (25). (a,c) show the linear-response results, see Equations (18) and (19); the datasets in (b,d) are obtained from Equations (16) and (17) with V. Remaining lines in (c,d) (black solid, black dotted, and black dashed) mark the incoherent Fano factor, see Equation (27); the values of magnetic field are specified for lines in (c), and are the same in (d). (For , horizontal lines mark , corresponding to , see Table 1).
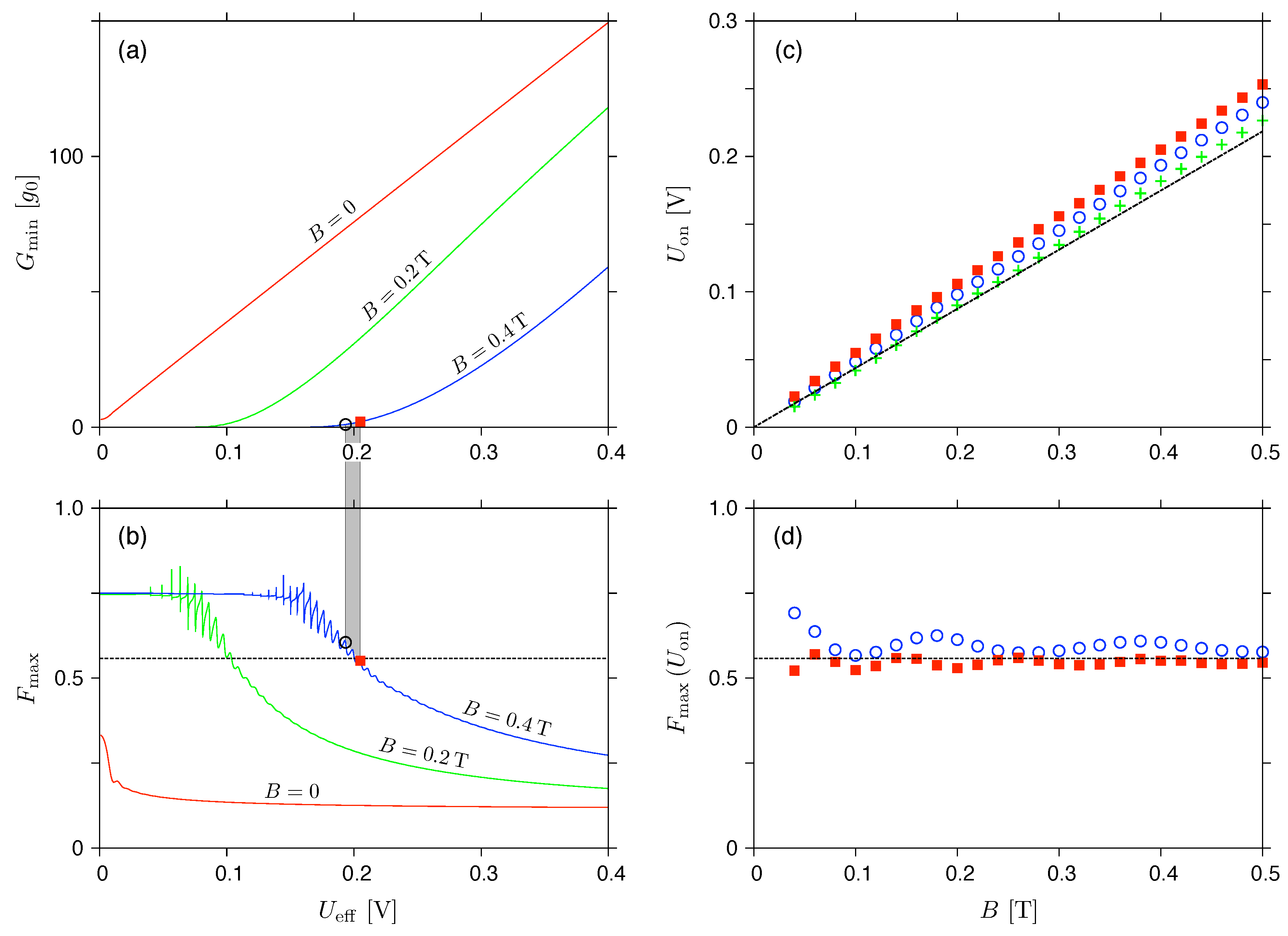
To better understand the nature of the results, we now (see Figure 4) go further beyond the linear-response regime, and calculate and for (note that for an infinite rectangular barrier we have the particle-hole symmetry, and both cumulants are even upon ), and display them as functions of .
Figure 4.
