Recent Progress on Creep Properties of ODS FeCrAl Alloys for Advanced Reactors
Abstract
1. Introduction
2. Background and Microstructure of ODS FeCrAl Alloy
2.1. Development History of ODS FeCrAl Alloy
2.2. Microstructure of ODS FeCrAl Alloy
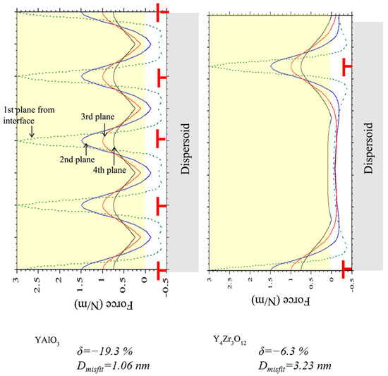
3. The Interaction of Dislocations and Dispersed Particles in Creep
4. Creep of ODS FeCrAl Alloy
4.1. Thermal Creep Properties
4.2. Stability of ODS FeCrAl Alloys during Creep
4.3. Creep in Other Coupled Environments
5. Conclusions and Outlook
- ODS FeCrAl alloys exhibit significant improvement in creep resistance compared to traditional FeCrAl alloys and have been further improved through composition optimization. Although its creep resistance has no advantage over ODS FeCr alloy at intermediate temperatures, its advantage in creep resistance is evident when the temperature is raised to 1000 °C. The excellent performance of ODS FeCrAl alloys under ultra-high temperature and low stress conditions also makes them highly competitive as candidate materials for accident-tolerant fuel systems and Gen-IV advanced reactors.
- The quantification of the creep performance of ODS alloys is challenging, especially in ODS FeCrAl alloys, as the system of dispersed oxide particles is more complex than ODS FeCr steels. Different dispersed particles have different interface relationships, which will be reflected differently in the interaction with dislocations. Moreover, samples with different heat treatment histories currently show significantly different creep performance. Therefore, future research on the creep performance of ODS FeCrAl alloy should focus more on samples approaching their final service state.
- Testing of creep and other service environment coupling conditions is still in a relatively blank stage, but it is critical for the final engineering application of ODS FeCrAl alloys in advanced nuclear systems. Consequently, further research is needed to comprehensively evaluate the performance of ODS FeCrAl alloys as candidate materials for different coolants and under irradiation.
Author Contributions
Funding
Institutional Review Board Statement
Informed Consent Statement
Data Availability Statement
Conflicts of Interest
References
- Airiskallio, E.; Nurmi, E.; Heinonen, M.H.; Väyrynen, I.J.; Kokko, K.; Ropo, M.; Punkkinen, M.P.J.; Pitkänen, H.; Alatalo, M.; Kollár, J.; et al. Third element effect in the surface zone of Fe-Cr-Al alloys. Phys. Rev. B Condens. Matter Mater. Phys. 2010, 81, 8–11. [Google Scholar] [CrossRef]
- Niu, Y.; Gesmundo, F. The internal oxidation of ternary alloys. VI: The transition from internal to external oxidation of the most-reactive component under intermediate oxidant pressures. Oxid. Met. 2004, 62, 391–410. [Google Scholar] [CrossRef]
- Chubb, W.; Alfant, S.; Bauer, A.A.; Jablonowski, E.J.; Shober, F.R.; Dickerson, R.F. Constitution, Metallurgy, and Oxidation Resistance of Iron-Chromium- Aluminum Alloys; Battelle Memorial Institute: Columbus, OH, USA, 1958. [Google Scholar] [CrossRef]
- Pint, B.A.; Dryepondt, S.; Unocic, K.A.; Hoelzer, D.T. Development of ODS FeCrAl for Compatibility in Fusion and Fission Energy Applications. JOM 2014, 66, 2458–2466. [Google Scholar] [CrossRef]
