Sustainable Innovation: Turning Waste into Soil Additives
Abstract
1. Introduction
2. Materials and Methods
2.1. Site Characteristics
2.2. Climatic Conditions
2.3. Materials
2.4. Preparation of BioWAG Prototypes and Test Sites
2.5. Description of the Experiment
2.6. Research Methodology
2.6.1. Measuring the Fresh and Dry Weight of Plants
2.6.2. Relative Water Content (RWC) Measurement
2.6.3. Analysis of the Development of Plant Root System
2.7. Data Analysis
3. Results
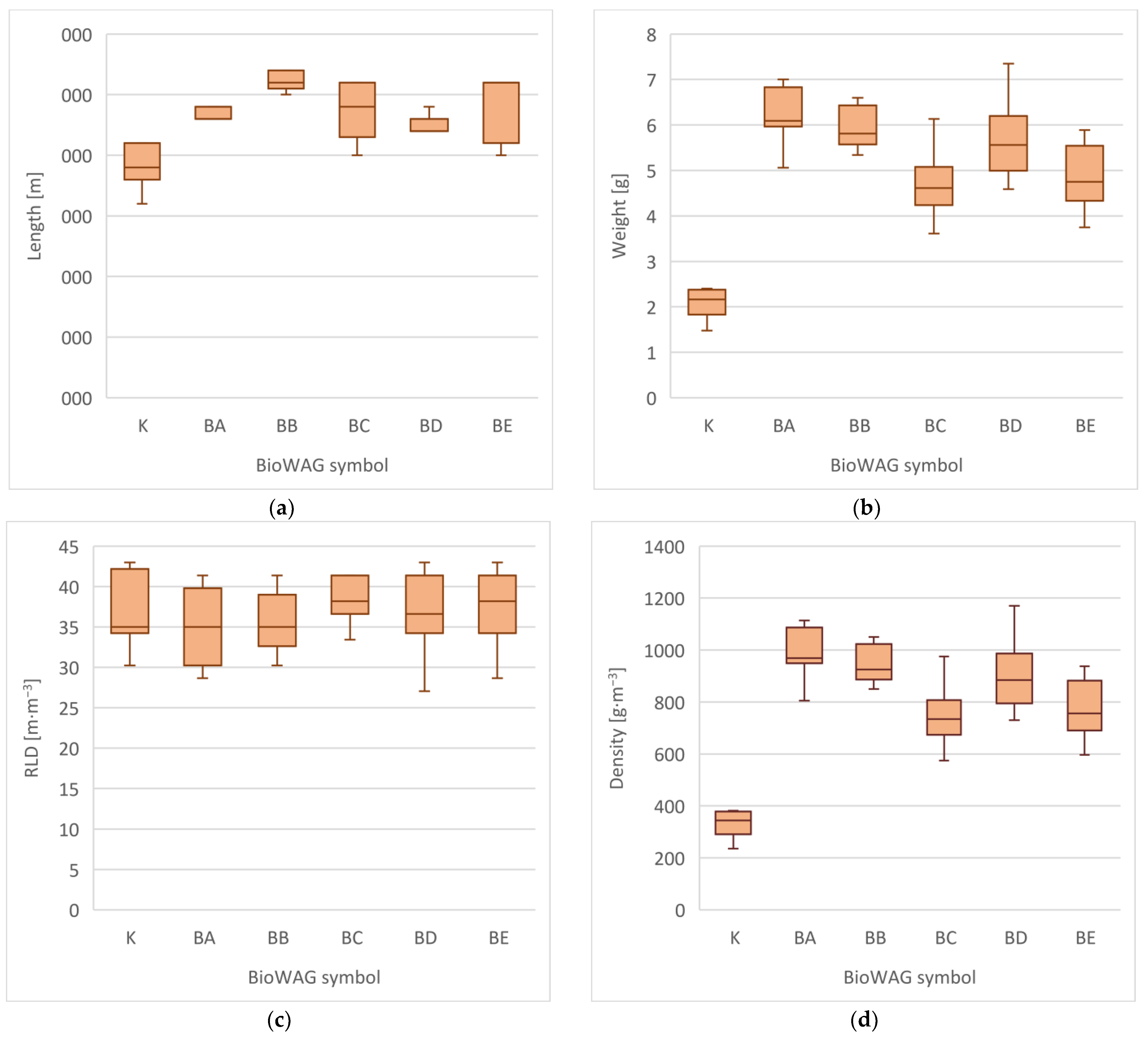
3.1. Plant Growth
3.2. Root Growth
3.3. Relative Water Content (RWC) Measurement
4. Discussion
4.1. Relative Water Content (RWC)
4.2. Plant Growth
5. Conclusions
- BioWAGs are a highly efficient solution. The application of this sustainable technology guarantees continuous access to water regardless of the atmospheric conditions. Moreover, they increase the fresh and dry weight of plants, mitigate the effects of water stress, and as a result, make it possible to limit fertilizer use and reduce the negative environmental impact.