(a,b) Minimal conductivity () and maximal Fano factor (), see Equations (16) and (17), corresponding to the chemical potential fixed at , versus the effective voltage. The magnetic field (B) is specified for each line. (c) The activation voltage, defined via (blue open circles), (red solid squares), or obtained from scaling according to Equation (47) (green crosses), displayed versus the magnetic field. (d) The Fano factor corresponding to shown in (c). Horizontal dashed lines in (b,d) mark the value of for (see Table 1). Dashed line in (c) depicts the approximation given in Equation (46). The remaining system parameters are same as in Figure 3.
Next, we introduce the activation voltage , the meaning of which can be understood as follows. The cyclotron diameter, see Equation (29), naturally defines the range of energies for which and the system shows (up to the evanescent modes). On the other hand, since we have set , the effective voltage defines the energy range of , which is the integration interval in Equations (16) and (17). As a consequence, is expected for , which can be approximated as
where we have simply rewritten the equality , neglecting the evanescent modes.
Looking at the conductance spectra shown in Figure 4a, we see for that a wide range of lower , for which , is attached (via a cusp region) to the range of (approximately linearly) increasing G. To determine the value of directly from the conductance spectra, , we numerically find the value of such that , and such that , see the datapoints in Figure 4a. Then the linear extrapolation is performed to obtain
so that . The resulting values of , depicted in Figure 4c (datapoints), stay close to given by Equation (46) (dashed line).
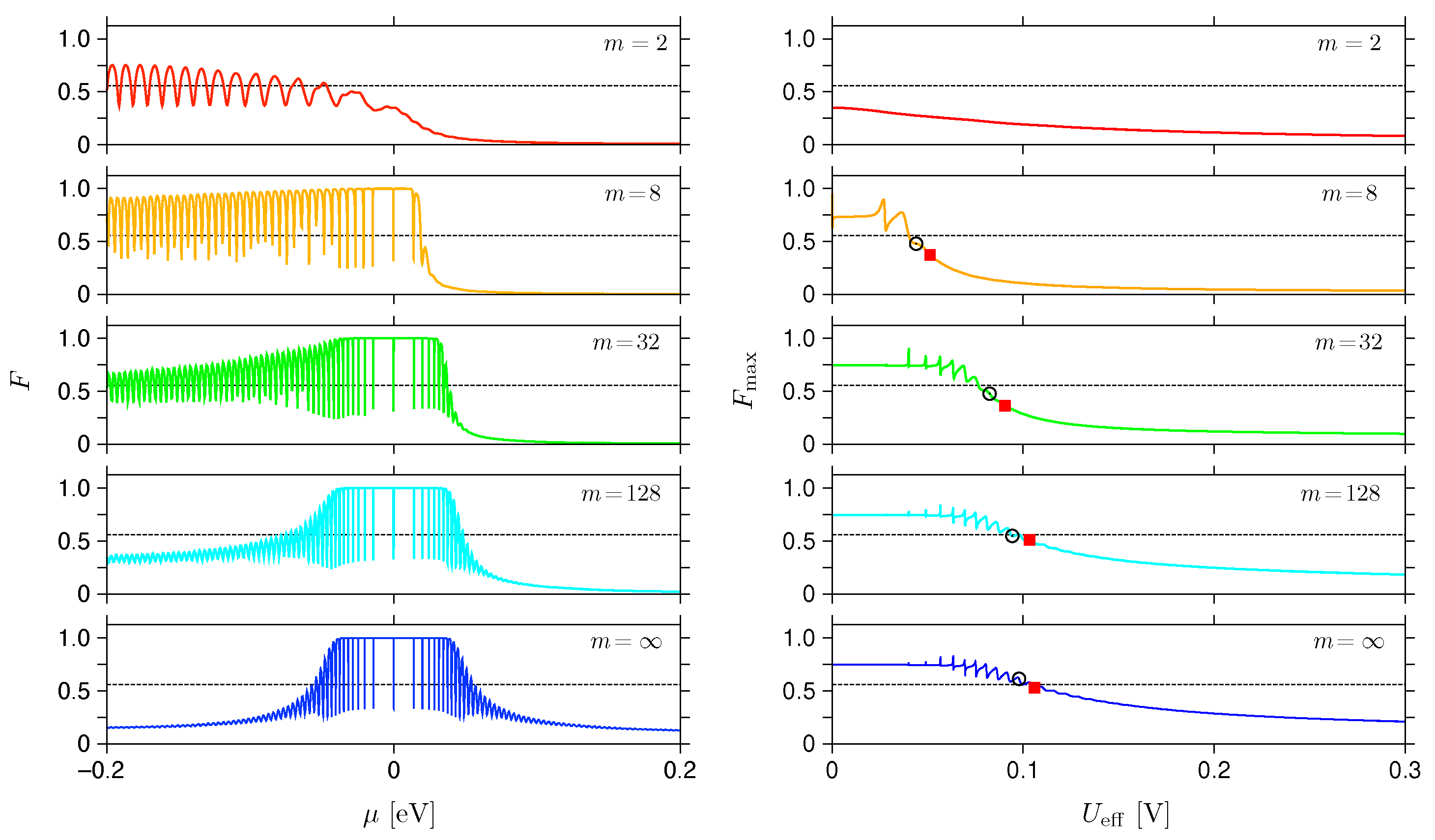
4.2. Smooth Potential Barriers
In this subsection, we extend our numerical analysis to smooth potential barriers, defined by choosing in Equation (2). Moreover, the barrier height is now finite, i.e., eV, being not far from the results of some first-principles calculations for graphene–metal structures [67,68]. To the best of our knowledge, such a model, first proposed in Ref. [40], seems to be the simplest, providing a qualitatively correct description of the conductance spectrum asymmetry observed in existing experiments [46,48,51,54], in which the conductance for is noticeably suppressed compared with the range, due to the presence of two circular p-n junctions in the former case. (Such a feature is also correctly reproduced by a simpler model assuming the trapezoidal potential barrier [69], which allows a fully analytical treatment, but this approach produces an artificial conductance maximum near ).
