Superplastic Behavior and Microstructural Features of the VT6 Titanium Alloy with an Ultrafine-Grained Structure during Upsetting
Abstract
:1. Introduction
2. Materials and Methods
3. Results
3.1. Mechanical Behavior during Upset
3.2. Evolution of the Microstructure during Upset
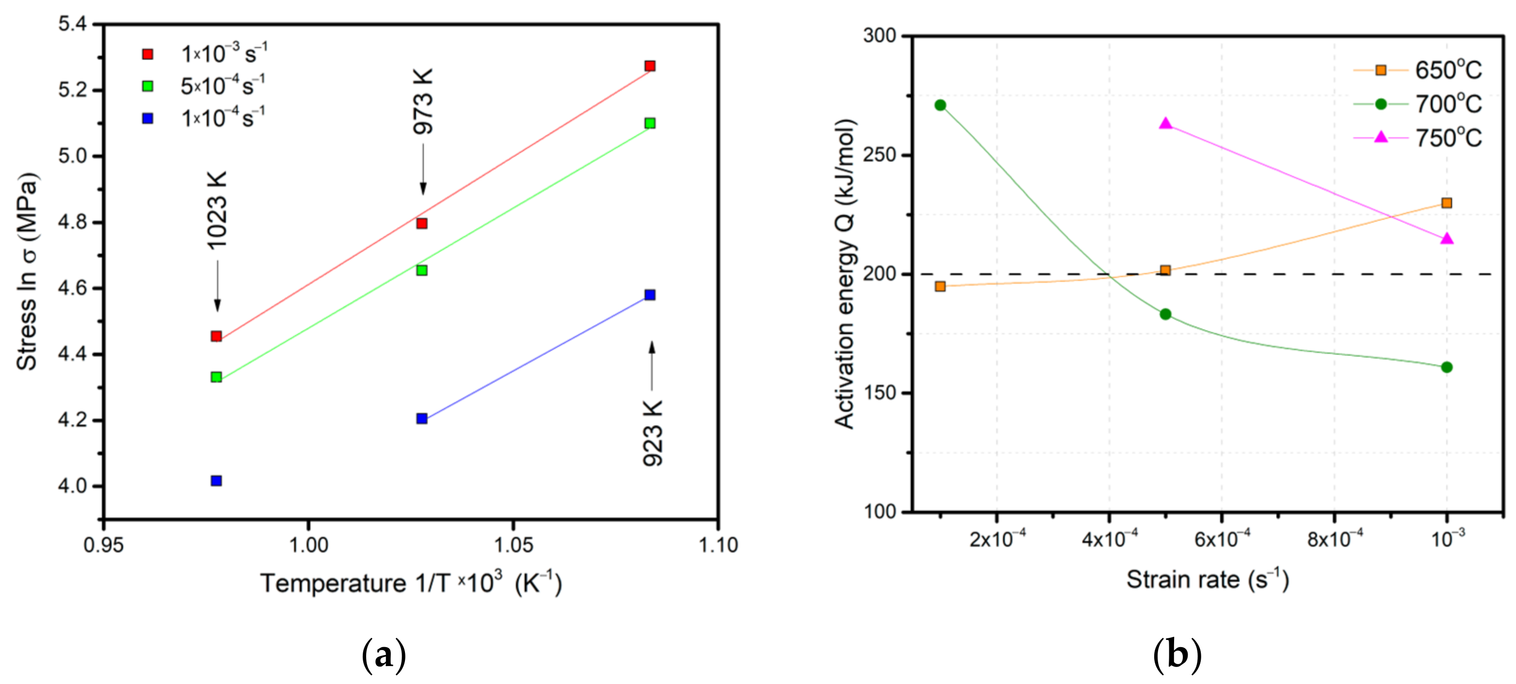
4. Discussion
5. Conclusions
- During the upset of the UFG VT6 alloy the temperature and strain-rate ranges of the superplasticity effect were found. At relatively low temperatures of T = 650 °C the UFG VT6 alloy exhibits superplastic behavior only at low strain rates of 1 × 10−4 s−1–5 × 10−4 s−1. An increase in the deformation temperature to 700 °C leads to the occurrence of superplasticity in a strain-rate range of 5 × 10−4 s−1–1 × 10−3 s−1. Deformation at T = 750 °C was to a greater extent controlled by the processes of dynamic recovery and continuous dynamic recrystallization.
- As a result of the upset of the UFG alloy, the formation of the α2 phase in the form of plates was revealed. The temperature conditions for the formation of the α2-phase plates indicate that it is a diffusion-dependent process. Microstructural studies, mechanical test results and analysis of the coefficient m indicate that the α2-phase plates may act as an obstacle for dislocation motion and thereby ensure the alloy’s strengthening.