- Kim, H.; Subramanian, G.O.; Kim, C.; Jang, H.; Jang, C. 400 °C aging embrittlement of FeCrAl alloys: Microstructure and fracture behavior. Mater. Sci. Eng. A. 2019, 743, 159–167. [Google Scholar] [CrossRef]
- Gussev, M.N.; Field, K.G.; Yamamoto, Y. Design; properties, and weldability of advanced oxidation-resistant FeCrAl alloys. Mater. Des. 2017, 129, 227–238. [Google Scholar] [CrossRef]
- Stott, F.H.; Wood, G.C.; Stringer, J. The influence of alloying elements on the development and maintenance of protective scales. Oxid. Met. 1995, 44, 113–145. [Google Scholar] [CrossRef]
- Tang, C.; Jianu, A.; Steinbrueck, M.; Grosse, M.; Weisenburger, A.; Seifert, H.J. Influence of composition and heating schedules on compatibility of FeCrAl alloys with high-temperature steam. J. Nucl. Mater. 2018, 511, 496–507. [Google Scholar] [CrossRef]
- Pint, B.A. Experimental observations in support of the dynamic-segregation theory to explain the reactive-element effect. Oxid. Met. 1996, 45, 1–37. [Google Scholar] [CrossRef]
- Whittenberger, J.D. Tensile and creep properties of the experimental oxide dispersion strengthened iron-base sheet alloy MA-956E at 1365 K. Metall. Trans. A 1978, 9, 101–110. [Google Scholar] [CrossRef]
- Pimentel, G.; Capdevila, C.; Bartolomé, M.J.; Chao, J.; Serrano, M.; García-Junceda, A.; Campos, M.; Torralba, J.M.; Aldazábal, J. Advanced FeCrAl ODS steels for high-temperature structural applications in energy generation systems. Rev. Metal. 2012, 48, 303–316. [Google Scholar] [CrossRef]
- Ohnuma, M.; Suzuki, J.; Ohtsuka, S.; Kim, S.W.; Kaito, T.; Inoue, M.; Kitazawa, H. A new method for the quantitative analysis of the scale and composition of nanosized oxide in 9Cr-ODS steel. Acta Mater. 2009, 57, 5571–5581. [Google Scholar] [CrossRef]
- Mukhopadhyay, D.K.; Froes, F.H.; Gelles, D.S. Development of oxide dispersion strengthened ferritic steels for fusion. J. Nucl. Mater. 1998, 258–263, 1209–1215. [Google Scholar] [CrossRef]
- Romanoski, G.R.; Snead, L.L.; Klueh, R.L.; Hoelzer, D.T. Development of an oxide dispersion strengthened, reduced-activation steel for fusion energy. J. Nucl. Mater. 2000, 283–287, 642–646. [Google Scholar] [CrossRef]
- Klueh, R.L.; Shingledecker, J.P.; Swindeman, R.W.; Hoelzer, D.T. Oxide dispersion-strengthened steels: A comparison of some commercial and experimental alloys. J. Nucl. Mater. 2005, 341, 103–114. [Google Scholar] [CrossRef]
- Sakamoto, K.; Miura, Y.; Ukai, S.; Oono, N.H.; Kimura, A.; Yamaji, A.; Kusagaya, K.; Takano, S.; Kondo, T.; Ikegawa, T.; et al. Development of accident tolerant FeCrAl-ODS fuel cladding for BWRs in Japan. J. Nucl. Mater. 2021, 557, 153276. [Google Scholar] [CrossRef]
- Wang, J.; Mccabe, M.; Wu, L.; Dong, X.; Wang, X.; Haskin, T.C.; Corradini, M.L. Accident tolerant clad material modeling by MELCOR: Benchmark for SURRY Short Term Station Black Out. Nucl. Eng. Des. 2017, 313, 458–469. [Google Scholar] [CrossRef]
- Wen, C.; Yun, D.; He, X.; Xin, Y.; Li, W.; Sun, Z. Applying multi-scale simulations to materials research of nuclear fuels: A review. Mater. Rep. Energy 2021, 1, 100048. [Google Scholar] [CrossRef]
- Yun, D.; Lu, C.; Zhou, Z.; Wu, Y.; Liu, W.; Guo, S.; Shi, T.; Stubbins, J.F. Current state and prospect on the development of advanced nuclear fuel system materials: A review. Mater. Rep. Energy 2021, 1, 100007. [Google Scholar] [CrossRef]