The conductance spectra for five selected values of m are displayed in Figure 5, both for the linear-response regime (see Figure 5a,c) and beyond (Figure 5b,d). This time, we have limited our presentation to a single value of the magnetic field, i.e., T. It should be noted that a finite value of leads to a small but visible asymmetry of the spectrum, even for .
Figure 5.
(a) Linear-response conductance (G) as a function of the chemical potential () and (b) finite-voltage conductance, for , as a function of the voltage. The magnetic field is T for all plots. The disk radii are the same as in Figure 3, but the barrier height, see Equation (2), is now fixed at eV; the parameter m is specified for each line. (c,d) Zoom-in, for low energies, with same datasets as in (a,b). Datapoints in (b,d) mark the values of , defining the activation voltages .
The finite-voltage results, at , allow us to determine the activation voltage, , in a similar manner as for the infinite barrier case (see previous subsection). When attempting to apply the incoherent-scattering approximation to smooth potentials, some modification is required for Equation (46), which now can be rewritten as
In the above, we have introduced the m-dependent effective sample length given by [40,41]
which reduces to for a rectangular barrier, and gives for the parabolic case. In brief, Equation (49) can be derived from , where denotes the value of the Fermi energy above which the Sharvin conductance overrules the pseudodiffusive conductance, namely,
In Figure 6 we show the Fano factor, for the same five values of m as previously used for the conductance (see Figure 5) and T, as a function in the linear-response limit (), as well as a function for (see left or right side of Figure 6, respectively). Again, the aperiodic oscillations almost vanish when entering the nonlinear response regime; in fact, the shape of appears to be much less sensitive to the value of m than the linear-response, . The datapoints on the right side of Figure 6, identifying the values of , such that (see Figure 5), are available starting from (although the deviation from is significant in such a case), whereas strong asymmetry of is visible up to .
Figure 6.
(Left): linear-response Fano factor as a function of the chemical potential. (Right): finite-voltage Fano factor, for , as a function of the voltage. The magnetic field is T for all plots, the value of exponent m is specified at each plot, and remaining parameters are same as in Figure 5. Horizontal line at each plot marks the value of , see Table 1. Datapoints (right) mark the values of , corresponding to activation voltages , for which (see also Figure 5).
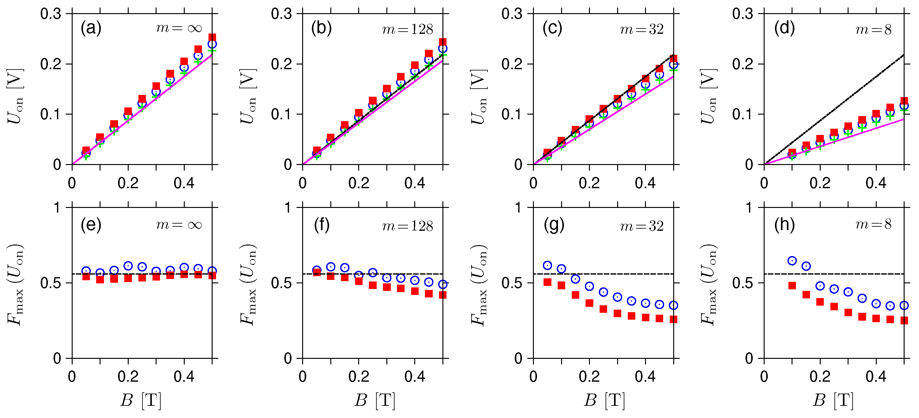
The values of and the corresponding , for the magnetic fields up to T, are displayed in Figure 7. It can be noticed that the voltages, , see datapoints in Figure 7a–d, show relatively good agreement with the approximation given by Equation (48) (purple solid lines); in fact, significant deviation from Equation (46) relevant for the rectangular barrier (black dashed lines) can be observed only for . On the contrary, the corresponding Fano factors, , see datapoints in Figure 7e–h, remain close to the value of only for and , showing that the incoherent treatment of the shot-noise power that we propose in Section 3 is applicable only when the potential profiles are close to (but not necessarily perfectly matching) the rectangular shape.
