Parametric Modelling of the Crystalline Microstructure of the MCM41-Type Mesoporous Silica Modified with Derivatives of Alkyls
Abstract
1. Introduction
) or siloxane groups (
) on the mesotunnel surfaces. Both groups are prone to functionalization, although reaction with silanols is considered the main modification pathway [20].2. Materials and Methods
2.1. Essential Materials
- Basic → TEOS = 14 cm3;
- n-Propyl-SAMMS TEOS: n-propylotriethoxysilane [CH3CH2CH2-Si≡(OC2H5)3] = 14 cm3: 1.7 cm3;
- Amina-SAMMS TEOS: 3-aminopropyltriethoxysilane [H2N-CH2CH2CH2-Si≡(OC2H5)3] = 14 cm3: 1.7 cm3;
- Thiol SAMMS TEOS: 3-mercaptopropyltriethoxysilane [HS-CH2CH2CH2-Si≡(OC2H5)3] = 14 cm3: 1.7 cm3.
linkages. At elevated temperatures (usually higher than 330 K), TEOS converts to silicon dioxide, and the volatile byproduct is diethyl ether [38,39]:2.2. Investigation Methods
3. Results of Experiments and Modelling
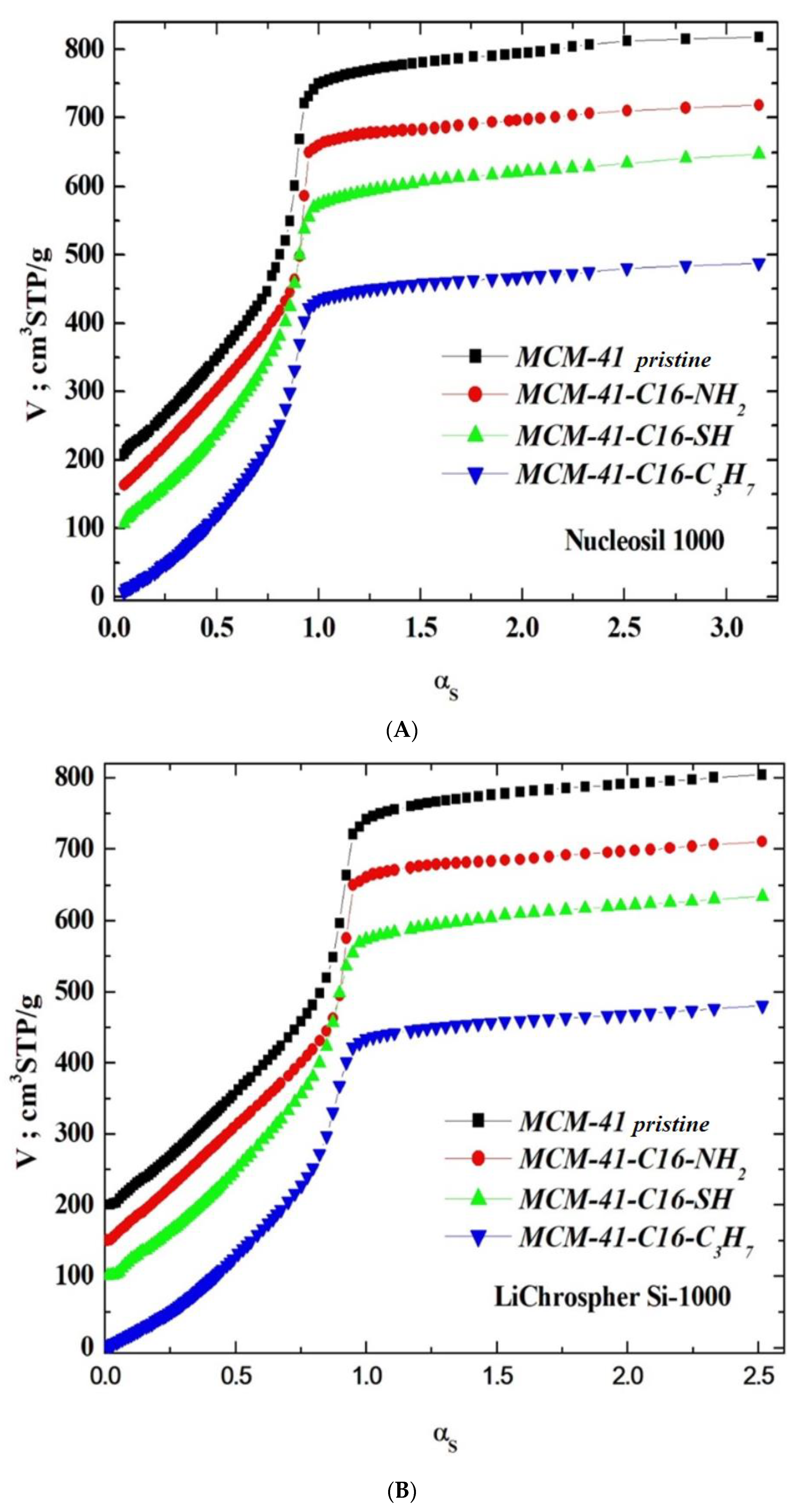
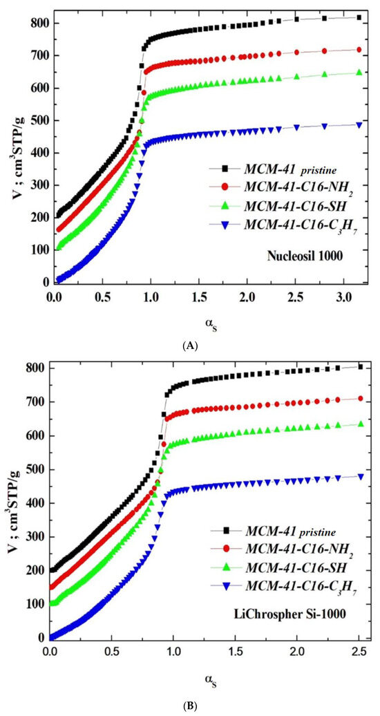
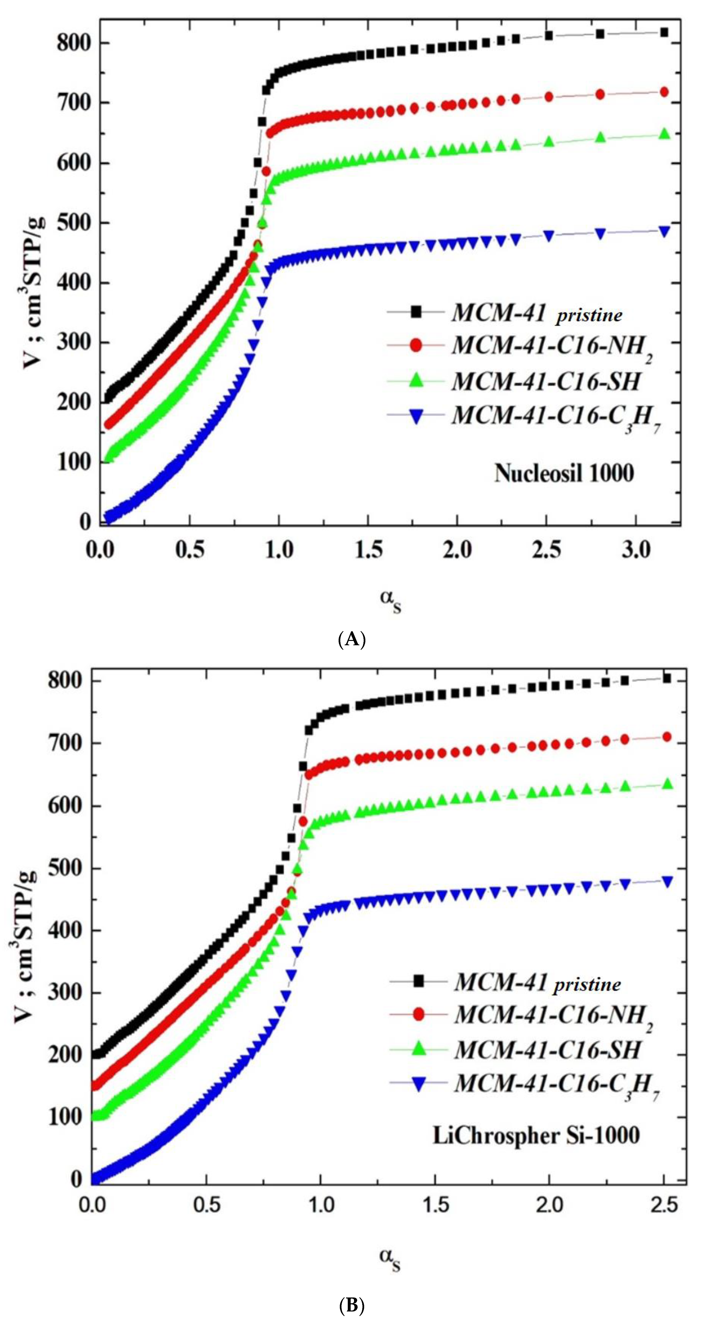
3.1. Measurements and Analysis of Nitrogen Physisorption Isotherms
- (a)
- the N2-physisorption branch resembles a Type II isotherm;
- (b)
- the lower limit of the N2 desorption branch, which, according to Thommes et al. [21], is typically located at , is caused by cavitation.
, n-propyl,
, 3-mercaptopropyl,
, and 3-aminopropyl groups
, compared to all interactions of N2 molecules with the outermost layer of unmodified adsorbent atoms, which contains only silanol groups. After a condensation jump, the isotherm profiles include a long plateau, indicating that the mesoporous structure of the tested adsorbents consists mainly of primary mesopores.3.2. XPS Characterization of the Absorbents Tested
and
of aliphatic carbons; see Section 3.1) that accumulates on silica surfaces [36,37,38,39]. In other words, the carbon bound in the ethylene groups could have been obscured by the carbon not washed from the surface of MCM-41 and its derivatives. Unfortunately, the observed AdC is a significant disadvantage of the MCM-41 extraction synthesis method, as a considerable amount of AdC also occurs on the surface of the pristine MCM-41 adsorbent.