- Li, N.; Parker, S.S.; Wood, E.S.; Nelson, A.T. Oxide Morphology of a FeCrAl Alloy, Kanthal APMT, Following Extended Aging in Air at 300 °C to 600 °C. Metall. Mater. Trans. A Phys. Metall. Mater. Sci. 2018, 49, 2940–2950. [Google Scholar] [CrossRef]
- Wasilkowska, A.; Bartsch, M.; Messerschmidt, U.; Herzog, R.; Czyrska-Filemonowicz, A. Creep mechanisms of ferritic oxide dispersion strengthened alloys. J. Mater. Process. Technol. 2003, 133, 218–224. [Google Scholar] [CrossRef]
- Lim, J.; Nam, H.O.; Hwang, I.S.; Kim, J.H. A study of early corrosion behaviors of FeCrAl alloys in liquid lead-bismuth eutectic environments. J. Nucl. Mater. 2010, 407, 205–210. [Google Scholar] [CrossRef]
- Lee, S.K.; Garrison, B.E.; Capps, N.A.; Pastore, G.; Massey, C.P.; Linton, K.D.; Brown, N.R. BISON validation of FeCrAl cladding mechanical failure during simulated reactivity-initiated accident conditions. J. Nucl. Mater. 2022, 564, 153676. [Google Scholar] [CrossRef]
- Aghamiri, S.M.S.; Sugawara, T.; Ukai, S.; Oono, N.; Sakamoto, K.; Yamashita, S.; Soltanieh, M. Orientation dependence of yield strength in a new single crystal-like FeCrAl oxide dispersion strengthened alloy. Mater. Charact. 2021, 176, 111043. [Google Scholar] [CrossRef]
- Jia, H.; Zhang, R.; Long, D.; Sun, Y.; Zhou, Z. Effect of zirconium content on mechanical properties of ODS FeCrAl alloy. Mater. Sci. Eng. A 2022, 839, 142824. [Google Scholar] [CrossRef]
- Hirata, A.; Fujita, T.; Liu, C.T.; Chen, M.W. Characterization of oxide nanoprecipitates in an oxide dispersion strengthened 14YWT steel using aberration-corrected STEM. Acta Mater. 2012, 60, 5686–5696. [Google Scholar] [CrossRef]
- McClintock, D.A.; Sokolov, M.A.; Hoelzer, D.T.; Nanstad, R.K. Mechanical properties of irradiated ODS-EUROFER and nanocluster strengthened 14YWT. J. Nucl. Mater. 2009, 392, 353–359. [Google Scholar] [CrossRef]
- Czyrska-Filemonowicz, A.; Szot, K.; Wasilkowska, A.; Gil, A.; Quadakkers, W.J. Microscopy (AFM, TEM, SEM) studies of oxide scale formation on FeCrAl based ODS alloys. Solid State Ionics 1999, 117, 13–20. [Google Scholar] [CrossRef]
- Yamamoto, Y.; Pint, B.A.; Terrani, K.A.; Field, K.G.; Yang, Y.; Snead, L.L. Development and property evaluation of nuclear grade wrought FeCrAl fuel cladding for light water reactors. J. Nucl. Mater. 2015, 467, 703–716. [Google Scholar] [CrossRef]
- Dou, P.; Kimura, A.; Okuda, T.; Inoue, M.; Ukai, S.; Ohnuki, S.; Fujisawa, T.; Abe, F. Polymorphic and coherency transition of Y-Al complex oxide particles with extrusion temperature in an Al-alloyed high-Cr oxide dispersion strengthened ferritic steel. Acta Mater. 2011, 59, 992–1002. [Google Scholar] [CrossRef]
- Schaffer, G.B.; Loretto, M.H.; Smallman, R.E.; Brooks, J.W. The nature of the dispersoids in INCONEL alloy M A6000. J. Mater. Sci. 1989, 24, 3261–3266. [Google Scholar] [CrossRef]
- Hsiung, L.L.; Fluss, M.J.; Tumey, S.J.; Choi, B.W.; Serruys, Y.; Willaime, F.; Kimura, A. Formation mechanism and the role of nanoparticles in Fe-Cr ODS steels developed for radiation tolerance. Phys. Rev. B Condens. Matter Mater. Phys. 2010, 82, 184103. [Google Scholar] [CrossRef]