Figure 7.
(a–d) The activation voltage (for the definition, see Figure 4) and (e–h) the corresponding Fano factor for , displayed as functions of the magnetic field (datapoints). The value of exponent m is specified at each plot; remaining parameters are same as in Figure 5. Lines in (a–d) depict the approximation given by Equation (48) (purple solid) and Equation (46) (black dashed) coinciding in the limit. Horizontal lines in (e–h) mark the value of , see Table 1.
5. Conclusions
We have proposed the analytical description of the shot-noise power in graphene-based disks in high magnetic field and doping. Assuming the incoherent scattering of Dirac fermions between two potential steps of an infinite height, both characterized by a priori non-zero transmission probability due to the Klein tunneling, we find that the vanishing conductance should be accompanied by the Fano factor , which is weakly dependent on the disk proportions.
Next, the results of analytical considerations are confronted with the outcome of computer simulations, including both rectangular and smooth shapes of the electrostatic potential barrier in the disk area. Calculating both linear-response and finite-voltage transport cumulants, within the zero-temperature Landauer–Büttiker formalism, we point out that the role of evanescent waves (earlier ignored in the analytic approach) is significant in the linear-response regime, but one should be able to detect the quasi-universal noise in a properly designed experiment going beyond the linear-response regime. To achieve this goal, the following procedure is suggested. First, the activation voltage (for a fixed magnetic field) must be determined, by finding a cusp position on the conductance-versus-voltage plot, above which the conductance grows rapidly with voltage (the average chemical potential is controlled by the gate so that the conductance is minimal for a given voltage). Having determined the activation voltage, one measures the noise for such a voltage, expecting the Fano factor to be close to .
We expect that the effect we describe should be observable in ultraclean samples and at sub-kelvin temperatures (such as in Ref. [49]); at higher temperatures, hydrodynamic effects may noticeably alter the measurable quantities [54]. Since the noise-related characteristics seem to be generally more sensitive to the potential shape than the conductance (or the thermoelectric properties discussed earlier in Ref. [55]), the experimental study following the scenario presented here may be a suitable way to check whether the flat-potential area of a mesoscopic size is present or not in a given graphene-based structure.
Although the work focuses primarily on graphene, recent progress in the fabrication of semiconductor artificial graphenes [70,71] suggests that our results may also be relevant to such systems.
Author Contributions
A.R. designed the algorithm, A.R. and P.W. developed the code and performed preliminary computations, K.R. organized the computations on the PL-Grid supercomputing infrastructure; all authors were involved in data analysis and manuscript preparation. All authors have read and agreed to the published version of the manuscript.
Funding
The main part of the work was supported by the National Science Centre of Poland (NCN) via Grant No. 2014/14/E/ST3/00256 (SONATA BIS). We gratefully acknowledge Polish high-performance computing infrastructure PLGrid (HPC Center: ACK Cyfronet AGH) for providing computer facilities and support within computational grant no. PLG/2024/017208.
Institutional Review Board Statement
Not applicable.
Informed Consent Statement
Not applicable.
Data Availability Statement
Data are contained within the article.
Conflicts of Interest
The authors declare no conflicts of interest.
Appendix A. Numerical Mode Matching for Smooth Potentials
Here we summarize the numerical approach presented earlier in Ref. [55].
In a typical situation, the system of ordinary differential equations for the spinor components , see Equations (4) and (5), needs to be integrated numerically for all j-s. In order to reduce round-off errors that can occur in finite-precision arithmetic due to exponentially growing (or decaying) solutions, one can divide the entire interval into M parts bounded by
(In particular, and ).
The wave function in the disk area is now given by the set of functions for M consecutive intervals given by Equation (A1). For the l-th interval,
where , are two linearly independent solutions obtained by integration of Equations (4) and (5) with two different initial conditions, and . and are complex coefficients (to be determined later).
In particular, for nm and T considered in this paper, it is sufficient to set and employ a standard fourth-order Runge–Kutta (RK4) algorithm with a spatial step of pm. (For such a choice, the output numerical uncertainties of the transmission probabilities are smaller then ).
The matching conditions for the interfaces at , , …, , and , can now be written as
and are equivalent to the Cramer’s system of linear equations for the unknowns , , …, , , , and .
Writing down explicitly the spinor components appearing in Equations (A3)–(A5), we arrive to
where we have defined ,
For heavily doped leads (), the wave functions given by Equation (A7) simplify to
with .