- Textiles used in BioWAGs can be successfully produced using the widely available fibres of animal and plant origin, such as linen, jute, or wool. As a result of biodegradation, geotextiles based on natural fibres gradually release, into the soil, easily accessible compounds that become natural fertilizers for plants.
- The research results indicate that BioWAGs have a positive effect on the development of above-ground and underground parts of selected grass species. Irrespective of the kind of biotextile applied, BioWAGs increased the fresh weight of grass shoots by 230–420% and the dry weight of roots by 130–200% in comparison with the control group.
- BioWAGs can reduce the effects of water stress, which was confirmed by the RWC results. The optimum hydration of plants was confirmed by the higher values of the RWC index (91–95%) that were noted throughout the season in sites with WAGs.
- The time of effective operation of BioWAGs may be adjusted to the requirements of plants and users’ expectations by using textiles with a particular time of biodegradation. All the materials applied in this work showed potential for at least one vegetation season. This time is suitable for the germination and development of plants used to protect slopes (grass and shrubs), ornamental plants, or agricultural crops.
Author Contributions
Funding
Institutional Review Board Statement
Informed Consent Statement
Data Availability Statement
Acknowledgments
Conflicts of Interest
References
- Sharma, A.; Kumar, S.; Khan, S.A.; Kumar, A.; Mir, J.I.; Sharma, O.C.; Singh, D.B.; Arora, S. Plummeting anthropogenic environmental degradation by amending nutrient-N input method in saffron growing soils of north-west Himalayas. Sci. Rep. 2021, 11, 2488. [Google Scholar] [CrossRef] [PubMed]
- Alvarado, R.; Ponce, P.; Criollo, A.; Córdova, K.; Khan, M.K. Environmental degradation and real per capita output: New evidence at the global level grouping countries by income levels. J. Clean. Prod. 2018, 189, 13–20. [Google Scholar] [CrossRef]
- Muhammad, B.; Khan, M.K.; Khan, M.I.; Khan, S. Impact of foreign direct investment, natural resources, renewable energy consumption, and economic growth on environmental degradation: Evidence from BRICS, developing, developed and global countries. Environ. Sci. Pollut. Res. 2021, 28, 21789–21798. [Google Scholar] [CrossRef]
- Chan, C.M.; Vandi, L.J.; Pratt, S.; Halley, P.; Richardson, D.; Werker, A.; Laycock, B. Insights into the biodegradation of PHA/wood composites: Micro- and macroscopic changes. Sustain. Mater. Technol. 2019, 21, e00099. [Google Scholar] [CrossRef]
- Xiong, Y.; Shi, Q.; Sy, N.D.; Dennis, N.M.; Schlenk, D.; Gan, J. Influence of methylation and demethylation on plant uptake of emerging contaminants. Environ. Int. 2022, 170, 107612. [Google Scholar] [CrossRef] [PubMed]
- Alfarrah, N.; Walraevens, K. Groundwater Overexploitation and Seawater Intrusion in Coastal Areas of Arid and Semi-Arid Regions. Water 2018, 10, 143. [Google Scholar] [CrossRef]
- Stenzel, F.; Greve, P.; Lucht, W.; Tramberend, S.; Wada, Y.; Gerten, D. Irrigation of biomass plantations may globally increase water stress more than climate change. Nat. Commun. 2021, 12, 1–9. [Google Scholar] [CrossRef] [PubMed]
- Staiger, M.P.; Tucker, N. Natural-fibre composites in structural applications. In Properties and Performance of Natural-Fibre Composites; Elsevier: Amsterdam, The Netherlands, 2008; pp. 269–300. [Google Scholar]
- Dastjerdi, B.; Strezov, V.; Kumar, R.; Behnia, M. An evaluation of the potential of waste to energy technologies for residual solid waste in New South Wales, Australia. Renew. Sustain. Energy Rev. 2019, 115, 109398. [Google Scholar] [CrossRef]
- Godfray, H.C.J.; Beddington, J.R.; Crute, I.R.; Haddad, L.; Lawrence, D.; Muir, J.F.; Pretty, J.; Robinson, S.; Thomas, S.M.; Toulmin, C. Food security: The challenge of feeding 9 billion people. Science 2010, 327, 812–818. [Google Scholar] [CrossRef]
