Low-Temperature Sintering of Bi(Ni0.5Ti0.5)O3-BiFeO3-Pb(Zr0.5Ti0.5)O3 Ceramics and Their Performance
Abstract
1. Introduction
2. Experimental Procedure
3. Results and Discussion
3.1. Structure and Density Characterization
3.2. SEM Observation
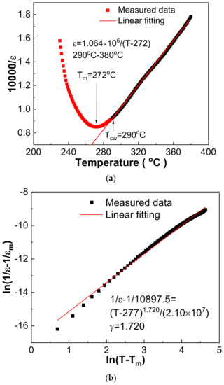
3.3. Resistance and Dielectric Performance
3.4. Piezoelectric Performance
3.5. Conduction Mechanism
4. Conclusions
Supplementary Materials
Author Contributions
Funding
Institutional Review Board Statement
Informed Consent Statement
Data Availability Statement
Conflicts of Interest
References
- Damjanovic, D. Materials for high temperature piezoelectric transducers. Curr. Opin. Solid State Mater. Sci. 1998, 3, 469–473. [Google Scholar] [CrossRef]
- Gao, Z.; Lu, C.; Wang, Y.; Yang, S.; Yu, Y.; He, H. Super stable ferroelectrics with high Curie point. Sci. Rep. 2016, 6, 24139. [Google Scholar] [CrossRef] [PubMed]
- Wang, Y.; Ma, H.; Yuan, G.; Luo, H.; Viehland, D. Heterogeneous domain configurations in ferroelectric crystals during thermal depolarization. J. Am. Ceram. Soc. 2017, 100, 1751–1759. [Google Scholar] [CrossRef]
- Hao, J.; Li, W.; Zhai, J.; Chen, H. Progress in high-strain perovskite piezoelectric ceramics. Mater. Sci. Eng. R 2019, 135, 1–57. [Google Scholar] [CrossRef]
- Ji, W.; Fang, B.; Zhao, X.; Zhang, S.; Lu, X.; Ding, J. Enhancing electrical properties of high-Curie temperature piezoelectric ceramics BNT-PZT and their mechanism. Curr. Appl. Phys. 2019, 19, 1367–1373. [Google Scholar] [CrossRef]
- Chen, L.; Liu, H.; Qi, H.; Chen, J. High-electromechanical performance for high-power piezoelectric applications: Fundamental, progress, and perspective. Prog. Mater. Sci. 2022, 127, 100944. [Google Scholar] [CrossRef]
- Li, F.; Lin, D.B.; Chen, Z.B.; Cheng, Z.X.; Wang, J.L.; Li, C.C.; Xu, Z.; Huang, Q.W.; Liao, X.Z.; Chen, L.Q.; et al. Ultrahigh piezoelectricity in ferroelectric ceramics by design. Nat. Mater. 2018, 17, 349–356. [Google Scholar] [CrossRef]
- Lin, D.; Zhang, S.; Gorzkowski, E.; Zhou, S.; Liu, W.; Li, F. Investigation of morphotropic phase boundaries in PIN-PSN-PT relaxor ferroelectric ternary systems with high Tr-t and Tc phase transition temperatures. J. Eur. Ceram. Soc. 2017, 37, 2813–2823. [Google Scholar] [CrossRef]
- Sato, Y.; Hirayama, T.; Ikuhara, Y. Monoclinic nanodomains in morphotropic phase boundary Pb(Mg1/3Nb2/3)O3-PbTiO3. App. Phys. Lett. 2014, 104, 082905. [Google Scholar] [CrossRef]
- Zhu, R.; Fang, B.; Zhang, S.; Lu, X.; Ding, J. Composition design of PMN-PH-PT piezoelectric ceramics for high-temperature actuator applications. Mater. Res. Express 2020, 7, 046304. [Google Scholar] [CrossRef]
- Eitel, R.E.; Randall, C.A.; Shrout, T.R.; Rehrig, P.W.; Hackenberger, W.; Park, S.-E. New high temperature morphotropic phase boundary piezoelectrics based on Bi(Me)O3-PbTiO3 ceramics. Jpn. J. Appl. Phys. 2001, 40, 5999–6002. [Google Scholar] [CrossRef]
- Wei, Y.; Bai, C.; Jin, C.; Zhu, W.; Jian, Z.; Nan, R.; Hu, L.; Dai, Z. Super short-range magnetic orderings in a multiferroic relaxor ceramic 0.41Bi(Ni1/2Zr1/2)O3-0.59PbTiO3. J. Mater. Sci. 2021, 56, 11838–11846. [Google Scholar] [CrossRef]