in the tetrahedral configurations of siloxanes in pristine MCM-41s (see in Supplementary Materials, Figure S6). The O1s spectra for modified MCM-41 reveal an increased share of the second peak with a binding energy of ~533.8 eV (see in Supplementary Materials Table S2), which is attributed to siloxane groups (
) [56,57] present on the surface of the tested adsorbents and carbon by random species with a single oxygen bond [53,58,59,60]. This increase is probably due to the remaining water and organic compounds employed in the synthesis processes. The smallest remaining peak at ~531.3 eV was assigned to unusual and unavoidable quantities of double carbon binding with oxygen. Furthermore, the fitted spectra of the C1s [53,61,62] and Si2p [56,57,63,64] spectra are shown in Figures S5 and S7.3.3. XRD Characterization of the Absorbents Tested
3.4. Mathematical Model of the Crystalline Microstructure
- the short mesopore diameter (distance between opposite parallel rectangular faces of a mesopore or opposite internal nanotube base sides) as , the long mesopore diameter (distance between opposing parallel nanotube edges or corresponding internal base vertices) as 2×u, mesopore wall thickness (in the direction perpendicular to the face) as , the inter-mesopore wall thickness (in the direction perpendicular to the face) as , the diameter of crystallite base (the largest distance between opposite tube side faces) as ;
- the surface area of the crystallite base (with the total area of internal mesopore sections excluded) as , the surface area of internal crystallite mesopore faces as , the surface area of crystallite external side faces (perpendicular to base) as ;
- the total volume of the whole crystallite (solid with internal mesopores) as , the total volume of crystallite mesopores (nanotube internals) as , the total volume of crystallite walls (bulk material of honeycomb structure) as .