- Liu, M.; Xu, X.; Jiang, Y.; Huang, Q.; Huo, Z.; Liu, L.; Huang, G. Responses of crop growth and water productivity to climate change and agricultural water-saving in arid region. Sci. Total Environ. 2020, 703, 134621. [Google Scholar] [CrossRef] [PubMed]
- Ma, T.; Sun, S.; Fu, G.; Hall, J.W.; Ni, Y.; He, L.; Yi, J.; Zhao, N.; Du, Y.; Pei, T.; et al. Pollution exacerbates China’s water scarcity and its regional inequality. Nat. Commun. 2020, 11, 1–9. [Google Scholar] [CrossRef] [PubMed]
- Le, N.L.; Nunes, S.P. Materials and membrane technologies for water and energy sustainability. Sustain. Mater. Technol. 2016, 7, 1–28. [Google Scholar] [CrossRef]
- Bai, Z.; Caspari, T.; Gonzalez, M.R.; Batjes, N.H.; Mäder, P.; Bünemann, E.K.; de Goede, R.; Brussaard, L.; Xu, M.; Ferreira, C.S.S.; et al. Effects of agricultural management practices on soil quality: A review of long-term experiments for Europe and China. Agric. Ecosyst. Environ. 2018, 265, 1–7. [Google Scholar] [CrossRef]
- Elbarbary, A.M.; El-Rehim, H.A.A.; El-Sawy, N.M.; Hegazy, E.S.A.; Soliman, E.S.A. Radiation induced crosslinking of polyacrylamide incorporated low molecular weights natural polymers for possible use in the agricultural applications. Carbohydr. Polym. 2017, 176, 19–28. [Google Scholar] [CrossRef] [PubMed]
- Jahan, M.; Mahallati, M.N. Can Superabsorbent Polymers Improve Plants Production in Arid Regions? Adv. Polym. Technol. 2020, 2020, 1–8. [Google Scholar] [CrossRef]
- Karami, S.; Hadi, H.; Tajbaksh, M.; Modarres-Sanavy, S.A.M. Effect of Zeolite on Nitrogen Use Efficiency and Physiological and Biomass Traits of Amaranth (Amaranthus hypochondriacus) Under Water-Deficit Stress Conditions. J. Soil Sci. Plant Nutr. 2020, 20, 1427–1441. [Google Scholar] [CrossRef]
- Nakhli, S.A.A.; Delkash, M.; Bakhshayesh, B.E.; Kazemian, H. Application of Zeolites for Sustainable Agriculture: A Review on Water and Nutrient Retention. Water. Air. Soil Pollut. 2017, 228, 1–34. [Google Scholar] [CrossRef]
- Śpitalniak, M.; Lejcuś, K.; Dąbrowska, J.; Garlikowski, D.; Bogacz, A. The Influence of a Water Absorbing Geocomposite on Soil Water Retention and Soil Matric Potential. Water 2019, 11, 1731. [Google Scholar] [CrossRef]
- Zhang, J.; Liu, R.; Li, A.; Wang, A. Preparation, swelling behaviors and application of polyacrylamide/attapulgite superabsorbent composites. Polym. Adv. Technol. 2006, 17, 12–19. [Google Scholar] [CrossRef]
- Berg, G. Plant-microbe interactions promoting plant growth and health: Perspectives for controlled use of microorganisms in agriculture. Appl. Microbiol. Biotechnol. 2009, 84, 11–18. [Google Scholar] [CrossRef] [PubMed]
- Vasseur-Coronado, M.; du Boulois, H.D.; Pertot, I.; Puopolo, G. Selection of plant growth promoting rhizobacteria sharing suitable features to be commercially developed as biostimulant products. Microbiol. Res. 2021, 245, 126672. [Google Scholar] [CrossRef] [PubMed]
- Cui, X.; Guo, L.; Li, C.; Liu, M.; Wu, G.; Jiang, G. The total biomass nitrogen reservoir and its potential of replacing chemical fertilizers in China. Renew. Sustain. Energy Rev. 2021, 135, 110215. [Google Scholar] [CrossRef]
- Liang, J.P.; Xue, Z.Q.; Yang, Z.Y.; Chai, Z.; Niu, J.P.; Shi, Z.Y. Effects of microbial organic fertilizers on Astragalus membranaceus growth and rhizosphere microbial community. Ann. Microbiol. 2021, 71, 1–15. [Google Scholar] [CrossRef]
- Zhang, C.; Lin, Z.; Que, Y.; Fallah, N.; Tayyab, M.; Li, S.; Luo, J.; Zhang, Z.; Abubakar, A.Y.; Zhang, H. Straw retention efficiently improves fungal communities and functions in the fallow ecosystem. BMC Microbiol. 2021, 21, 52. [Google Scholar] [CrossRef] [PubMed]
- Zhou, W.; Ma, Q.; Wu, L.; Hu, R.; Jones, D.L.; Chadwick, D.R.; Jiang, Y.; Wu, Y.; Xia, X.; Yang, L.; et al. The effect of organic manure or green manure incorporation with reductions in chemical fertilizer on yield-scaled N2O emissions in a citrus orchard. Agric. Ecosyst. Environ. 2022, 326, 107806. [Google Scholar] [CrossRef]
- Thangarajan, R.; Bolan, N.S.; Tian, G.; Naidu, R.; Kunhikrishnan, A. Role of organic amendment application on greenhouse gas emission from soil. Sci. Total Environ. 2013, 465, 72–96. [Google Scholar] [CrossRef]