- Kimura, A.; Kasada, R.; Iwata, N.; Kishimoto, H.; Zhang, C.H.; Isselin, J.; Dou, P.; Lee, J.H.; Muthukumar, N.; Okuda, T.; et al. Development of Al added high-Cr ODS steels for fuel cladding of next generation nuclear systems. J. Nucl. Mater. 2011, 417, 176–179. [Google Scholar] [CrossRef]
- Dou, P.; Kimura, A.; Kasada, R.; Okuda, T.; Inoue, M.; Ukai, S.; Ohnuki, S.; Fujisawa, T.; Abe, F. TEM and HRTEM study of oxide particles in an Al-alloyed high-Cr oxide dispersion strengthened steel with Zr addition. J. Nucl. Mater. 2014, 444, 441–453. [Google Scholar] [CrossRef]
- Massey, C.P.; Edmondson, P.D.; Unocic, K.A.; Yang, Y.; Dryepondt, S.N.; Kini, A.; Gault, B.; Terrani, K.A.; Zinkle, S.J. The effect of Zr on precipitation in oxide dispersion strengthened FeCrAl alloys. J. Nucl. Mater. 2020, 533, 152105. [Google Scholar] [CrossRef]
- Gao, R.; Zhang, T.; Wang, X.P.; Fang, Q.F.; Liu, C.S. Effect of zirconium addition on the microstructure and mechanical properties of ODS ferritic steels containing aluminum. J. Nucl. Mater. 2014, 444, 462–468. [Google Scholar] [CrossRef]
- Yu, C.Z.; Oka, H.; Hashimoto, N.; Ohnuki, S. Development of damage structure in 16Cr-4Al ODS steels during electron-irradiation. J. Nucl. Mater. 2011, 417, 286–288. [Google Scholar] [CrossRef]
- Dong, H.; Yu, L.; Liu, Y.; Liu, C.; Li, H.; Wu, J. Effect of hafnium addition on the microstructure and tensile properties of aluminum added high-Cr ODS steels. J. Alloys Compd. 2017, 702, 538–545. [Google Scholar] [CrossRef]
- Raghavendra, K.G.; Dasgupta, A.; Ghosh, C.; Jayasankar, K.; Srihari, V.; Saroja, S. Development of a novel ZrO2 dispersion strengthened 9Cr ferritic steel: Characterization of milled powder and subsequent annealing behavior. Powder Technol. 2018, 327, 267–274. [Google Scholar] [CrossRef]
- Gong, M.; Zhou, Z.; Hu, H.; Zhang, G.; Li, S.; Wang, M. Effects of aluminum on microstructure and mechanical behavior of 14Cr-ODS steels. J. Nucl. Mater. 2015, 462, 502–507. [Google Scholar] [CrossRef]
- Jia, H.; Zhang, R.; Long, D.; Sun, Y.; Zhou, Z. Effect of zirconium content on the microstructure of ODS FeCrAl alloys. Int. J. Energy Res. 2021, 45, 10226–10234. [Google Scholar] [CrossRef]
- Kim, S.W.; Shobu, T.; Ohtsuka, S.; Kaito, T.; Inoue, M.; Ohnuma, M. Kinetic approach for growth and coalescence of nano-size oxide particles in 9Cr-ODS steel using high-energy synchrotron radiation X-rays in SPring-8. Mater. Trans. 2009, 50, 917–921. [Google Scholar] [CrossRef]
- Ribis, J.; De Carlan, Y. Interfacial strained structure and orientation relationships of the nanosized oxide particles deduced from elasticity-driven morphology in oxide dispersion strengthened materials. Acta Mater. 2012, 60, 238–252. [Google Scholar] [CrossRef]
- Xu, S.; Zhou, Z.; Long, F.; Jia, H.; Guo, N.; Sun, Y.; Yao, Z.; Daymond, M.R. Influence of Al Addition Strategy on the Microstructure of a Low-Cr Oxide Dispersion-Strengthened Ferritic Steel. Adv. Eng. Mater. 2020, 22, 1900879. [Google Scholar] [CrossRef]
- Kassner, M.E.; Pérez-Prado, M.-T. Creep Behavior of Particle-Strengthened Alloys. In Fundamentals of Creep in Metals and Alloys; Elsevier: Amsterdam, The Netherlands, 2004; pp. 151–169. [Google Scholar] [CrossRef]
- Ansell, G.S.; Weertman, J. Creep of a Dispersion-Hardened Aluminum Alloy, Country Unknown/Code Not Available. 1959. Available online: https://www.osti.gov/biblio/4273426 (accessed on 13 March 2023).