As the linear systems for different values of j-s are decoupled, standard software packages can be used to find their solutions. We have chosen the double precision LAPACK routine zgesv, see Ref. [72].
References
- Datta, S. Quantum Transport: Atom to Transistor; Cambridge University Press: Cambridge, UK, 2005. [Google Scholar]
- Kittel, C. Introduction to Solid State Physics, 8th ed.; John Willey and Sons: New York, NY, USA, 2005. [Google Scholar]
- Deaver, B.S., Jr.; Fairbank, W.M. Experimental Evidence for Quantized Flux in Superconducting Cylinders. Phys. Rev. Lett. 1961, 7, 43. [Google Scholar] [CrossRef]
- Doll, R.; Näbauer, M. Experimental Proof of Magnetic Flux Quantization in a Superconducting Ring. Phys. Rev. Lett. 1961, 7, 51. [Google Scholar] [CrossRef]
- Josephson, B.D. The discovery of tunneling supercurrents. Rev. Mod. Phys. 1974, 46, 251. [Google Scholar] [CrossRef]
- Imry, Y. Introduction to Mesoscopic Physics, 2nd ed.; Oxford University Press: Oxford, UK, 2002; Chapter 5. [Google Scholar]
- Ando, T.; Matsumoto, Y.; Uemura, Y. Theory of Hall Effect in a Two-Dimensional Electron System. J. Phys. Soc. Jpn. 1975, 39, 279. [Google Scholar] [CrossRef]
- Klitzing, K.; Dorda, G.; Pepper, M. New Method for High-Accuracy Determination of the Fine-Structure Constant Based on Quantized Hall Resistance. Phys. Rev. Lett. 1980, 45, 494. [Google Scholar] [CrossRef]
- Laughlin, R.B. Quantized Hall conductivity in two dimensions. Phys. Rev. B 1981, 23, 5632. [Google Scholar] [CrossRef]
- Tsui, D.C.; Stormer, H.L.; Gossard, A.C. Two-Dimensional Magnetotransport in the Extreme Quantum Limit. Phys. Rev. Lett. 1982, 48, 1559. [Google Scholar] [CrossRef]
- Novoselov, K.S.; Geim, A.K.; Morozov, S.V.; Jiang, D.; Katsnelson, M.I.; Grigorieva, I.V.; Dubonos, S.V.; Firsov, A.A. Two-dimensional gas of massless Dirac fermions in graphene. Nature 2005, 438, 197. [Google Scholar] [CrossRef] [PubMed]
- Zhang, Y.; Tan, Y.-W.; Stormer, H.L.; Kim, P. Experimental observation of the quantum Hall effect and Berry’s phase in graphene. Nature 2005, 438, 201. [Google Scholar] [CrossRef]
- van Wees, B.J.; van Houten, H.; Beenakker, C.W.J.; Williamson, J.G.; Kouwenhoven, L.P.; van der Marel, D.; Foxon, C.T. Quantized conductance of point contacts in a two-dimensional electron gas. Phys. Rev. Lett. 1988, 60, 848. [Google Scholar] [CrossRef]
- Webb, R.A.; Washburn, S.; Umbach, C.P.; Laibowitz, R.B. Observation of h/e Aharonov-Bohm Oscillations in Normal-Metal Rings. Phys. Rev. Lett. 1985, 54, 2696. [Google Scholar] [CrossRef] [PubMed]
- Lee, P.A.; Stone, A.D. Universal Conductance Fluctuations in Metals. Phys. Rev. Lett. 1985, 55, 1622. [Google Scholar] [CrossRef] [PubMed]
- Altshuler, B.L.; Shklovskii, B.I. Repulsion of energy levels and conductivity of small metal samples. Zh. Eksp. Teor. Fiz. 91, 220 1986. Sov. Phys. JETP 1986, 64, 127. Available online: http://jetp.ras.ru/cgi-bin/e/index/e/64/1/p127?a=list (accessed on 20 June 2024).