- Bahrulolum, H.; Nooraei, S.; Javanshir, N.; Tarrahimofrad, H.; Mirbagheri, V.S.; Easton, A.J.; Ahmadian, G. Green synthesis of metal nanoparticles using microorganisms and their application in the agrifood sector. J. Nanobiotechnology 2021, 19, 86. [Google Scholar] [CrossRef] [PubMed]
- Liu, Y.; Tang, H.; Smith, P.; Zhong, C.; Huang, G. Comparison of carbon footprint and net ecosystem carbon budget under organic material retention combined with reduced mineral fertilizer. Carbon Balance Manag. 2021, 16, 7. [Google Scholar] [CrossRef]
- Dimkpa, C.O.; Fugice, J.; Singh, U.; Lewis, T.D. Development of fertilizers for enhanced nitrogen use efficiency—Trends and perspectives. Sci. Total Environ. 2020, 731, 139113. [Google Scholar] [CrossRef] [PubMed]
- Dang, P.; Li, C.; Lu, C.; Zhang, M.; Huang, T.; Wan, C.; Wang, H.; Chen, Y.; Qin, X.; Liao, Y.; et al. Effect of fertilizer management on the soil bacterial community in agroecosystems across the globe. Agric. Ecosyst. Environ. 2022, 326, 107795. [Google Scholar] [CrossRef]
- Onuaguluchi, O.; Banthia, N. Plant-based natural fibre reinforced cement composites: A review. Cem. Concr. Compos. 2016, 68, 96–108. [Google Scholar] [CrossRef]
- Methacanon, P.; Weerawatsophon, U.; Sumransin, N.; Prahsarn, C.; Bergado, D.T. Properties and potential application of the selected natural fibers as limited life geotextiles. Carbohydr. Polym. 2010, 82, 1090–1096. [Google Scholar] [CrossRef]
- Hsieh, J.-C.; Lin, C.-W.; Lou, C.-W.; Lou, C.-W.; Hsing, W.-H.; Hsieh, C.-T.; Kuo, C.-Y.; Lin, J.-H.; Lin, J.-H.; Lin, J.-H.; et al. Geo-textiles for Side Slope Protection: Preparation and Characteristics. Fibres Text. East. Eur. 2017, 25, 102–107. [Google Scholar] [CrossRef]
- Thakur, S.R.; Naveen, B.P.; Tegar, J.P. Improvement in CBR value of soil reinforced with nonwoven geotextile sheets. Int. J. Geo-Eng. 2021, 12, 1–10. [Google Scholar]
- Broda, J. Biodegradation of sheep wool geotextiles designed for erosion control. In Environmental Chemistry and Recent Pollution Control Approaches; IntechOpen: London, UK, 2019; p. 103. [Google Scholar]
- Marczak, D.; Lejcuś, K.; Grzybowska-Pietras, J.; Biniaś, W.; Lejcuś, I.; Misiewicz, J. Biodegradation of sustainable nonwovens used in water absorbing geocomposites supporting plants vegetation. Sustain. Mater. Technol. 2020, 26, e00235. [Google Scholar] [CrossRef]
- Sait, S.T.L.; Sørensen, L.; Kubowicz, S.; Vike-Jonas, K.; Gonzalez, S.V.; Asimakopoulos, A.G.; Booth, A.M. Microplastic fibres from synthetic textiles: Environmental degradation and additive chemical content. Environ. Pollut. 2021, 268, 115745. [Google Scholar] [CrossRef] [PubMed]
- Barrows, A.P.W.; Cathey, S.E.; Petersen, C.W. Marine environment microfiber contamination: Global patterns and the diversity of microparticle origins. Environ. Pollut. 2018, 237, 275–284. [Google Scholar] [CrossRef]
- Navone, L.; Moffitt, K.; Hansen, K.A.; Blinco, J.; Payne, A.; Speight, R. Closing the textile loop: Enzymatic fibre separation and recycling of wool/polyester fabric blends. Waste Manag. 2020, 102, 149–160. [Google Scholar] [CrossRef] [PubMed]
- Palacios-Mateo, C.; van der Meer, Y.; Seide, G. Analysis of the polyester clothing value chain to identify key intervention points for sustainability. Environ. Sci. Eur. 2021, 33, 1–25. [Google Scholar] [CrossRef] [PubMed]
- Stone, C.; Windsor, F.M.; Munday, M.; Durance, I. Natural or synthetic—How global trends in textile usage threaten freshwater environments. Sci. Total Environ. 2020, 718, 134689. [Google Scholar] [CrossRef] [PubMed]
- Sandin, G.; Peters, G.M. Environmental impact of textile reuse and recycling—A review. J. Clean. Prod. 2018, 184, 353–365. [Google Scholar] [CrossRef]
- Silva, G.; Kim, S.; Aguilar, R.; Nakamatsu, J. Natural fibers as reinforcement additives for geopolymers—A review of potential eco-friendly applications to the construction industry. Sustain. Mater. Technol. 2020, 23, e00132. [Google Scholar] [CrossRef]