- Calculation of apparent activation energy and analysis of the strain-rate sensitivity coefficient show that a range of 160–200 kJ/mol is characteristic of the superplastic behavior of the UFG VT6 alloy. An increase in the value of apparent activation energy above 200 kJ/mol was accompanied by a decrease in the coefficient m < 0.3 and indicated a change in the mechanism from GBS to bulk diffusion.
Author Contributions
Funding
Data Availability Statement
Conflicts of Interest
References
- Leyens, C.; Peters, M. Titanium and Titanium Alloys. Fundamentals and Applications; WILEY-VCH Verlag GmbH & Co. KGaA: Weinheim, Germany, 2003; p. 513. [Google Scholar]
- Kashapov, O.S.; Novak, A.V.; Nochovnaya, N.A.; Pavlova, T.V. State, problems and prospects of heat-resistant titanium alloys for GTE parts. Proc. VIAM 2013, 3, 1–12. Available online: http://viam-works.ru/en/articles?year=2013&num=3 (accessed on 20 December 2022). (In Russian).
- Veiga, C.; Davim, J.P.; Loureiro, A.J.R. Properties and applications of titanium alloys: A brief review. Rev. Adv. Mater. Sci. 2012, 32, 133–148. [Google Scholar]
- Pavlova, T.V.; Kashapov, O.S.; Nochovnaya, N.A. Titanium alloys for gas turbine engines. All Mater. Encycl. Ref. Book 2012, 5, 1–15. Available online: https://viam.ru/sites/default/files/scipub/2011/2011-205852.pdf (accessed on 20 December 2022). (In Russian).
- Valiev, R. Nanostructuring of Metals by Severe Plastic Deformation for Advanced Properties. Nat. Mater. 2004, 3, 511–516. [Google Scholar] [CrossRef] [PubMed]
- Meyers, M.A.; Mishra, A.; Benson, D.J. Mechanical Properties of Nanocrystalline Materials. Prog. Mater. Sci. 2006, 51, 427–556. [Google Scholar] [CrossRef]
- Edalati, K.; Bachmaier, A.; Beloshenko, V.A.; Beygelzimer, Y.; Blank, V.D.; Botta, W.J.; Bryła, K.; Čížek, J.; Divinski, S.; Enikeev, N.A.; et al. Nanomaterials by Severe Plastic Deformation: Review of Historical Developments and Recent Advances. Mater. Res. Lett. 2022, 10, 163–256. [Google Scholar] [CrossRef]
- Semenova, I.P.; Polyakov, A.V.; Pesin, M.V.; Stotskiy, A.G.; Modina, Y.M.; Valiev, R.Z.; Langdon, T.G. Strength and Fatigue Life at 625 K of the Ultrafine-Grained Ti-6Al-4V Alloy Produced by Equal-Channel Angular Pressing. Metals 2022, 12, 1345. [Google Scholar] [CrossRef]
- Polyakov, A.V.; Semenova, I.P.; Huang, Y.; Valiev, R.Z.; Langdon, T.G. Fatigue Life and Failure Characteristics of an Ultrafine-Grained Ti-6Al-4V Alloy Processed by ECAP and Extrusion: Fatigue Life and Failure of an Ultrafine-Grained Ti-6Al-4V Alloy. Adv. Eng. Mater. 2014, 16, 1038–1043. [Google Scholar] [CrossRef]
- Zherebtsov, S.V.; Kostjuchenko, S.; Kudryavtsev, E.A.; Malysheva, S.; Murzinova, M.A.; Salishchev, G.A. Mechanical Properties of Ultrafine Grained Two-Phase Titanium Alloy Produced by “Abc” Deformation. Mater. Sci. Forum 2012, 706–709, 1859–1863. [Google Scholar] [CrossRef]
- Ermachenko, A.G.; Lutfullin, R.Y.; Mulyukov, R.R. Advanced Technologies of Processing Titanium Alloys and Their Applications in Industry. Rev. Adv. Mater. Sci. 2011, 29, 68–82. [Google Scholar]
- Moiseyev, V.N. Titanium Alloys in Russia: Russian Aircraft and Aerospace Applications; CRC Press: Boca Raton, FL, USA, 2005; p. 216. [Google Scholar]
- Illarionov, A.G.; Popov, A.A. Technological and Operational Properties of Titanium Alloys; Publishing House Ural: Yekaterinburg, Russia, 2014; p. 137. (In Russian) [Google Scholar]
- Dyakonov, G.S.; Raab, G.I.; Pesin, M.V.; Polyakov, A.V.; Semenova, I.P.; Valiev, R.Z. Superplastic-Like Behavior and Enhanced Strength of a Two-Phase Titanium Alloy with Ultrafine Grains. Adv. Eng. Mater. 2022, 24, 2101592. [Google Scholar] [CrossRef]