- Pal, A.N.; Kochat, V.; Ghosh, A. Direct Observation of Valley Hybridization and Universal Symmetry of Graphene with Mesoscopic Conductance Fluctuations. Phys. Rev. Lett. 2012, 109, 196601. [Google Scholar] [CrossRef] [PubMed]
- Hu, Y.; Liu, H.; Jiang, H.; Xie, X.C. Numerical study of universal conductance fluctuations in three-dimensional topological semimetals. Phys. Rev. B 2017, 96, 134201. [Google Scholar] [CrossRef]
- Sharapov, S.G.; Gusynin, V.P.; Beck, H. Transport properties in the d-density-wave state in an external magnetic field: The Wiedemann-Franz law. Phys. Rev. B 2003, 67, 144509. [Google Scholar] [CrossRef]
- Mahajan, R.; Barkeshli, M.; Hartnoll, S.A. Non-Fermi liquids and the Wiedemann-Franz law. Phys. Rev. B 2013, 88, 125107. [Google Scholar] [CrossRef]
- Yoshino, H.; Murata, K. Significant Enhancement of Electronic Thermal Conductivity of Two-Dimensional Zero-Gap Systems by Bipolar-Diffusion Effect. J. Phys. Soc. Jpn. 2015, 84, 024601. [Google Scholar] [CrossRef]
- Crossno, J.; Shi, J.K.; Wang, K.; Liu, X.; Harzheim, A.; Lucas, A.; Sachdev, S.; Kim, P.; Taniguchi, T.; Watanabe, K.; et al. Observation of the Dirac fluid and the breakdown of the Wiedemann-Franz law in graphene. Science 2016, 351, 1058. [Google Scholar] [CrossRef]
- Rycerz, A. Wiedemann–Franz Law for Massless Dirac Fermions with Implications for Graphene. Materials 2021, 14, 2704. [Google Scholar] [CrossRef]
- Tu, Y.-T.; Das Sarma, S. Wiedemann-Franz law in graphene. Phys. Rev. B 2023, 107, 085401. [Google Scholar] [CrossRef]
- Katsnelson, M.I. The Physics of Graphene, 2nd ed.; Cambridge University Press: Cambridge, UK, 2020; Chapter 3. [Google Scholar] [CrossRef]
- Katsnelson, M.I.; Novoselov, K.S.; Geim, A.K. Chiral tunnelling and the Klein paradox in graphene. Nature Phys. 2006, 2, 620. [Google Scholar] [CrossRef]
- Tworzydło, J.; Trauzettel, B.; Titov, M.; Rycerz, A.; Beenakker, C.W.J. Sub-Poissonian shot noise in graphene. Phys. Rev. Lett. 2006, 96, 246802. [Google Scholar] [CrossRef]
- Miao, F.; Wijeratne, S.; Zhang, Y.; Coskun, U.; Bao, W.; Lau, C.N. Phase-Coherent Transport in Graphene Quantum Billiards. Science 2007, 317, 5844. [Google Scholar] [CrossRef] [PubMed]
- Sonin, E.B. Charge transport and shot noise in ballistic graphene sheet. Phys. Rev. B 2008, 77, 233408. [Google Scholar] [CrossRef]
- Danneau, R.; Wu, F.; Craciun, M.F.; Russo, S.; Tomi, M.Y.; Salmilehto, J.; Morpurgo, A.F.; Hakonen, P.J. Shot Noise in Ballistic Graphene. Phys. Rev. Lett. 2008, 100, 196802. [Google Scholar] [CrossRef] [PubMed]
- Laitinen, A.; Paraoanu, G.S.; Oksanen, M.; Craciun, M.F.; Russo, S.; Sonin, E.; Hakonen, P. Contact doping, Klein tunneling, and asymmetry of shot noise in suspended graphene. Phys. Rev. B 2016, 93, 115413. [Google Scholar] [CrossRef]
- Nair, R.R.; Blake, P.; Grigorenko, A.N.; Novoselov, K.S.; Booth, T.J.; Stauber, T.; Peres, N.M.R.; Geim, A.K. Fine Structure Constant Defines Visual Transparency of Graphene. Science 2008, 320, 1308. [Google Scholar] [CrossRef]
- Skulason, H.S.; Gaskell, P.E.; Szkopek, T. Optical reflection and transmission properties of exfoliated graphite from a graphene monolayer to several hundred graphene layers. Nanotechnology 2010, 21, 295709. [Google Scholar] [CrossRef] [PubMed]
- Merthe, D.J.; Kresin, V.V. Transparency of graphene and other direct-gap two-dimensional materials. Phys. Rev. B 2016, 94, 205439. [Google Scholar] [CrossRef]
- Wang, C.R.; Lu, W.-S.; Hao, L.; Lee, W.-L.; Lee, T.-K.; Lin, F.; Cheng, I.-C.; Chen, J.-Z. Enhanced thermoelectric power in dual-gated bilayer graphene. Phys. Rev. Lett. 2011, 107, 186602. [Google Scholar] [CrossRef]
- Suszalski, D.; Rut, G.; Rycerz, A. Lifshitz transition and thermoelectric properties of bilayer graphene. Phys. Rev. B 2018, 97, 125403. [Google Scholar] [CrossRef]
- Suszalski, D.; Rut, G.; Rycerz, A. Thermoelectric properties of gapped bilayer graphene. J. Phys. Condens. Matter 2019, 31, 415501. [Google Scholar] [CrossRef] [PubMed]
- Zong, P.; Liang, J.; Zhang, P.; Wan, C.; Wang, Y.; Koumoto, K. Graphene-Based Thermoelectrics. ACS Appl. Energy Mater. 2020, 3, 2224. [Google Scholar] [CrossRef]
- Jayaraman, A.; Hsieh, K.; Ghawri, B.; Mahapatra, P.S.; Watanabe, K.; Taniguchi, T.; Ghosh, A. Evidence of Lifshitz Transition in the Thermoelectric Power of Ultrahigh-Mobility Bilayer Graphene. Nano Lett. 2021, 21, 1221. [Google Scholar] [CrossRef] [PubMed]
- Rycerz, A.; Witkowski, P. Sub-Sharvin conductance and enhanced shot noise in doped graphene. Phys. Rev. B 2021, 104, 165413. [Google Scholar] [CrossRef]
- Rycerz, A.; Witkowski, P. Theory of sub-Sharvin charge transport in graphene disks. Phys. Rev. B 2022, 106, 155428. [Google Scholar] [CrossRef]
- Sharvin, Y.V. A possible method for studying Fermi surfaces. Zh. Eksp. Teor. Fiz. 1965, 48, 984. Sov. Phys. JETP 1965, 21, 655. Available online: http://www.jetp.ras.ru/cgi-bin/e/index/e/21/3/p655?a=list (accessed on 20 June 2024).