3.5. Results of the Computations and Discussion
, 3-aminopropyl [40],
or 3-mercaptopropyl,
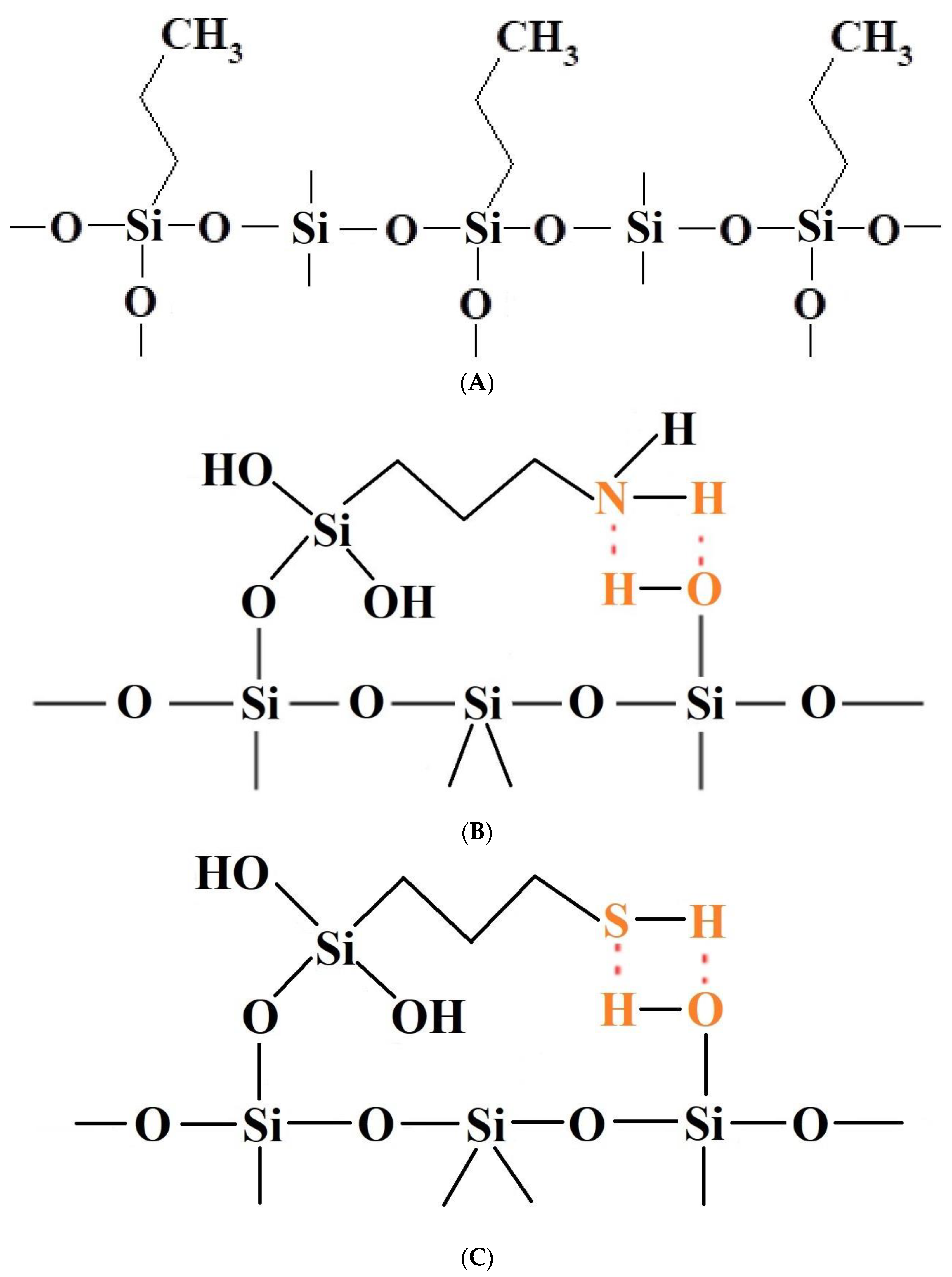
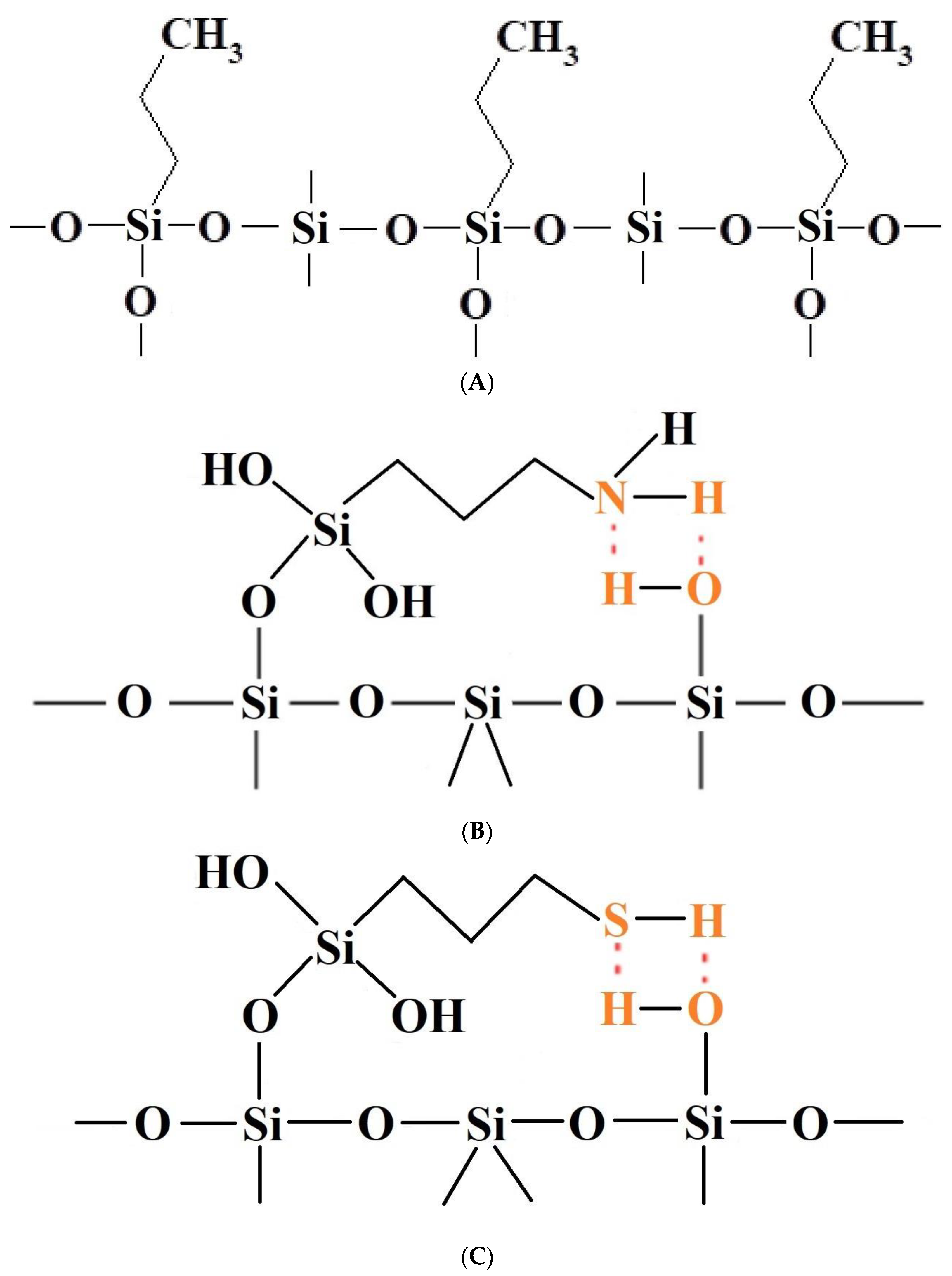
, lining crystalline silica shell inside pores and outside the crystallites (Figure 7). The density of the cover layers was assumed to be equal to , i.e., the density of 3-aminopropyl under standard conditions, taken as representative for these three substances. The calculations were repeated three times in the same way, with four parameters (, being the densities of crystalline shell and the alkyl cover):
), aminopropyl [40] (
), and mercaptopropyl (
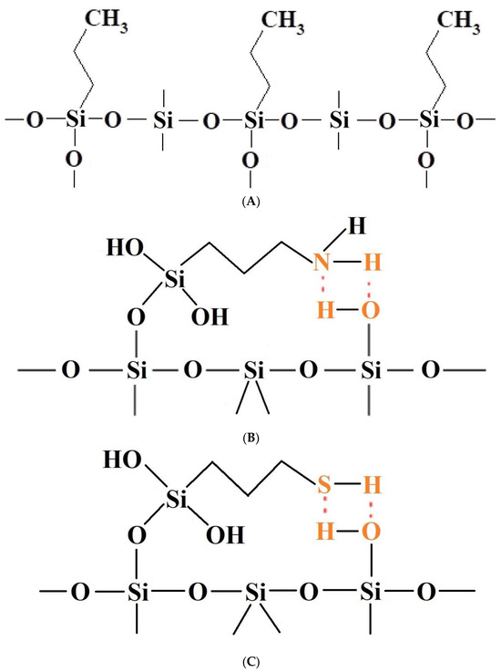
), considered in this work. One atom from the pair, nitrogen, oxygen, or sulfur (electron donor), is covalently bonded to the hydrogen atom, and electrons are shared unequally; its high electron affinity causes hydrogen to take a slight positive charge. For these reasons, the electrostatic force of attraction between a hydrogen atom (which is covalently bonded to a more electronegative ‘donor’ atom or group) and another electronegative atom that has a single pair of electrons (the hydrogen bond acceptor) should be carefully analysed. Therefore, considering the electron acceptor donor-acceptor (EDA) results in the previously cited paper by Grajek et al. [42] and Fryxell et al. [74], we conclude that forming a ‘bent-over posture’ for some surface-functionalized organosilanes is very likely. Therefore, the aminopropyl, –C3H6-NH2, and mercaptopropyl, -C3H6-SH, groups are attached by hydrogen bonding interactions between the amino and mercaptopropyl end groups and the surface silanols [75,76].
, and aminopropyl [40],
, groups are hard bases, and their electron donor atoms (i.e., O and N) have high electronegativity and low polarizability [43,44,45]. However, an amino group is a strong electron donor toward the
bonds’ high reactivity such that the
bonds’ polarities are increased [43,44,45]. As a consequence, there could be a notable attraction between –NH2 and OH groups from the surface through hydrogen bonding, leading to the bending of the organic linker. This results in a decrease in the number of available surface –OH groups for a reaction with an organosilicon compound and, finally, in a relatively moderate decrease in of this material.
, are soft bases, and their electron donor (i.e., S) atoms have low electronegativity and high polarizability. Therefore, they are easy to oxidise and hold their valence electrons loosely. The presence of a soft donor in the -SH group should lead to less effective hydrogen bond formation with the –OH group containing the strongly electronegative and, hence, hard in terms of HSAB theory, oxygen atom. In summary, this will lead to an incompatible pairing as, according to HSAB theory, hard–hard and soft–soft interactions are the most efficient. This may finally lead to a situation where bending the organic linker containing the -SH group is less efficient. If so, then the amount of surface –OH groups prone to modification is higher than for the amino analogue, leading to the formation of a more densely covered surface and also decreasing the value for this material.
,
, and surface groups,
, may behave as deposited on silica molecules with physical properties similar to liquids in which the effects of hydrogen bonding dominate the local structure [54,55,73]. Although the definition and characterisation of the hydrogen bonds is not straightforward, these hypotheses are given by the following results of macroscopic modelling of the crystalline microstructure for all investigated specimens.4. Conclusions
Supplementary Materials
Author Contributions
Funding
Institutional Review Board Statement
Informed Consent Statement
Data Availability Statement
Conflicts of Interest
References
- Beck, J.S.; Vartuli, J.C.; Roth, W.J.; Leonowicz, M.E.; Kresge, C.T.; Schmitt, K.D.; Chu, C.T.W.; Olson, D.H.; Sheppard, E.W.; McCullen, S.B.; et al. A new family of mesoporous molecular sieves prepared with liquid crystal templates. J. Am. Chem. Soc. 1992, 114, 10834–10843. [Google Scholar] [CrossRef]