- Nardone, V.C.; Tien, J.K. Pinning of dislocations on the departure side of strengthening dispersoids. Scr. Metall. 1983, 17, 467–470. [Google Scholar] [CrossRef]
- Schröder, J.H.; Arzt, E. Weak beam studies of dislocation/dispersoid interaction in an ods superalloy. Scr. Metall. 1985, 19, 1129–1134. [Google Scholar] [CrossRef]
- Arzt, E.; Wilkinson, D.S. Threshold stresses for dislocation climb over hard particles: The effect of an attractive interaction. Acta Metall. 1986, 34, 1893–1898. [Google Scholar] [CrossRef]
- Rösler, J.; Arzt, E. The kinetics of dislocation climb over hard particles-I. Climb without attractive particle-dislocation interaction. Acta Metall. 1988, 36, 1043–1051. [Google Scholar] [CrossRef]
- Regina, J.R.; Dupont, J.N.; Marder, A.R. The effect of chromium on the weldability and microstructure of Fe-Cr-AI weld cladding. Weld. J. 2007, 86, 170. Available online: https://www.osti.gov/biblio/20939508 (accessed on 18 March 2023).
- Svoboda, J.; Luptáková, N.; Jarý, M.; Dymáček, P. Influence of hot consolidation conditions and cr-alloying on microstructure and creep in new-generation ods alloy at 1100 °C. Materials 2020, 13, 5070. [Google Scholar] [CrossRef]
- Wilczynski, P.M.; Domonik, A.; Lukaszewski, P. Brittle creep and viscoelastic creep in lower palaeozoic shales from the baltic basin, poland. Energies 2021, 14, 4633. [Google Scholar] [CrossRef]
- Ren, J.; Yu, L.; Liu, C.; Ma, Z.; Li, H.; Wang, Z.; Liu, Y.; Wang, H. Creep properties, microstructural evolution, and fracture mechanism of an Al added high Cr ODS steel during creep deformation at 600 °C. J. Nucl. Mater. 2022, 558, 153376. [Google Scholar] [CrossRef]
- Lobb, R.C.; Jones, R.B. Creep-rupture properties of fecralloy stainless steel between 650 and 800 °C. J. Nucl. Mater. 1980, 91, 257–264. [Google Scholar] [CrossRef]
- Jaumier, T.; Vincent, S.; Vincent, L.; Desmorat, R. Creep and damage anisotropies of 9%Cr and 14%Cr ODS steel cladding. J. Nucl. Mater. 2019, 518, 274–286. [Google Scholar] [CrossRef]
- Malaplate, J.; Mompiou, F.; Béchade, J.L.; Van Den Berghe, T.; Ratti, M. Creep behavior of ODS materials: A study of dislocations/precipitates interactions. J. Nucl. Mater. 2011, 417, 205–208. [Google Scholar] [CrossRef]
- Leo, J.R.O.; Barroso, S.P.; Fitzpatrick, M.E.; Wang, M.; Zhou, Z. Microstructure, tensile and creep properties of an austenitic ODS 316L steel. Mater. Sci. Eng. A 2019, 749, 158–165. [Google Scholar] [CrossRef]
- Kamikawa, R.; Ukai, S.; Oono, N.; Kaito, T.; Torimaru, T.; Kimura, A.; Hayashi, S.; Masuda, H.; Sato, E. Grain boundary sliding associated with low strain rate at 1000 °C in recrystallized ODS ferritic steel. Nucl. Mater. Energy 2016, 9, 338–341. [Google Scholar] [CrossRef]
- Bruchhausen, M.; Turba, K.; De Haan, F.; Hähner, P.; Austin, T.; De Carlan, Y. Characterization of a 14Cr ODS steel by means of small punch and uniaxial testing with regard to creep and fatigue at elevated temperatures. J. Nucl. Mater. 2014, 444, 283–291. [Google Scholar] [CrossRef]