- Street, M.E.; Bernasconi, S. Microplastics, environment and child health. Ital. J. Pediatr. 2021, 47, 75. [Google Scholar]
- Zhu, X.; Wang, C.; Duan, X.; Liang, B.; Xu, E.G.; Huang, Z. Micro- and nanoplastics: A new cardiovascular risk factor? Environ. Int. 2023, 171, 107662. [Google Scholar] [CrossRef] [PubMed]
- Matthews, S.; Mai, L.; Jeong, C.B.; Lee, J.S.; Zeng, E.Y.; Xu, E.G. Key mechanisms of micro- and nanoplastic (MNP) toxicity across taxonomic groups. Comp. Biochem. Physiol. Part C Toxicol. Pharmacol. 2021, 247, 109056. [Google Scholar] [CrossRef]
- Guo, J.J.; Huang, X.P.; Xiang, L.; Wang, Y.Z.; Li, Y.W.; Li, H.; Cai, Q.Y.; Mo, C.H.; Wong, M.H. Source, migration and toxicology of microplastics in soil. Environ. Int. 2020, 137, 105263. [Google Scholar] [CrossRef]
- Chidambarampadmavathy, K.; Karthikeyan, O.P.; Heimann, K. Sustainable bio-plastic production through landfill methane recycling. Renew. Sustain. Energy Rev. 2017, 71, 555–562. [Google Scholar] [CrossRef]
- Hahladakis, J.N.; Velis, C.A.; Weber, R.; Iacovidou, E.; Purnell, P. An overview of chemical additives present in plastics: Migration, release, fate and environmental impact during their use, disposal and recycling. J. Hazard. Mater. 2018, 344, 179–199. [Google Scholar] [CrossRef]
- Zumstein, M.T.; Schintlmeister, A.; Nelson, T.F.; Baumgartner, R.; Woebken, D.; Wagner, M.; Kohler, H.P.E.; McNeill, K.; Sander, M. Biodegradation of synthetic polymers in soils: Tracking carbon into CO2 and microbial biomass. Sci. Adv. 2018, 4, eaas9024. [Google Scholar] [CrossRef] [PubMed]
- Hejazi, S.M.; Sheikhzadeh, M.; Abtahi, S.M.; Zadhoush, A. A simple review of soil reinforcement by using natural and synthetic fibers. Constr. Build. Mater. 2012, 30, 100–116. [Google Scholar] [CrossRef]
- Kumar, N.; Das, D. Nonwoven geotextiles from nettle and poly(lactic acid) fibers for slope stabilization using bioengineering approach. Geotext. Geomembr. 2018, 46, 206–213. [Google Scholar] [CrossRef]
- Chojnacka, K.; Gorazda, K.; Witek-Krowiak, A.; Moustakas, K. Recovery of fertilizer nutrients from materials—Contradictions, mistakes and future trends. Renew. Sustain. Energy Rev. 2019, 110, 485–498. [Google Scholar] [CrossRef]
- Ramamoorthy, S.K.; Skrifvars, M.; Persson, A. A review of natural fibers used in biocomposites: Plant, animal and regenerated cellulose fibers. Polym. Rev. 2015, 55, 107–162. [Google Scholar] [CrossRef]
- Saha, P.; Roy, D.; Manna, S.; Adhikari, B.; Sen, R.; Roy, S. Durability of transesterified jute geotextiles. Geotext. Geomembranes 2012, 35, 69–75. [Google Scholar] [CrossRef]
- Shanks, R.A.; Hodzic, A.; Ridderhof, D. Composites of poly(lactic acid) with flax fibers modified by interstitial polymerization. J. Appl. Polym. Sci. 2006, 101, 3620–3629. [Google Scholar] [CrossRef]
- Shavandi, A.; Ali, M.A. Keratin based thermoplastic biocomposites: A review. Rev. Environ. Sci. Bio. Technol. 2019, 18, 299–316. [Google Scholar] [CrossRef]
- Broda, J.; Przybyło, S.; Kobiela-Mendrek, K.; Biniaś, D.; Rom, M.; Grzybowska-Pietras, J.; Laszczak, R. Biodegradation of sheep wool geotextiles. Int. Biodeterior. Biodegrad. 2016, 115, 31–38. [Google Scholar] [CrossRef]
- Marques, A.R.; Patrício, P.S.d.O.; Santos, F.S.D.; Monteiro, M.L.; de Carvalho, U.D.; de Souza, R.C. Effects of the climatic conditions of the southeastern Brazil on degradation the fibers of coir-geotextile: Evaluation of mechanical and structural properties. Geotext. Geomembr. 2014, 42, 76–82. [Google Scholar] [CrossRef]
- Zheljazkov, V.D.; Stratton, G.W.; Pincock, J.; Butler, S.; Jeliazkova, E.A.; Nedkov, N.K.; Gerard, P.D. Wool-waste as organic nutrient source for container-grown plants. Waste Manag. 2009, 29, 2160–2164. [Google Scholar] [CrossRef] [PubMed]
- Marczak, D.; Lejcuś, K.; Misiewicz, J. Characteristics of biodegradable textiles used in environmental engineering: A comprehensive review. J. Clean. Prod. 2020, 268, 122129. [Google Scholar]