- Sing, K.S.W.; Everett, D.H.; Haul, R.A.W.; Moscou, L.; Pierotti, R.A.; Rouquerol, J.; Siemieniewska, T. Reporting physisorption data for gas/solid systems with special reference to the determination of surface area and porosity (Recommendations 1984). Pure Appl. Chem. 1985, 57, 603–619. [Google Scholar] [CrossRef]
- Costa, J.A.S.; de Jesus, R.A.; Santos, D.O.; Neris, J.B.; Figueiredo, R.T.; Paranhos, C.M. Synthesis, functionalization, and environmental application of silica-based mesoporous materials of the M41S and SBA-n families: A review. J. Environ. Chem. Eng. 2021, 9, 105259. [Google Scholar] [CrossRef]
- Zhao, D.; Feng, J.; Huo, Q.; Melosh, N.; Fredrickson, G.H.; Chmelka, B.F.; Stucky, G.D. Triblock Copolymer Syntheses of Mesoporous Silica with Periodic 50 to 300 Angstrom Pores. Science 1998, 279, 548–552. [Google Scholar] [CrossRef]
- Enache, D.F.; Vasile, E.; Simonescu, C.M.; Culita, D.; Oprea, O.; Pandele, A.M.; Razvan, A.; Dumitru, F.; Nechifor, G. Schiff base-functionalized mesoporous silicas (MCM-41, HMS) as Pb(ii) adsorbents. R. Soc. Chem. Adv. 2018, 8, 176–189. [Google Scholar] [CrossRef]
- Qin, J.; Li, B.; Zhang, W.; Lv, W.; Han, C.; Liu, J. Synthesis, characterization and catalytic performance of well-ordered mesoporous Ni-MCM-41 with high nickel content. Microporous Mesoporous Mater. 2015, 208, 181–187. [Google Scholar] [CrossRef]
- MSzeląg, M.; Janek, M.; Panek, R.; Madej, J.; Fronczyk, J. Modification of the MCM-41 mesoporous silica and its influence on the hydration and properties of a cement matrix. J. Constr. Build. Mat. 2022, 344, 128253. [Google Scholar] [CrossRef]
- Morsi, R.E.; Mohamed, R.S. Nanostructured mesoporous silica: Influence of the preparation conditions on the physical-surface properties for efficient organic dye uptake. R. Soc. Open Sci. 2018, 5, 172021. [Google Scholar] [CrossRef]
- Prasomsri, T.; Jiao, W.; Weng, S.Z.; Martinez, J.G. Mesostructured zeolites: Bridging the gap between zeolites and MCM-41. R. Soc. Chem. Chem. Commun. 2015, 51, 8900–8911. [Google Scholar] [CrossRef]
- Kresge, C.T.; Leonowicz, M.E.; Roth, W.J.; Vartuli, J.C.; Beck, J.S. Ordered mesoporous molecular sieves synthesized by a liquid-crystal template mechanism. Nature 1992, 359, 710–712. [Google Scholar] [CrossRef]
- Kumar, D.; Schumacher, K.; von Hohenesche, C.D.F.; Grün, M.; Unger, K. MCM-41, MCM-48 and related mesoporous adsorbents: Their synthesis and characterisation. Colloids Surf. A Physicochem. Eng. Asp. 2001, 187–188, 109–116. [Google Scholar] [CrossRef]
- Reichinger, M. Poröse Silikate MIT Hierarchischer Porenstruktur: Synthese von Mikro-/Mesoporösem MCM-41 UND MCM-48 Materialien Aus Zeolithischen Baueinheiten Des MFI-Gerüststrukturtyps. Ph.D. Thesis, Ruhr-Universität Bochum, Bochum, Germany, 2007. (In German). [Google Scholar]
- Grajek, H.; Stocki, J.; Sofińska-Chmiel, W.; Gąska, R.; Kojdecki, M.A.; Puchała, M. Synthesis and investigation of SBA-15 lined with ethylenediamine to create charge-transfer complexes. Microporous Mesoporous Mater. 2022, 346, 112242. [Google Scholar] [CrossRef]
- Yasmin, T.; Müller, K. Synthesis and surface modification of mesoporous mcm-41 silica materials. J. Chromatogr. A 2010, 1217, 3362–3374. [Google Scholar] [CrossRef] [PubMed]
- Clark, J.H.; Macquarrie, D.J. Catalysis of liquid phase organic reactions using chemically modified mesoporous inorganic solids. Chem. Commun. 1998, 8, 853–860. [Google Scholar] [CrossRef]
- Vallet-Regí, M.; Colilla, M.; Izquierdo-Barba, I.; Manzano, M. Mesoporous Silica Nanoparticles for Drug Delivery: Current Insights. Molecules 2017, 23, 47. [Google Scholar] [CrossRef] [PubMed]
- Zhao, X.S.; Lu, G.Q.; Whittaker, A.K.; Millar, G.J.; Zhu, H.Y. Comprehensive Study of Surface Chemistry of MCM-41 Using 29Si CP/MAS NMR, FTIR, Pyridine-TPD, and TGA. J. Phys. Chem. B 1997, 101, 6525–6531. [Google Scholar] [CrossRef]
- Lindlar, B.; Kogelbauer, A.; Prins, R. Chemical, structural, and catalytic characteristics of Al-MCM-41 prepared by pH-controlled synthesis. Microporous Mesoporous Mater. 2000, 38, 167–176. [Google Scholar] [CrossRef]