- Salmon-Legagneur, H.; Vincent, S.; Garnier, J.; Gourgues-Lorenzon, A.F.; Andrieu, E. Anisotropic intergranular damage development and fracture in a 14Cr ferritic ODS steel under high-temperature tension and creep. Mater. Sci. Eng. A 2018, 722, 231–241. [Google Scholar] [CrossRef]
- Ohtsuka, S.; Ukai, S.; Sakasegawa, H.; Fujiwara, M.; Kaito, T.; Narita, T. Nano-mesoscopic structural characterization of 9Cr-ODS martensitic steel for improving creep strength. J. Nucl. Mater. 2007, 367–370, 160–165. [Google Scholar] [CrossRef]
- Yu, G.; Nita, N.; Baluc, N. Thermal creep behaviour of the EUROFER 97 RAFM steel and two European ODS EUROFER 97 steels. Fusion Eng. Des. 2005, 75–79, 1037–1041. [Google Scholar] [CrossRef]
- Oka, H.; Tanno, T.; Yano, Y.; Ohtsuka, S.; Kaito, T.; Hashimoto, N. Effect of nitrogen concentration on creep strength and microstructure of 9Cr-ODS ferritic/martensitic steel. J. Nucl. Mater. 2022, 572, 154032. [Google Scholar] [CrossRef]
- Hayashi, T.; Sarosi, P.M.; Schneibel, J.H.; Mills, M.J. Creep response and deformation processes in nanocluster-strengthened ferritic steels. Acta Mater. 2008, 56, 1407–1416. [Google Scholar] [CrossRef]
- Masuda, H.; Tobe, H.; Sato, E.; Sugino, Y.; Ukai, S. Two-dimensional grain boundary sliding and mantle dislocation accommodation in ODS ferritic steel. Acta Mater. 2016, 120, 205–215. [Google Scholar] [CrossRef]
- Dadé, M.; Malaplate, J.; Garnier, J.; De Geuser, F.; Barcelo, F.; Wident, P.; Deschamps, A. Influence of microstructural parameters on the mechanical properties of oxide dispersion strengthened Fe-14Cr steels. Acta Mater. 2017, 127, 165–177. [Google Scholar] [CrossRef]
- Ukai, S.; Kato, S.; Furukawa, T.; Ohtsuka, S. High-temperature creep deformation in FeCrAl-oxide dispersion strengthened alloy cladding. Mater. Sci. Eng. A 2020, 794, 139863. [Google Scholar] [CrossRef]
- Ukai, S.; Yamashita, S. Dislocation-climbing bypass over dispersoids with different lattice misfit in creep deformation of FeCrAl oxide dispersion-strengthened alloys. J. Mater. Res. Technol. 2022, 16, 891–898. [Google Scholar] [CrossRef]
- Jarugula, R.; Babu, P.S.; Raman, S.G.S.; Sundararajan, G. Creep deformation behavior of nano oxide dispersion strengthened Fe–18Cr ferritic steel. Materialia 2020, 12, 100788. [Google Scholar] [CrossRef]
- Joshi, P.; Kombaiah, B.; Cinbiz, M.N.; Murty, K.L. Characterization of stress-rupture behavior of nuclear-grade C26M2 FeCrAl alloy for accident-tolerant fuel cladding via burst testing. Mater. Sci. Eng. A 2020, 791, 139753. [Google Scholar] [CrossRef]
- Sun, H.; Wang, H.; He, X.; Wang, F.; An, X.; Wang, Z. Study on high temperature creep behavior of the accident-resistant cladding Fe–13Cr–4Al-1.85Mo-0.85Nb alloy. Mater. Sci. Eng. A 2021, 802, 140688. [Google Scholar] [CrossRef]