- De Queiroz, H.F.M.; Banea, M.D.; Cavalcanti, D.K.K. Adhesively bonded joints of jute, glass and hybrid jute/glass fibre-reinforced polymer composites for automotive industry. Appl. Adhes. Sci. 2021, 9, 2. [Google Scholar] [CrossRef]
- Prambauer, M.; Wendeler, C.; Weitzenböck, J.; Burgstaller, C. Biodegradable geotextiles—An overview of existing and potential materials. Geotext. Geomembr. 2019, 47, 48–59. [Google Scholar] [CrossRef]
- Sun, X.; Zhu, Z.; Zaman, F.; Huang, Y.; Guan, Y. Detection and kinetic simulation of animal hair/wool wastes pyrolysis toward high-efficiency and sustainable management. Waste Manag. 2021, 131, 305–312. [Google Scholar] [CrossRef]
- Zhao, X.; Copenhaver, K.; Wang, L.; Korey, M.; Gardner, D.J.; Li, K.; Lamm, M.E.; Kishore, V.; Bhagia, S.; Tajvidi, M.; et al. Recycling of natural fiber composites: Challenges and opportunities. Resour. Conserv. Recycl. 2022, 177, 105962. [Google Scholar] [CrossRef]
- McNeil, S.J.; Sunderland, M.R.; Zaitseva, L.I. Closed-loop wool carpet recycling. Resour. Conserv. Recycl. 2007, 51, 220–224. [Google Scholar] [CrossRef]
- Lejcuś, K.; Dąbrowska, J.; Garlikowski, D.; Śpitalniak, M. The application of water-absorbing geocomposites to support plant growth on slopes. Geosynth. Int. 2015, 22, 452–456. [Google Scholar] [CrossRef]
- Marczak, D.; Lejcuś, K.; Kulczycki, G.; Misiewicz, J. Towards circular economy: Sustainable soil additives from natural waste fibres to improve water retention and soil fertility. Sci. Total Environ. 2022, 844, 157169. [Google Scholar] [CrossRef]
- Oksińska, M.P.; Magnucka, E.G.; Lejcuś, K.; Pietr, S.J. Biodegradation of the cross-linked copolymer of acrylamide and potassium acrylate by soil bacteria. Environ. Sci. Pollut. Res. 2016, 23, 5969–5977. [Google Scholar] [CrossRef] [PubMed]
- Bąbelewski, P.; Pancerz, M.; Dębicz, R. The influence of geocomposites on the biomass production, the nutritional status of plants and the substrate characteristics in the container nursery production of rosa cv. white meidiland and Berberis thunbergii cv. green carpet. J. Elem. 2017, 22, 1095–1106. [Google Scholar]
- Cabała, A.; Wróblewska, K.B.; Chohura, P.; Dębicz, R. Effect of fertilization through geocomposite on nutritional status of Hosta “halcyon” plants grown in containers. Acta Sci. Pol. Hortorum Cultus 2016, 15, 83–93. [Google Scholar]
- Pancerz, M.; Bąbelewski, P.; Dębicz, R. Geocomposite use in container nursery production of selected ornamental shrubs. Acta Hortic. 2018, 1191, 161–166. [Google Scholar] [CrossRef]
- Wróblewska, K.; Chohura, P.; Dębicz, R.; Lejcuś, K.; Dąbrowska, J. Water absorbing geocomposite: A novel method improving water and fertilizer efficiency in Brunnera macrophylla cultivation. Part I. Plant growth. Acta Sci. Pol. Hortorum Cultus 2018, 17, 49–56. [Google Scholar] [CrossRef]
- Biniak-Pieróg, M.; Chalfen, M.; Zyromski, A.; Doroszewski, A.; Jóźwicki, T. The soil moisture during dry spells model and its verification. Resources 2020, 9, 85. [Google Scholar] [CrossRef]
- Żyromski, A.; Szulczewski, W.; Biniak-Pieróg, M.; Jakubowski, W. The estimation of basket willow (Salix viminalis) yield—New approach. Part I: Background and statistical description. Renew. Sustain. Energy Rev. 2016, 65, 1118–1126. [Google Scholar] [CrossRef]
- Guezennec, A.G.; Michel, C.; Bru, K.; Touze, S.; Desroche, N.; Mnif, I.; Motelica-Heino, M. Transfer and degradation of polyacrylamide-based flocculants in hydrosystems: A review. Environ. Sci. Pollut. Res. 2014, 22, 6390–6406. [Google Scholar] [CrossRef] [PubMed]
- Matsuoka, H.; Ishimura, F.; Takeda, T.; Hikuma, M. Isolation of polyacrylamide-degrading microorganisms from soil. Biotechnol. Bioprocess Eng. 2002, 7, 327–330. [Google Scholar] [CrossRef]
- Misiewicz, J.; Lejcuś, K.; Dąbrowska, J.; Marczak, D. The Characteristics of Absorbency Under Load (AUL) for Superabsorbent and Soil Mixtures. Sci. Rep. 2019, 9, 18098. [Google Scholar] [CrossRef]
- Shrestha, S.; Baral, B.; Dhital, N.B.; Yang, H.H. Assessing air pollution tolerance of plant species in vegetation traffic barriers in Kathmandu Valley, Nepal. Sustain. Environ. Res. 2021, 31, 1–9. [Google Scholar] [CrossRef]