- Costa, J.A.S.; de Jesus, R.A.; Santos, D.O.; Mano, J.F.; Romão, L.P.C.; Paranhos, C.M. Recent progresses in the adsorption of organic, inorganic, and gas compounds by MCM-41-based mesoporous materials. Microporous Mesoporous Mater. 2020, 291, 109698. [Google Scholar] [CrossRef]
- Costa, J.A.S.; Paranhos, C.M. Mitigation of silica-rich wastes: An alternative to the synthesis eco-friendly silica-based mesoporous materials. Microporous Mesoporous Mater. 2020, 309, 110570. [Google Scholar] [CrossRef]
- Thommes, M.; Kaneko, K.; Neimark, A.V.; Olivier, J.P.; Rodriguez-Reinoso, F.; Rouquerol, J.; Sing, K.S.W. Physisorption of gases, with special reference to the evaluation of surface area and pore size distribution (IUPAC technical report). Pure Appl. Chem. 2015, 87, 1051–1069. [Google Scholar] [CrossRef]
- Chen, H.; Fu, S.; Fu, L.; Yang, H.; Chen, D. Simple Synthesis and Characterization of Hexagonal and Ordered Al–MCM–41 from Natural Perlite. Minerals 2019, 9, 264–275. [Google Scholar] [CrossRef]
- Yang, X.; Bai, Y.; Li, Q.; Wang, J. Preparation and Adsorption Properties of MCM-41 with Novel Gemini Ionic Liquid Surfactants as Template. Materials 2022, 15, 2780. [Google Scholar] [CrossRef]
- Martínez-Edo, G.; Balmori, A.; Pontón, I.; del Rio, A.M.; Sánchez-García, D. Functionalized Ordered Mesoporous Silicas (MCM-41): Synthesis and Applications in Catalysis. Catalysts 2018, 8, 617. [Google Scholar] [CrossRef]
- Grün, M.; Lauer, L.; Unger, K.K. The synthesis of micrometer- and submicrometer-size spheres of ordered mesoporous oxide MCM-41. Adv. Mater. 1997, 9, 254–257. [Google Scholar] [CrossRef]
- Ciesla, U.; Grün, M.; Isajeva, T.; Kurganov, A.A.; Neimark, A.V.; Ravikovitch, P.; Schacht, S.; Schüth, F.; Unger, K.K. Critical Appraisal of the Pore Structure of MCM-41, in Access in Nanoporous Materials; Fundamental Materials Research book series (FMRE); Pinnavaia, T.J., Thorpe, M.F., Eds.; Plenum Press: New York, NY, USA, 1995; pp. 231–240. [Google Scholar] [CrossRef]
- Grün, M.; Kurganov, A.A.; Schacht, S.; Schüth, F.; Unger, K.K. Comparison of an ordered mesoporous aluminosilicate, silica, alumina, titania and zirconia in normal-phase high-performance liquid chromatography. J. Chromatogr. A 1996, 740, 1–9. [Google Scholar] [CrossRef]
- Oberhagemann, U.; Kinski, I.; Dierdorf, I.; Marler, B.; Gies, H. Synthesis and properties of boron containing MCM-41. J. Non-Cryst. Solids 1996, 197, 145–153. [Google Scholar] [CrossRef]
- Marler, B.; Oberhagemann, U.; Vortmann, S.; Gies, H. Influence of the sorbate type on the XRD peak intensities of loaded MCM-41. Microporous Mater. 1996, 6, 375–383. [Google Scholar] [CrossRef]
- Stöber, W.; Fink, A.; Bohn, E. Controlled growth of monodisperse silica spheres in the micron size range. J. Colloid Interface Sci. 1968, 26, 62–69. [Google Scholar] [CrossRef]
- Monnier, A.; Schüth, F.; Huo, Q.; Kumar, D.; Margolese, D.; Maxwell, R.S.; Stucky, G.D.; Krishnamurty, M.; Petroff, P.; Firouzi, A.; et al. Cooperative Formation of Inorganic-Organic Interfaces in the Synthesis of Silicate Mesostructures. Science 1993, 261, 1299–1303. [Google Scholar] [CrossRef]
- CTripp, C.P.; Hair, M.L. Direct Observation of the Surface Bonds between Self-Assembled Monolayers of Octadecyltrichlorosilane and Silica Surfaces: A Low-Frequency IR Study at the Solid/Liquid Interface. Langmuir 1995, 11, 1215–1219. [Google Scholar] [CrossRef]
- Kailasam, K.; Fels, A.; Müller, K. Octadecyl grafted MCM-41 silica spheres using trifunctionalsilane precursors—Preparation and characterization. Microporous Mesoporous Mater. 2009, 117, 136–147. [Google Scholar] [CrossRef]
- Price, P.M.; Clark, J.H.; Macquarrie, D.J. Modified silicas for clean technology. J. Chem. Soc. Dalton Trans. 2000, 2, 101–110. [Google Scholar] [CrossRef]
- Chen, H.; Wang, Y. Preparation of MCM-41 with high thermal stability and complementary textural porosity. Ceram. Int. 2002, 28, 541–547. [Google Scholar] [CrossRef]
- Bogush, G.; Tracy, M.; Zukoski, C. Preparation of monodisperse silica particles: Control of size and mass fraction. J. Non-Cryst. Solids 1988, 104, 95–106. [Google Scholar] [CrossRef]
- Chen, S.-L.; Dong, P.; Yang, G.-H. The Size Dependence of Growth Rate of Monodisperse Silica Particles from Tetraalkoxysilane. J. Colloid Interface Sci. 1997, 189, 268–272. [Google Scholar] [CrossRef]