- Choi, S.M.; Stringer, C.J.; Shrout, T.R.; Randall, C.A. Structure and property investigation of a Bi-based perovskite solid solution: (1−x)Bi(Ni1/2Ti1/2)O3-xPbTiO3. J. Appl. Phys. 2005, 98, 034108. [Google Scholar] [CrossRef]
- Zhao, T.; Fei, C.; Pu, K.; Dai, X.; Song, J.; Wang, C.; Dong, S. Structure evolution and enhanced electrical performance for BiScO3-Bi(Ni1/2Zr1/2)O3-PbTiO3 solid solutions near the morphotropic phase boundary. J. Alloys Compd. 2021, 873, 159844. [Google Scholar] [CrossRef]
- Ansell, T.Y.; Cann, D.P.; Sapper, E.; Rödel, J. Thermal depolarization in the high-temperature ternary piezoelectric system xPbTiO3-yBiScO3-zBi(Ni1/2Ti1/2)O3. J. Am. Ceram. Soc. 2015, 98, 455–463. [Google Scholar] [CrossRef]
- Ji, W.; Feng, S.; Fang, B.; Zhao, X.; Zhang, S.; Ding, J.; Luo, H. Facile preparation and performance of novel high-TC xBi(Ni1/2Ti1/2)O3-(1−x)Pb(Zr1/2Ti1/2)O3 piezoceramics. Curr. Appl. Phys. 2018, 18, 289–296. [Google Scholar] [CrossRef]
- Zhai, L.; Shi, Y.G.; Gao, J.L.; Tang, S.L.; Du, Y.W. Ferroelectric and magnetic properties in high-pressure synthesized BiFeO3 compound. J. Alloys Compd. 2011, 509, 7591–7594. [Google Scholar] [CrossRef]
- Sun, X.; Chen, J.; Yu, R.; Xing, X.; Qiao, L.; Liu, G. BiFeO3-doped (Na0.5K0.5)NbO3 lead-free piezoelectric ceramics. Sci. Technol. Adv. Mater. 2008, 9, 025004. [Google Scholar] [CrossRef]
- Luo, F.; Guan, H.W.; Peng, R.; Jian, J.; Chen, J.G.; Cheng, J.R. Low-temperature sintering of BF-PT-BZ ternary solid solutions with enhanced piezoelectric properties. J. Am. Ceram. Soc. 2019, 102, 5958–5965. [Google Scholar] [CrossRef]
- Beuerlein, M.A.; Kumar, N.; Usher, T.-M.; Brown-Shaklee, H.J.; Raengthon, N.; Reaney, I.M.; Cann, D.P.; Jones, J.L.; Brennecka, G.L. Current understanding of structure-processing-property relationships in BaTiO3-Bi(M)O3 dielectrics. J. Am. Ceram. Soc. 2016, 99, 2849–2870. [Google Scholar] [CrossRef]
- Wang, S.; Fang, B.; Zhao, X.; Zhang, S.; Lu, X.; Ding, J. Phase formation and performance of high Curie temperature Bi(Ni0.5Ti0.5)O3-BiFeO3-PbTiO3 ceramics. Ferroelectrics 2022, 600, 105–123. [Google Scholar] [CrossRef]
- Chandrakala, E.; Praveen, J.P.; Hazra, B.K.; Das, D. Effect of sintering temperature on structural, dielectric, piezoelectric and ferroelectric properties of sol-gel derived BZT-BCT ceramics. Ceram. Int. 2016, 42, 4964–4977. [Google Scholar] [CrossRef]
- Ying, Y.; Xiong, X.; Wang, N.; Zheng, J.; Yu, J.; Li, W.; Qiao, L.; Cai, W.; Li, J.; Huang, H.; et al. Low temperature sintered MnZn ferrites for power applications at the frequency of 1 MHz. J. Eur. Ceram. Soc. 2021, 41, 5924–5930. [Google Scholar] [CrossRef]
- Lee, W.-C.; Huang, C.-Y.; Tsao, L.-K.; Wu, Y.-C. Chemical composition and tolerance factor at the morphotropic phase boundary in (Bi0.5Na0.5)TiO3-based piezoelectric ceramics. J. Eur. Ceram. Soc. 2009, 29, 1443–1448. [Google Scholar] [CrossRef]
- Shannon, R.D. Revised effective ionic radii and systematic studies of interatomic distances in Halides and chalcogenides. Acta Cryst. 1976, A32, 751–766. [Google Scholar] [CrossRef]