- Zhang, T.; Yu, L.X.; Zheng, P.; Li, Y.; Rivera, M.; Main, D.; Greene, S.L. Identification of Loci Associated with Drought Resistance Traits in Heterozygous Autotetraploid Alfalfa (Medicago sativa L.) Using Genome-Wide Association Studies with Genotyping by Sequencing. PLoS ONE 2015, 10, e0138931. [Google Scholar] [CrossRef]
- Perkons, U.; Kautz, T.; Uteau, D.; Peth, S.; Geier, V.; Thomas, K.; Holz, K.L.; Athmann, M.; Pude, R.; Köpke, U. Root-length densities of various annual crops following crops with contrasting root systems. Soil Tillage Res. 2014, 137, 50–57. [Google Scholar] [CrossRef]
- Singh, M.; Singh, S.; Deb, S.; Ritchie, G. Root distribution, soil water depletion, and water productivity of sweet corn under deficit irrigation and biochar application. Agric. Water Manag. 2023, 279, 108192. [Google Scholar] [CrossRef]
- Razman, N.A.; Ismail, W.Z.W.; Razak, M.H.A.; Ismail, I.; Jamaludin, J. Design and analysis of water quality monitoring and filtration system for different types of water in Malaysia. Int. J. Environ. Sci. Technol. 2022, 20, 3789–3800. [Google Scholar] [CrossRef] [PubMed]
- Hasan, M.J.; Kulsum, M.U.; Sarker, U.; Matin, M.Q.I.; Shahin, N.H.; Kabir, M.S.; Ercisli, S.; Marc, R.A. Assessment of GGE, AMMI, Regression, and Its Deviation Model to Identify Stable Rice Hybrids in Bangladesh. Plants 2022, 11, 2336. [Google Scholar] [CrossRef] [PubMed]
- Fariaszewska, A.; Aper, J.; Van Huylenbroeck, J.; De Swaef, T.; Baert, J.P. Physiological and Biochemical Responses of Forage Grass Varieties to Mild Drought Stress Under Field Conditions. Int. J. Plant Prod. 2020, 14, 335–353. [Google Scholar] [CrossRef]
- Staniak, M.; Kocoń, A. Forage grasses under drought stress in conditions of Poland. Acta Physiol. Plant. 2015, 37, 1–10. [Google Scholar] [CrossRef]
- Staniak, M. The impact of drought stress on the yields and food value of selected forage grasses. Acta Agrobot. 2016, 69, 1–12. [Google Scholar] [CrossRef]
- Zhong, K.; Zheng, X.L.; Mao, X.Y.; Lin, Z.T.; Jiang, G.B. Sugarcane bagasse derivative-based superabsorbent containing phosphate rock with water-fertilizer integration. Carbohydr. Polym. 2012, 90, 820–826. [Google Scholar] [CrossRef]
- Jayakumar, A.; Jose, V.K.; Lee, J. Hydrogels for Medical and Environmental Applications. Small Methods 2020, 4, 1900735. [Google Scholar] [CrossRef]
- Duan, J.; Wu, Y.; Zhou, Y.; Ren, X.; Shao, Y.; Feng, W.; Zhu, Y.; He, L.; Guo, T. Approach to Higher Wheat Yield in the Huang-Huai Plain: Improving Post-anthesis Productivity to Increase Harvest Index. Front. Plant Sci. 2018, 9, 1457. [Google Scholar] [CrossRef] [PubMed]
- Sapkota, T.B.; Jat, M.L.; Rana, D.S.; Khatri-Chhetri, A.; Jat, H.S.; Bijarniya, D.; Sutaliya, J.M.; Kumar, M.; Singh, L.K.; Jat, R.K.; et al. Crop nutrient management using Nutrient Expert improves yield, increases farmers’ income and reduces greenhouse gas emissions. Sci. Rep. 2021, 11, 1–11. [Google Scholar] [CrossRef]
- Al-Bataina, B.B.; Young, T.M.; Ranieri, E. Effects of compost age on the release of nutrients. Int. Soil Water Conserv. Res. 2016, 4, 230–236. [Google Scholar] [CrossRef]
- Zoccola, M.; Aluigi, A.; Tonin, C. Characterisation of keratin biomass from butchery and wool industry wastes. J. Mol. Struct. 2009, 938, 35–40. [Google Scholar] [CrossRef]
- Lal, B.; Sharma, S.C.; Meena, R.L.; Sarkar, S.; Sahoo, A.; Balai, R.C.; Gautam, P.; Meena, B.P. Utilization of byproducts of sheep farming as organic fertilizer for improving soil health and productivity of barley forage. J. Environ. Manag. 2020, 269, 110765. [Google Scholar] [CrossRef]
- Broda, J.; Gawlowski, A.; Laszczak, R.; Mitka, A.; Przybylo, S.; Grzybowska-Pietras, J.; Rom, M. Application of innovative meandrically arranged geotextiles for the protection of drainage ditches in the clay ground. Geotext. Geomembranes 2017, 45, 45–53. [Google Scholar] [CrossRef]
- Broda, J.; Gawłowski, A.; Przybyło, S.; Biniaś, D.; Rom, M.; Grzybowska-Pietras, J.; Laszczak, R. Innovative wool geotextiles designed for erosion protection. J. Ind. Text. 2018, 48, 599–611. [Google Scholar] [CrossRef]