- Chen, S.-L.; Dong, P.; Yang, G.-H.; Yang, J.-J. Characteristic Aspects of Formation of New Particles during the Growth of Monosize Silica Seeds. J. Colloid Interface Sci. 1996, 180, 237–241. [Google Scholar] [CrossRef]
- Jin, Y.; Lohstreter, S.; Pierce, D.T.; Parisien, J.; Wu, M.; Hall, C.; Zhao, J.X. Silica Nanoparticles with Continuously Tunable Sizes: Synthesis and Size Effects on Cellular Contrast Imaging. Chem. Mater. 2008, 20, 4411–4419. [Google Scholar] [CrossRef]
- Lee, C.-H.; Lo, L.-W.; Mou, C.-Y.; Yang, C.-S. Synthesis and Characterization of Positive-Charge Functionalized Mesoporous Silica Nanoparticles for Oral Drug Delivery of an Anti-Inflammatory Drug. Adv. Funct. Mater. 2008, 18, 3283–3292. [Google Scholar] [CrossRef]
- Lei, Q.; Guo, J.; Noureddine, A.; Wang, A.; Wuttke, S.; Brinker, C.J.; Zhu, W. Sol–Gel-Based Advanced Porous Silica Materials for Biomedical Applications. Adv. Funct. Mater. 2020, 30, 1909539. [Google Scholar] [CrossRef]
- Grajek, H.; Paciura-Zadrożna, J.; Choma, J.; Michalski, E.; Witkiewicz, Z. Synthesis of OMS Materials and Investigation of Their Acceptor–Donor Characteristics. Chromatographia 2012, 75, 1147–1156. [Google Scholar] [CrossRef]
- Pearson, R.G. Acids and Bases. Science 1966, 151, 172–177. [Google Scholar] [CrossRef] [PubMed]
- Pearson, R.G. Hard and soft acids and bases, HSAB, part 1: Fundamental principles. J. Chem. Educ. 1968, 45, 581–587. [Google Scholar] [CrossRef]
- Pearson, R.G. Hard and soft acids and bases, HSAB, part II: Underlying theories. J. Chem. Educ. 1968, 45, 643–648. [Google Scholar] [CrossRef]
- Branton, P.J.; Hall, P.G.; Sing, K.S.W. Physisorption of nitrogen and oxygen by MCM-41, a model mesoporous adsorbent. Chem. Soc. Chem. Commun 1993, 3/02616G, 1257–1258. [Google Scholar] [CrossRef]
- Rouquerol, F.; Rouquerol, J.; Sing, K.S.W. Adsorption by Powders & Porous Solids; Academic Press: San Diego, CA, USA, 1999. [Google Scholar]
- Jaroniec, M.; Kruk, M.; Olivier, J.P. Standard Nitrogen Adsorption Data for Characterization of Nanoporous Silicas. Langmuir 1999, 15, 5410–5413. [Google Scholar] [CrossRef]
- Qiao, S.Z.; Bhatia, S.K.; Zhao, X.S. Prediction of multilayer adsorption and capillary condensation phenomena in cylindrical mesopores. Microporous Mesoporous Mater. 2003, 65, 287–298. [Google Scholar] [CrossRef]
- Bhambhani, M.R.; Cutting, P.A.; Sing, K.S.W.; Turk, D.H. Analysis of nitrogen adsorption isotherms on porous and nonporous silicas by the BET and αs methods. J. Colloid Interface Sci. 1972, 38, 109–117. [Google Scholar] [CrossRef]
- Sayari, A.; Liu, P.; Kruk, M.; Jaroniec, M. Characterization of Large-Pore MCM-41 Molecular Sieves Obtained via Hydrothermal Restructuring. Chem. Mater. 1997, 9, 2499–2506. [Google Scholar] [CrossRef]
- Villarroel-Rocha, J.; Barrera, D.; Blanco, A.A.G.; Jalil, M.E.R.; Sapag, K. Importance of the αs-plot Method in the Characterization of Nanoporous Materials. Adsorpt. Sci. Technol. 2013, 31, 165–183. [Google Scholar] [CrossRef]
- Biesinger, M.C. Accessing the robustness of adventitious carbon for charge referencing (correction) purposes in XPS analysis: Insights from a multi-user facility data review. Appl. Surf. Sci. 2022, 597, 153681. [Google Scholar] [CrossRef]
- Krumpfer, J.W.; Fadeev, A.Y. Displacement Reactions of Covalently Attached Organosilicon Monolayers on Si. Langmuir 2006, 22, 8271–8272. [Google Scholar] [CrossRef] [PubMed]
- Fadeev, A.Y. Encyclopedia of Surface and Colloid Science, 3rd ed.; Taylor & Francis Group: Oxfordshire, UK, 2015; pp. 3120–3140. [Google Scholar] [CrossRef]
- Arrigo, R.; Hävecker, M.; Wrabetz, S.; Blume, R.; Lerch, M.; McGregor, J.; Parrott, E.P.J.; Zeitler, J.A.; Gladden, L.F.; Knop-Gericke, A.; et al. Tuning the Acid/Base Properties of Nanocarbons by Functionalization via Amination. J. Am. Chem. Soc. 2010, 132, 9616–9630. [Google Scholar] [CrossRef] [PubMed]
- Stobinski, L.; Lesiak, B.; Malolepszy, A.; Mazurkiewicz, M.; Mierzwa, B.; Zemek, J.; Jiricek, P.; Bieloshapka, I. Graphene oxide and reduced graphene oxide studied by the XRD, TEM and electron spectroscopy methods. J. Electron Spectrosc. Relat. Phenom. 2014, 195, 145–154. [Google Scholar] [CrossRef]