- Yang, Y.; Liu, C.; Ji, Y.; He, L.; Ren, X. Designed morphotropic relaxor boundary ceramic exhibiting large electrostrain and negligible hysteresis. Acta Mater. 2021, 208, 116720. [Google Scholar] [CrossRef]
- Bhattacharjee, S.; Pande, D. Effect of stress induced monoclinic to tetragonal phase transformation in the multiferroic (1−x)BiFeO3-xPbTiO3 system on the width of the morphotropic phase boundary and the tetragonality. J. Appl. Phys. 2011, 110, 084105. [Google Scholar] [CrossRef]
- Tutuncu, G.; Fan, L.; Chen, J.; Xing, X.; Jones, J.L. Extensive domain wall motion and deaging resistance in morphotropic 0.55Bi(Ni1/2Ti1/2)O3-0.45PbTiO3 polycrystalline ferroelectrics. Appl. Phys. Lett. 2014, 104, 132907. [Google Scholar] [CrossRef]
- Yang, Y.; Wang, H.; Bi, L.; Zheng, Q.; Fan, G.; Jie, W.; Lin, D. High energy storage density and discharging efficiency in La3+/Nb5+ co-substituted (Bi0.5Na0.5)0.94Ba0.06TiO3 ceramics. J. Eur. Ceram. Soc. 2019, 39, 3051–3056. [Google Scholar] [CrossRef]
- Wang, Y.; Jie, W.; Yang, C.; Wei, X.; Hao, J. Colossal permittivity materials as superior dielectrics for diverse applications. Adv. Funct. Mater. 2019, 29, 1808118. [Google Scholar] [CrossRef]
- Uchino, K.; Nomura, S. Critical exponents of the dielectric constants in diffused-phase-transition crystals. Ferroelectr. Lett. 1982, 44, 55–61. [Google Scholar] [CrossRef]
- Wei, X.; Feng, Y.; Yao, X. Dielectric relaxation behavior in barium stannate titanate ferroelectric ceramics with diffused phase transition. Appl. Phys. Lett. 2003, 83, 2031–2033. [Google Scholar]
- Shvartsman, V.V.; Kleemann, W.; Dec, J.; Xu, Z.; Lu, K.S.G. Diffuse phase transition in BaTi1−xSnxO3 ceramics: An intermediate state between ferroelectric and relaxor behavior. J. Appl. Phys. 2006, 99, 124111. [Google Scholar] [CrossRef]
- Tang, X.G.; Chew, K.-H.; Chan, H.L.W. Diffuse phase transition and dielectric tunability of Ba(ZryTi1-y)O3 relaxor ferroelectric ceramics. Acta Mater. 2004, 52, 5177–5183. [Google Scholar] [CrossRef]
- Zhou, Y.; Fang, B.; Zhang, S.; Lu, X.; Ding, J. Enhancing densification and electrical properties of KNN-based lead-free ceramics via two-step sintering. J. Korean Ceram. Soc. 2022, 59, 551–564. [Google Scholar] [CrossRef]
- Bhadauria, P.P.S.; Kolte, J. Impedance and AC conductivity analysis of La-substituted 0.67BiFeO3-0.33BaTiO3 solid solution. Appl. Phys. A 2022, 128, 465. [Google Scholar] [CrossRef]
- Pastor, M.; Bajpai, P.K.; Choudhary, R.N. Structural and electrical impedance study of Pb(Sr1/3Nb2/3)O3. J. Phys. Chem. Solids 2007, 68, 1914–1920. [Google Scholar] [CrossRef]













| Sintering Temperature (°C) | a = b (Å) | c (Å) | α = β = γ (°) | Reliability Factors |
|---|---|---|---|---|
| 1010 | 4.046819 | 4.071851 | 90 | Rwp = 6.12%, Rp = 4.25%, χ2 = 5.770 |
| 1020 | 4.024786 | 4.091517 | 90 | Rwp = 5.56%, Rp = 3.94%, χ2 = 4.492 |
| 1030 | 4.015606 | 4.091098 | 90 | Rwp = 4.84%, Rp = 3.51%, χ2 = 3.587 |
| 1040 | 4.016916 | 4.090731 | 90 | Rwp = 4.82%, Rp = 3.54%, χ2 = 3.700 |
| 1050 | 4.030802 | 4.094163 | 90 | Rwp = 4.16%, Rp = 3.11%, χ2 = 2.607 |