- Broda, J.; Mitka, A.; Gawłowski, A. Greening of road slope reinforced with wool fibres. Mater. Today Proc. 2020, 31, S280–S285. [Google Scholar] [CrossRef]
- Zheljazkov, V.D.; Stratton, G.W.; Sturz, T. Uncomposted wool and hair-wastes as soil amendments for high-value crops. Agron. J. 2008, 100, 1605–1614. [Google Scholar] [CrossRef]
- Agaba, H.; Orikiriza, L.J.B.; Obua, J.; Kabasa, J.D.; Worbes, M.; Hüttermann, A. Hydrogel amendment to sandy soil reduces irrigation frequency and improves the biomass of Agrostis stolonifera. Agric. Sci. 2011, 2, 544–550. [Google Scholar] [CrossRef]
- Rodionov, A.; Nii-Annang, S.; Bens, O.; Trimborn, M.; Schillem, S.; Schneider, B.U.; Raab, T.; Hüttl, R.F. Impacts of Soil Additives on Crop Yield and C-Sequestration in Post Mine Substrates of Lusatia, Germany. Pedosphere 2012, 22, 343–350. [Google Scholar] [CrossRef]
- Kopecký, M.; Mráz, P.; Kolář, L.; Váchalová, R.; Bernas, J.; Konvalina, P.; Perná, K.; Murindangabo, Y.; Menšík, L. Effect of Fertilization on the Energy Profit of Tall Wheatgrass and Reed Canary Grass. Agronomy 2021, 11, 445. [Google Scholar] [CrossRef]
- Liu, Y.; Yang, M.; Yao, C.; Zhou, X.; Li, W.; Zhang, Z.; Gao, Y.; Sun, Z.; Wang, Z.; Zhang, Y. Optimum Water and Nitrogen Management Increases Grain Yield and Resource Use Efficiency by Optimizing Canopy Structure in Wheat. Agronomy 2021, 11, 441. [Google Scholar] [CrossRef]
- Rahimi, E.; Nazari, F.; Javadi, T.; Samadi, S.; Teixeira da Silva, J.A. Potassium-enriched clinoptilolite zeolite mitigates the adverse impacts of salinity stress in perennial ryegrass (Lolium perenne L.) by increasing silicon absorption and improving the K/Na ratio. J. Environ. Manag. 2021, 285, 112142. [Google Scholar] [CrossRef] [PubMed]






| Sample Name | Composition of Raw Materials and Manufacturing Technology | Sample Photo |
|---|---|---|
| BA | 99.4% washed wool and 0.6% synthetic seams; seamed textile | ![]() |
| BB | 100% washed wool; needle-punched nonwoven | ![]() |
| BC | 90% washed wools and 10% jute; needle-punched nonwoven | ![]() |
| BD | 90% washed wool and 10% jute; seamed textile | ![]() |
| BE | 50% washed wool and 50% linen; needle-punched nonwoven | ![]() |
| Soil Additive | Plant | Brief Characteristics | Influence on Vegetation | References |
|---|---|---|---|---|
| Agrostis stolonifera grass |
|
| [100] |
| Cat grass (Dactylis glomerata L.) |
|
| [101] |
| Barley |
|
| [95] |
| Tall wheatgrass (Elymus elongatus subsp. ponticus) and reed canary grass (Phalaris arundinacea L.) |
|
| [102] |
| Winter wheat |
|
| [103] |
| Perennial ryegrass (Lolium perenne L.) |
|
| [104] |
Disclaimer/Publisher’s Note: The statements, opinions and data contained in all publications are solely those of the individual author(s) and contributor(s) and not of MDPI and/or the editor(s). MDPI and/or the editor(s) disclaim responsibility for any injury to people or property resulting from any ideas, methods, instructions or products referred to in the content. |
© 2023 by the authors. Licensee MDPI, Basel, Switzerland. This article is an open access article distributed under the terms and conditions of the Creative Commons Attribution (CC BY) license (https://creativecommons.org/licenses/by/4.0/).
Share and Cite
Marczak, D.; Lejcuś, K.; Lejcuś, I.; Misiewicz, J. Sustainable Innovation: Turning Waste into Soil Additives. Materials 2023, 16, 2900. https://doi.org/10.3390/ma16072900
Marczak D, Lejcuś K, Lejcuś I, Misiewicz J. Sustainable Innovation: Turning Waste into Soil Additives. Materials. 2023; 16(7):2900. https://doi.org/10.3390/ma16072900
Chicago/Turabian StyleMarczak, Daria, Krzysztof Lejcuś, Iwona Lejcuś, and Jakub Misiewicz. 2023. "Sustainable Innovation: Turning Waste into Soil Additives" Materials 16, no. 7: 2900. https://doi.org/10.3390/ma16072900
APA StyleMarczak, D., Lejcuś, K., Lejcuś, I., & Misiewicz, J. (2023). Sustainable Innovation: Turning Waste into Soil Additives. Materials, 16(7), 2900. https://doi.org/10.3390/ma16072900