- Kamikawa, R.; Ukai, S.; Kasai, S.; Oono, N.; Zhang, S.; Sugino, Y.; Masuda, H.; Sato, E. Cooperative grain boundary sliding in creep deformation of FeCrAl-ODS steels at high temperature and low strain rate. J. Nucl. Mater. 2018, 511, 591–597. [Google Scholar] [CrossRef]
- Yao, H.; Ye, T.; Yu, W.; Wang, P.; Wu, J.; Wu, Y.; Chen, P. Atomic-scale investigation of creep behavior and deformation mechanism in nanocrystalline FeCrAl alloys. Mater. Des. 2021, 206, 109766. [Google Scholar] [CrossRef]
- Massey, C.P.; Hoelzer, D.T.; Edmondson, P.D.; Kini, A.; Gault, B.; Terrani, K.A.; Zinkle, S.J. Stability of a model Fe-14Cr nanostructured ferritic alloy after long-term thermal creep. Scr. Mater. 2019, 170, 134–139. [Google Scholar] [CrossRef]
- Oka, H.; Tanno, T.; Yano, Y.; Ohtsuka, S.; Kaito, T.; Tachi, Y. Microstructural stability of ODS steel after very long-term creep test. J. Nucl. Mater. 2021, 547, 152833. [Google Scholar] [CrossRef]
- Chen, L.; Zhou, Z.; Schroer, C. Research Progress on Compatibility of Liquid Metal and Iron-based Alloy in Lead Cooled Energy Systems. Cailiao Daobao/Mater. Rep. 2020, 34, 5096–5101. [Google Scholar] [CrossRef]
- Dryepondt, S.; Pint, B.A.; Lara-Curzio, E. Creep behavior of commercial FeCrAl foils: Beneficial and detrimental effects of oxidation. Mater. Sci. Eng. A 2012, 550, 10–18. [Google Scholar] [CrossRef]
- Jönsson, B.; Lu, Q.; Chandrasekaran, D.; Berglund, R.; Rave, F. Oxidation and creep limited lifetime of kanthal APMT®, a dispersion strengthened FeCrAlMo alloy designed for strength and oxidation resistance at high temperatures. Oxid. Met. 2013, 79, 29–39. [Google Scholar] [CrossRef]
- Gong, X.; Short, M.P.; Auger, T.; Charalampopoulou, E.; Lambrinou, K. Environmental degradation of structural materials in liquid lead- and lead-bismuth eutectic-cooled reactors. Prog. Mater. Sci. 2022, 126, 100920. [Google Scholar] [CrossRef]
- Dömstedt, P.; Lundberg, M.; Szakalos, P. Corrosion Studies of Low-Alloyed FeCrAl Steels in Liquid Lead at 750 °C. Oxid. Met. 2019, 91, 511–524. [Google Scholar] [CrossRef]
- Weisenburger, A.; Jianu, A.; An, W.; Fetzer, R.; Del Giacco, M.; Heinzel, A.; Müller, G.; Markov, V.G.; Kasthanov, A.D. Creep, creep-rupture tests of Al-surface-alloyed T91 steel in liquid lead bismuth at 500 and 550 °C. J. Nucl. Mater. 2012, 431, 77–84. [Google Scholar] [CrossRef]
- Yurechko, M.; Schroer, C.; Skrypnik, A.; Wedemeyer, O.; Konys, J. Creep-to-rupture of 12Cr- and 14Cr-ODS steels in oxygen-controlled lead and air at 650 °C. J. Nucl. Mater. 2014, 450, 88–98. [Google Scholar] [CrossRef]
- Yurechko, M.; Schroer, C.; Wedemeyer, O.; Skrypnik, A.; Konys, J. Creep-rupture tests on chromium-containing conventional and ODS steels in oxygen-controlled Pb and air at 650 °C. Nucl. Eng. Des. 2014, 280, 686–696. [Google Scholar] [CrossRef]
- Kondo, K.; Aoki, S.; Yamashita, S.; Ukai, S.; Sakamoto, K.; Hirai, M.; Kimura, A. Ion irradiation effects on FeCrAl-ODS ferritic steel. Nucl. Mater. Energy 2018, 15, 13–16. [Google Scholar] [CrossRef]