| Sintering Temperature (°C) | Cell Volume (Å3) | Bulk Density (g/cm3) | Theoretical Density (g/cm3) | Relative Density (%) | Resistivity (Ω·cm) |
|---|---|---|---|---|---|
| 1010 | 66.68366 | 7.242 | 8.005032 | 90.46 | 3.56 × 1011 |
| 1020 | 66.27808 | 7.677 | 8.043474 | 95.45 | 4.21 × 1011 |
| 1030 | 65.96933 | 7.802 | 8.078878 | 96.56 | 6.68 × 1011 |
| 1040 | 66.00646 | 7.550 | 8.080214 | 93.45 | 1.22 × 1011 |
| 1050 | 66.51936 | 7.258 | 8.016112 | 90.54 | 1.74 × 1011 |
| Sintering Temperature (°C) | Dielectric Peak Temperature Tm (°C) | Maximum Dielectric Constant (εm) | Curie–Weiss Constant (C) | Curie–Weiss Temperature (°C) | TCW (Obey Curie–Weiss Law Temperature) (°C) | Diffuseness Coefficient (γ) |
|---|---|---|---|---|---|---|
| 1010 | 262 | 14,939.8 | 1.277 × 106 | 266 | 277 | 1.697 |
| 1020 | 265 | 13,435.5 | 1.075 × 106 | 268 | 281 | 1.705 |
| 1030 | 269 | 12,675.9 | 1.064 × 106 | 272 | 290 | 1.720 |
| 1040 | 260 | 16,085.5 | 1.064 × 106 | 266 | 290 | 1.733 |
| 1050 | 259 | 13,782.5 | 8.849 × 105 | 263 | 290 | 1.698 |
| Element | Atom% (Location 1) | Atom% (Location 2) | Atom% (Location 3) |
|---|---|---|---|
| Bi | 8.73 ± 0.07 | 8.82 ± 0.07 | 9.53 ± 0.07 |
| Ni | 3.26 ± 0.02 | 2.18 ± 0.02 | 3.47 ± 0.02 |
| Ti | 11.22 ± 0.01 | 11.31 ± 0.01 | 11.94 ± 0.02 |
| Fe | 1.90 ± 0.01 | 1.70 ± 0.01 | 2.07 ± 0.01 |
| Pb | 19.05 ± 0.07 | 19.27 ± 0.07 | 19.76 ± 0.07 |
| Zr | 8.42 ± 0.03 | 9.19 ± 0.03 | 8.51 ± 0.03 |
| O | 47.42 ± 0.02 | 47.53 ± 0.02 | 44.71 ± 0.02 |
| Sintering Temperature (°C) | Kp (%) | Qm |
|---|---|---|
| 1010 | 30.4 | 13.3 |
| 1020 | 30.5 | 15.4 |
| 1030 | 37.7 | 27.3 |
| 1040 | 32.3 | 14.3 |
| 1050 | 37.3 | 19.5 |
Disclaimer/Publisher’s Note: The statements, opinions and data contained in all publications are solely those of the individual author(s) and contributor(s) and not of MDPI and/or the editor(s). MDPI and/or the editor(s) disclaim responsibility for any injury to people or property resulting from any ideas, methods, instructions or products referred to in the content. |
© 2023 by the authors. Licensee MDPI, Basel, Switzerland. This article is an open access article distributed under the terms and conditions of the Creative Commons Attribution (CC BY) license (https://creativecommons.org/licenses/by/4.0/).
Share and Cite
Wang, W.; Wang, S.; Sun, J.; Wang, Q.; Fang, B. Low-Temperature Sintering of Bi(Ni0.5Ti0.5)O3-BiFeO3-Pb(Zr0.5Ti0.5)O3 Ceramics and Their Performance. Materials 2023, 16, 3459. https://doi.org/10.3390/ma16093459
Wang W, Wang S, Sun J, Wang Q, Fang B. Low-Temperature Sintering of Bi(Ni0.5Ti0.5)O3-BiFeO3-Pb(Zr0.5Ti0.5)O3 Ceramics and Their Performance. Materials. 2023; 16(9):3459. https://doi.org/10.3390/ma16093459
Chicago/Turabian StyleWang, Wuyang, Shihao Wang, Jun Sun, Qiushi Wang, and Bijun Fang. 2023. "Low-Temperature Sintering of Bi(Ni0.5Ti0.5)O3-BiFeO3-Pb(Zr0.5Ti0.5)O3 Ceramics and Their Performance" Materials 16, no. 9: 3459. https://doi.org/10.3390/ma16093459
APA StyleWang, W., Wang, S., Sun, J., Wang, Q., & Fang, B. (2023). Low-Temperature Sintering of Bi(Ni0.5Ti0.5)O3-BiFeO3-Pb(Zr0.5Ti0.5)O3 Ceramics and Their Performance. Materials, 16(9), 3459. https://doi.org/10.3390/ma16093459