- Major, G.H.; Fairley, N.; Sherwood, P.M.A.; Linford, M.R.; Terry, J.; Fernandez, V.; Artyushkova, K. Practical guide for curve fitting in X-ray photoelectron spectroscopy. J. Vac. Sci. Technol. A 2020, 38, 061203. [Google Scholar] [CrossRef]
- Beamson, G.; Briggs, D. The XPS of Polymers Database; Surface Spectra: Manchester, UK, 2000. [Google Scholar]
- McCafferty, E.; Wightman, J.P. Determination of the concentration of surface hydroxyl groups on metal oxide films by a quantitative XPS method. Surf. Interface Anal. 1998, 26, 549–564. [Google Scholar] [CrossRef]
- Rabchinskii, M.K.; Ryzhkov, S.A.; Kirilenko, D.A.; Ulin, N.V.; Baidakova, M.V.; Shnitov, V.V.; Pavlov, S.I.; Chumakov, R.G.; Stolyarova, D.Y.; Besedina, N.A.; et al. From graphene oxide towards aminated graphene: Facile synthesis, its structure and electronic properties. Sci. Rep. 2020, 10, 6902. [Google Scholar] [CrossRef] [PubMed]
- Gengenbach, T.R.; Major, G.H.; Linford, M.R.; Easton, C.D. Practical guides for x-ray photoelectron spectroscopy (XPS): Interpreting the carbon 1s spectrum. J. Vac. Sci. Technol. A 2021, 39, 013204. [Google Scholar] [CrossRef]
- Cerofolini, G.F.; Galati, C.; Renna, L. Accounting for anomalous oxidation states of silicon at the Si/SiO2 interface. Surf. Interface Anal. 2002, 33, 583–590. [Google Scholar] [CrossRef]
- Paparazzo, E.; Fanfoni, M.; Severini, E. Studies on the structure of the SiOx/SiO2 interface. Appl. Surf. Sci. 1992, 56–58, 866–872. [Google Scholar] [CrossRef]
- Hanke, M.; Scherzer, O. Inverse Problems Light: Numerical Differentiation. Am. Math. Mon. 2001, 108, 512–521. [Google Scholar] [CrossRef]
- Wilson, A.J.C. Relationship between ‘observed’ and ‘true’ intensity; effect of various counting modes. Acta Crystallogr. 1980, A36, 921–936. [Google Scholar] [CrossRef]
- Luger, P. X-ray Analysis of Single Crystals; Walter de Gruyter: Berlin, Germany, 1980; ISBN 3110068303. [Google Scholar]
- Kojdecki, M.A. Deconvolution by Example—Computational Test of Effective Algorithms. Mater. Sci. Forum 2001, 378–381, 12–17. [Google Scholar]
- Corriu, R.J.P.; Lancelle-Beltran, E.; Mehdi, A.; Reyé, C.; Brandès, S.; Guilard, R. Ordered mesoporous hybrid materials containing cobalt(ii) Schiff base complex. J. Mater. Chem. 2002, 12, 1355–1362. [Google Scholar] [CrossRef]
- Morozov, V.A. Methods for Solving Incorrectly Posed Problems; Springer-Verlag: New York, NY, USA; Berlin, Germany; Tokyo, Japan, 1984; ISBN 3-540-96059-7. [Google Scholar]
- Tikhonov, A.N.; Goncharsky, A.V.; Stepanov, V.V.; Yagola, A.G. Numerical Methods for the Solution of Ill-Posed Problems; Kluwer Academic Publisher: Dordrecht, The Netherlands, 1995; ISBN 978-90-481-4583-6. [Google Scholar]
- Miloslavsky, V.K.; Makovetsky, E.D.; Ageev, L.A.; Beloshenko, K.S. Fused silica as a composite nanostructured material. Opt. Spectrosc. 2009, 107, 811–815. [Google Scholar] [CrossRef][Green Version]
- Prezhdo, O.; Drogosz, A.; Zubkova, V.; Prezhdo, V. Density of normal and associated liquids. Fluid Phase Equilibria 2013, 342, 23–30. [Google Scholar] [CrossRef]
- Fryxell, G.E.; Mattigod, S.V.; Lin, Y.; Wu, H.; Fiskum, S.; Parker, K.; Zheng, F.; Yantasee, W.; Zemanian, T.S.; Addleman, R.S.; et al. Design and synthesis of self-assembled monolayers on mesoporous supports (SAMMS): The importance of ligand posture in functional nanomaterials. J. Mater. Chem. 2007, 17, 2863–2874. [Google Scholar] [CrossRef]
- Smith, E.A.; Chen, W. How To Prevent the Loss of Surface Functionality Derived from Aminosilanes. Langmuir 2008, 24, 12405–12409. [Google Scholar] [CrossRef]
- Lee, L.H. (Ed.) Fundamentals of Adhesion; Springer: Boston, MA, USA, 1991. [Google Scholar] [CrossRef]











| Adsorbent Tested | Reference Adsorbent | ; | m2g | ||||
|---|---|---|---|---|---|---|---|
| MCM-41 pristine | Nucleosil 1000 | 0.824 | 533 | 892 | 81.8 | 810 | 882 |
| LiChrospher Si-1000 | 0.802 | 518 | 887 | 83.0 | 804 | ||
| Fransil-I | 0.807 | 521 | 890 | 85.0 | 807 | ||
| MCM-41-NH2 | Nucleosil 1000 | 0.766 | 495 | 866 | 70.6 | 795 | 863 |
| LiChrospher Si-1000 | 0.756 | 489 | 857 | 68.4 | 789 | ||
| Fransil-I | 0.760 | 491 | 862 | 69.5 | 792 | ||