- Aydogan, E.; Weaver, J.S.; Maloy, S.A.; El-Atwani, O.; Wang, Y.Q.; Mara, N.A. Microstructure and mechanical properties of FeCrAl alloys under heavy ion irradiations. J. Nucl. Mater. 2018, 503, 250–262. [Google Scholar] [CrossRef]
- Haley, J.C.; Briggs, S.A.; Edmondson, P.D.; Sridharan, K.; Roberts, S.G.; Lozano-Perez, S.; Field, K.G. Dislocation loop evolution during in-situ ion irradiation of model FeCrAl alloys. Acta Mater. 2017, 136, 390–401. [Google Scholar] [CrossRef]
- Petersson, C.; Szakálos, P.; Stein, D.D. Slow strain rate testing of Fe-10Cr-4Al ferritic steel in liquid lead and lead–bismuth eutectic. Nucl. Mater. Energy 2023, 34, 101403. [Google Scholar] [CrossRef]
- Gong, X.; Hu, F.; Chen, J.; Wang, H.; Gong, H.; Xiao, J.; Wang, H.; Deng, Y.; Pang, B.; Huang, X.; et al. Effect of temperature on liquid metal embrittlement susceptibility of an Fe10Cr4Al ferritic alloy in contact with stagnant lead-bismuth eutectic. J. Nucl. Mater. 2020, 537, 152196. [Google Scholar] [CrossRef]
- Jun, J.; Unocic, K.A.; Lance, M.J.; Meyer, H.M.; Pint, B.A. Compatibility of FeCrAlMo with flowing PbLi at 500–650 °C. J. Nucl. Mater. 2020, 528, 151847. [Google Scholar] [CrossRef]
- Gong, X.; Chen, J.; Hu, F.; Xiang, C.; Yu, Z.; Xiao, J.; Wang, H.; Gong, H.; Wang, H.; Liu, C.; et al. Liquid metal embrittlement of an Fe10Cr4Al ferritic alloy exposed to oxygen-depleted and -saturated lead-bismuth eutectic at 350 °C. Corros. Sci. 2020, 165, 108364. [Google Scholar] [CrossRef]








Disclaimer/Publisher’s Note: The statements, opinions and data contained in all publications are solely those of the individual author(s) and contributor(s) and not of MDPI and/or the editor(s). MDPI and/or the editor(s) disclaim responsibility for any injury to people or property resulting from any ideas, methods, instructions or products referred to in the content. |
© 2023 by the authors. Licensee MDPI, Basel, Switzerland. This article is an open access article distributed under the terms and conditions of the Creative Commons Attribution (CC BY) license (https://creativecommons.org/licenses/by/4.0/).
Share and Cite
Jia, H.; Wang, Y.; Wang, Y.; Han, L.; Zhang, Y.; Zhou, Z. Recent Progress on Creep Properties of ODS FeCrAl Alloys for Advanced Reactors. Materials 2023, 16, 3497. https://doi.org/10.3390/ma16093497
Jia H, Wang Y, Wang Y, Han L, Zhang Y, Zhou Z. Recent Progress on Creep Properties of ODS FeCrAl Alloys for Advanced Reactors. Materials. 2023; 16(9):3497. https://doi.org/10.3390/ma16093497
Chicago/Turabian StyleJia, Haodong, Yingjie Wang, You Wang, Lu Han, Yujuan Zhang, and Zhangjian Zhou. 2023. "Recent Progress on Creep Properties of ODS FeCrAl Alloys for Advanced Reactors" Materials 16, no. 9: 3497. https://doi.org/10.3390/ma16093497
APA StyleJia, H., Wang, Y., Wang, Y., Han, L., Zhang, Y., & Zhou, Z. (2023). Recent Progress on Creep Properties of ODS FeCrAl Alloys for Advanced Reactors. Materials, 16(9), 3497. https://doi.org/10.3390/ma16093497