- Beenakker, C.W.J.; van Houten, H. Quantum transport in semiconductor nanostructures. Solid State Phys. 1991, 44, 1. [Google Scholar] [CrossRef]
- Rycerz, A.; Recher, P.; Wimmer, M. Conformal mapping and shot noise in graphene. Phys. Rev. B 2009, 80, 125417. [Google Scholar] [CrossRef]
- Rycerz, A. Magnetoconductance of the Corbino disk in graphene. Phys. Rev. B 2010, 81, 121404. [Google Scholar] [CrossRef]
- Peters, E.C.; Giesbers, A.J.M.; Burghard, M.; Kern, K. Scaling in the quantum Hall regime of graphene Corbino devices. Appl. Phys. Lett. 2014, 104, 203109. [Google Scholar] [CrossRef]
- Abdollahipour, B.; Moomivand, E. Magnetopumping current in graphene Corbino pump. Physica E 2017, 86, 204. [Google Scholar] [CrossRef]
- Kumar, M.; Laitinen, A.; Hakonen, P.J. Unconventional fractional quantum Hall states and Wigner crystallization in suspended Corbino graphene. Nat. Commun. 2018, 9, 2776. [Google Scholar] [CrossRef] [PubMed]
- Zeng, Y.; Li, J.I.A.; Dietrich, S.A.; Ghosh, O.M.; Watanabe, K.; Taniguchi, T.; Hone, J.; Dean, C.R. High-Quality Magnetotransport in Graphene Using the Edge-Free Corbino Geometry. Phys. Rev. Lett. 2019, 122, 137701. [Google Scholar] [CrossRef] [PubMed]
- Suszalski, D.; Rut, G.; Rycerz, A. Mesoscopic valley filter in graphene Corbino disk containing a p-n junction. J. Phys. Mater. 2020, 3, 015006. [Google Scholar] [CrossRef]
- Kamada, M.; Gall, V.; Sarkar, J.; Kumar, M.; Laitinen, A.; Gornyi, I.; Hakonen, P. Strong magnetoresistance in a graphene Corbino disk at low magnetic fields. Phys. Rev. B 2021, 104, 115432. [Google Scholar] [CrossRef]
- Rycerz, A.; Suszalski, D. Graphene disk in a solenoid magnetic potential: Aharonov-Bohm effect without a two-slit-like setup. Phys. Rev. B 2020, 101, 245429. [Google Scholar] [CrossRef]
- Bouhlal, A.; Jellal, A.; Mansouri, M. Quantum tunneling in graphene Corbino disk in a solenoid magnetic potential with wedge disclination. Physica B 2022, 639, 413904. [Google Scholar] [CrossRef]
- Kumar, C.; Birkbeck, J.; Sulpizio, J.A.; Perello, D.; Taniguchi, T.; Watanabe, K.; Reuven, O.; Scaffidi, T.; Stern, A.; Geim, A.K.; et al. Imaging Hydrodynamic Electrons Flowing Without Landauer-Sharvin Resistance. Nature 2022, 609, 276. [Google Scholar] [CrossRef]
- Rycerz, A.; Rycerz, K.; Witkowski, P. Thermoelectric Properties of the Corbino Disk in Graphene. Materials 2023, 16, 4250. [Google Scholar] [CrossRef] [PubMed]
- Recher, P.; Nilsson, J.; Burkard, G.; Trauzettel, B. Bound states and magnetic field induced valley splitting in gate-tunable graphene quantum dots. Phys. Rev. B 2009, 79, 085407. [Google Scholar] [CrossRef]
- Abramowitz, M.; Stegun, I.A. (Eds.) Handbook of Mathematical Functions; Dover Publications, Inc.: New York, NY, USA, 1965; Chapter 13. [Google Scholar]
- Abramowitz, M.; Stegun, I.A. (Eds.) An important step in the derivation of Eq. (tjhank) is the recognition of the Wronskian of Hankel functions. In Handbook of Mathematical Functions; Dover Publications, Inc.: New York, NY, USA, 1965; Chapter 9, Eq. 9.1.17. [Google Scholar]
- Nazarov, Y.V.; Blanter, Y.M. Quantum Transport: Introduction to Nanoscience; Cambridge University Press: Cambridge, UK, 2009; Chapter 1. [Google Scholar]
- Pekola, J. Towards quantum thermodynamics in electronic circuits. Nat. Phys. 2015, 11, 118. [Google Scholar] [CrossRef]