| MCM-41-SH | Nucleosil 1000 | 0.707 | 457 | 868 | 72.6 | 795 | 861 |
| LiChrospher Si-1000 | 0.690 | 446 | 856 | 63.5 | 793 | ||
| Fransil-I | 0.698 | 451 | 862 | 65.1 | 797 | ||
| MCM-41-nC3H7 | Nucleosil 1000 | 0.655 | 424 | 842 | 53.9 | 788 | 834 |
| LiChrospher Si-1000 | 0.632 | 408 | 840 | 53.8 | 786 | ||
| Fransil-I | 0.636 | 411 | 843 | 58.7 | 784 |
| Adsorbent | Element | BE (eV) | %At Conc |
|---|---|---|---|
| MCM-41 (pristine) | C | 284.8 | 13.5 |
| O | 533.1 | 51.9 | |
| Si | 103.3 | 34.6 | |
| MCM-41-NH2 | C | 284.8 | 10.3 |
| N | 401.1 | 1.0 | |
| O | 533.1 | 53.0 | |
| Si | 103.3 | 34.7 | |
| Cl | 199.3 | 1.1 | |
| MCM-41-SH | C | 284.8 | 16.0 |
| O | 532.3 | 50.0 | |
| Si | 103.3 | 32.4 | |
| S | 167.8 | 1.6 | |
| MCM-41-C3H7 | C | 284.8 | 17.1 |
| O | 533.1 | 50.8 | |
| Si | 103.3 | 32.1 |
| Adsorbent | er | ||||
|---|---|---|---|---|---|
| MCM-41 (pristine) | 4.516 ± 0.077 | 0.077 | 3.911 ± 0.066 | 0.066 | 0.017 |
| MCM-41-NH2 | 4.517 ± 0.193 | 0.193 | 3.912 ± 0.168 | 0.168 | 0.043 |
| MCM-41-SH | 4.460 ± 0.078 | 0.078 | 3.862 ± 0.066 | 0.066 | 0.017 |
| MCM-41-nC3H7 | 4.499 ± 0.126 | 0.126 | 3.896 ± 0.109 | 0.109 | 0.028 |
| MCM-41 mean | 4.498 ± 0.130 | 0.130 | 3.895 ± 0.113 | 0.113 | 0.029 |
| Adsorbent | SBET | ||||||||||
|---|---|---|---|---|---|---|---|---|---|---|---|
| MCM-41 pristine | 882 | 0.811 | 890 | 83.3 | 807 | 0.0071 | 0.815 | 884 | 84.5 | 799 | 0.0100 |
| MCM-41-NH2 | 863 | 0.761 | 862 | 69.5 | 792 | 0.0045 | 0.766 | 856 | 70.6 | 785 | 0.0100 |
| MCM-41-SH | 861 | 0.698 | 862 | 67.1 | 795 | 0.0067 | 0.703 | 856 | 68.1 | 788 | 0.0100 |
| MCM-41-nC3H7 | 834 | 0.641 | 842 | 55.5 | 786 | 0.0094 | 0.645 | 836 | 56.4 | 779 | 0.0100 |
| Material | ||||||||||||||
|---|---|---|---|---|---|---|---|---|---|---|---|---|---|---|
| MCM-41-C16-basic | 4.498 | 2.597 | 2.147 | 2.147 | 2.649 | 3.719 | 0.390 | 0.000 | 8 | 1.02 | 76.5 | 78.0 | 0.683 | 0.911 |
| MCM-41-C16-NH2 | 4.498 | 2.597 | 2.147 | 2.106 | 2.490 | 3.648 | 0.390 | 0.036 | 9 | 3.35 | 85.5 | 286.5 | 0.656 | 0.935 |
| MCM-41-C16-SH | 4.498 | 2.597 | 2.147 | 2.050 | 2.318 | 3.551 | 0.390 | 0.084 | 10 | 1.95 | 94.6 | 184.5 | 0.620 | 0.994 |
| MCM-41-C16-nC3H7 | 4.498 | 2.597 | 2.147 | 1.991 | 2.179 | 3.449 | 0.390 | 0.135 | 12 | 4.11 | 112.7 | 463.3 | 0.584 | 1.042 |
Disclaimer/Publisher’s Note: The statements, opinions and data contained in all publications are solely those of the individual author(s) and contributor(s) and not of MDPI and/or the editor(s). MDPI and/or the editor(s) disclaim responsibility for any injury to people or property resulting from any ideas, methods, instructions or products referred to in the content. |
© 2024 by the authors. Licensee MDPI, Basel, Switzerland. This article is an open access article distributed under the terms and conditions of the Creative Commons Attribution (CC BY) license (https://creativecommons.org/licenses/by/4.0/).
Share and Cite
Stocki, J.; Kuśmierz, M.; Sofińska-Chmiel, W.; Stankevič, M.; Puchała, M.; Kojdecki, M.A.; Gąska, R.; Grajek, H. Parametric Modelling of the Crystalline Microstructure of the MCM41-Type Mesoporous Silica Modified with Derivatives of Alkyls. Materials 2024, 17, 3065. https://doi.org/10.3390/ma17133065
Stocki J, Kuśmierz M, Sofińska-Chmiel W, Stankevič M, Puchała M, Kojdecki MA, Gąska R, Grajek H. Parametric Modelling of the Crystalline Microstructure of the MCM41-Type Mesoporous Silica Modified with Derivatives of Alkyls. Materials. 2024; 17(13):3065. https://doi.org/10.3390/ma17133065
Chicago/Turabian StyleStocki, Jarosław, Marcin Kuśmierz, Weronika Sofińska-Chmiel, Marek Stankevič, Marcin Puchała, Marek A. Kojdecki, Robert Gąska, and Henryk Grajek. 2024. "Parametric Modelling of the Crystalline Microstructure of the MCM41-Type Mesoporous Silica Modified with Derivatives of Alkyls" Materials 17, no. 13: 3065. https://doi.org/10.3390/ma17133065
APA StyleStocki, J., Kuśmierz, M., Sofińska-Chmiel, W., Stankevič, M., Puchała, M., Kojdecki, M. A., Gąska, R., & Grajek, H. (2024). Parametric Modelling of the Crystalline Microstructure of the MCM41-Type Mesoporous Silica Modified with Derivatives of Alkyls. Materials, 17(13), 3065. https://doi.org/10.3390/ma17133065