- Bruch, A.; Lewenkopf, C.; von Oppen, F. Landauer-Büttiker Approach to Strongly Coupled Quantum Thermodynamics: Inside-Outside Duality of Entropy Evolution. Phys. Rev. Lett. 2018, 120, 107701. [Google Scholar] [CrossRef] [PubMed]
- Rams, M.M.; Zwolak, M. Breaking the Entanglement Barrier: Tensor Network Simulation of Quantum Transport. Phys. Rev. Lett. 2020, 124, 137701. [Google Scholar] [CrossRef] [PubMed]
- Katsnelson, M.I. Aharonov-Bohm effect in undoped graphene: Magnetotransport via evanescent waves. Europhys. Lett. 2010, 89, 17001. [Google Scholar] [CrossRef]
- Rycerz, A. Aharonov-Bohm and Relativistic Corbino Effects in Graphene: A Comparative Study of Two Quantum Interference Phenomena. Acta Phys. Polon. A 2012, 121, 1242. [Google Scholar] [CrossRef]
- Datta, S. Electronic Transport in Mesoscopic Systems; Cambridge University Press: Cambridge, UK, 1997; Chapter 3; p. 129. [Google Scholar] [CrossRef]
- We use the identity I (a, b) = for a > |b|, and the First Derivative of the Above Over a; See Also Gradshteyn, I.S.; Ryzhik, I.M. In Table of Integrals, Series, and Products, 7th ed.; Academic Press: New York, NY, USA, 2007; p. 172, Eq. 2.553.3; Available online: https://archive.org/details/GradshteinI.S.RyzhikI.M.TablesOfIntegralsSeriesAndProducts/page/n1/mode/2up (accessed on 20 June 2024).
- Giovannetti, G.; Khomyakov, P.A.; Brocks, G.; Karpan, V.M.; van den Brink, J.; Kelly, P.J. Doping Graphene with Metal Contacts. Phys. Rev. Lett. 2008, 101, 026803. [Google Scholar] [CrossRef] [PubMed]
- Cusati, T.; Fiori, G.; Gahoi, A.; Passi, V.; Lemme, M.C.; Fortunelli, A.; Iannaccone, G. Electrical properties of graphene-metal contacts. Sci. Rep. 2017, 7, 5109. [Google Scholar] [CrossRef]
- Paraoanu, G.S. Klein tunneling through the trapezoidal potential barrier in graphene: Conductance and shot noise. New J. Phys. 2021, 23, 043027. [Google Scholar] [CrossRef]
- Du, L.; Liu, Z.; Wind, S.J.; Pellegrini, V.; West, K.W.; Fallahi, S.; Pfeiffer, L.N.; Manfra, M.J.; Pinczuk, A. Observation of Flat Bands in Gated Semiconductor Artificial Graphene. Phys. Rev. Lett. 2021, 126, 106402. [Google Scholar] [CrossRef] [PubMed]
- Biborski, A.; Zegrodnik, M.; Wójcik, P.; Nowak, M.P. Honeycomb antidot artificial lattice as a prototypical correlated Dirac fermion system. Phys. Rev. B 2023, 108, 235119. [Google Scholar] [CrossRef]
- Anderson, E.; Bai, Z.; Bischof, C.; Blackford, S.; Demmel, J.; Dongarra, J.; Croz, J.D.; Greenbaum, A.; Hammarling, S.; McKenney, A.; et al. LAPACK Users’ Guide, 3rd ed.; Society for Industrial and Applied Mathematics: Philadelphia, PA, USA, 1999. [Google Scholar]
Disclaimer/Publisher’s Note: The statements, opinions and data contained in all publications are solely those of the individual author(s) and contributor(s) and not of MDPI and/or the editor(s). MDPI and/or the editor(s) disclaim responsibility for any injury to people or property resulting from any ideas, methods, instructions or products referred to in the content. |
© 2024 by the authors. Licensee MDPI, Basel, Switzerland. This article is an open access article distributed under the terms and conditions of the Creative Commons Attribution (CC BY) license (https://creativecommons.org/licenses/by/4.0/).