- Zherebtsov, S.V.; Kudryavtsev, E.A.; Salishchev, G.A.; Straumal, B.B.; Semiatin, S.L. Microstructure Evolution and Mechanical Behavior of Ultrafine Ti 6Al 4V during Low-Temperature Superplastic Deformation. Acta Mater. 2016, 121, 152–163. [Google Scholar] [CrossRef]
- Kruglov, A.; Lutfullin, R.; Mulyukov, R.; Mukhametrakhimov, M.; Rudenko, O.; Safiullin, R. Promises of Low-Temperature Superplasticity for the Enhanced Production of Hollow Titanium Components. MSF 2016, 838–839, 610–614. [Google Scholar] [CrossRef]
- Kaibyshev, O.A. Superplasticity of Alloys, Intermetallides and Ceramics; Springer: Berlin/Heidelberg, Germany, 1992. [Google Scholar] [CrossRef]
- Utyashev, F.Z.; Mukhtarov, S.K.; Nazarov, A.A.; Mulyukov, R.R. Superplastic Roll Forming of Axial Symmetric Articles from Superalloys. Adv. Mater. Res. 2011, 278, 301–305. [Google Scholar] [CrossRef]
- Semenova, I.P.; Shchitsyn, Y.D.; Trushnikov, D.N.; Gareev, A.I.; Polyakov, A.V.; Pesin, M.V. Microstructural Features and Microhardness of the Ti-6Al-4V Alloy Synthesized by Additive Plasma Wire Deposition Welding. Materials 2023, 16, 941. [Google Scholar] [CrossRef]
- Roy, S.; Suwas, S. The Influence of Temperature and Strain Rate on the Deformation Response and Microstructural Evolution during Hot Compression of a Titanium Alloy Ti–6Al–4V–0.1B. J. Alloy. Compd. 2013, 548, 110–125. [Google Scholar] [CrossRef]
- Alabort, E.; Putman, D.; Reed, R.C. Superplasticity in Ti–6Al–4V: Characterisation, Modelling and Applications. Acta Mater. 2015, 95, 428–442. [Google Scholar] [CrossRef]
- Despax, L.; Vidal, V.; Delagnes, D.; Dehmas, M.; Matsumoto, H.; Velay, V. Influence of Strain Rate and Temperature on the Deformation Mechanisms of a Fine-Grained Ti-6Al-4V Alloy. Mater. Sci. Eng. A 2020, 790, 139718. [Google Scholar] [CrossRef]
- Yang, J.; Wu, J. Grain Rotation Accommodated GBS Mechanism for the Ti-6Al-4V Alloy during Superplastic Deformation. Crystals 2021, 11, 991. [Google Scholar] [CrossRef]
- Vahidshad, Y.; Khodabakhshi, A.H. Effect of Solution Treatment and Aging Temperature on α′ and Ti3Al(α2) Phase Formation and Mechanical Properties of Water-Quenched Ti–6Al–4V. Metallogr. Microstruct. Anal. 2022, 11, 59–71. [Google Scholar] [CrossRef]
- Lee, D.-G.; Lee, S.; Lee, Y. Effect of Precipitates on Damping Capacity and Mechanical Properties of Ti–6Al–4V Alloy. Mater. Sci. Eng. A 2008, 486, 19–26. [Google Scholar] [CrossRef]
- Lunt, D.; Busolo, T.; Xu, X.; Quinta da Fonseca, J.; Preuss, M. Effect of Nanoscale α2 Precipitation on Strain Localisation in a Two-Phase Ti-Alloy. Acta Mater. 2017, 129, 72–82. [Google Scholar] [CrossRef]
- Mutombo, K.; Siyasiya, C.; Stumpf, W.E. Diffusional Transformation in Ti6Al4V Alloy during Isothermal Compression. Trans. Nonferrous Met. Soc. China 2019, 29, 2078–2089. [Google Scholar] [CrossRef]
- Popov, A.A.; Lugovaya, K.I.; Popova, E.N.; Makarov, V.V.; Zhilyakova, M.A. Features of the Two-Phase (α + α2) Structure Formation in the Ti–17 at % Al Alloy. Phys. Metals Metallogr. 2020, 121, 791–796. [Google Scholar] [CrossRef]
- Ko, Y.G.; Lee, C.S.; Shin, D.H.; Semiatin, S.L. Low-Temperature Superplasticity of Ultra-Fine-Grained Ti-6Al-4V Processed by Equal-Channel Angular Pressing. Metall. Mat. Trans. A 2006, 37, 381–391. [Google Scholar] [CrossRef]
- Motyka, M.; Sieniawski, J.; Ziaja, W.; Mroczka, M.; Bryliński, M. Dynamic Fragmentation and Spheroidization of α Phase Grains during Hot Deformation of Ti-6Al-4V Alloy: Paper Presented at the “XIII Scientific Conference on Titanium and Titanium Alloys 2017”, 24–27 September 2017, Janów Podlaski, Poland. Int. J. Mater. Res. 2018, 109, 685–693. [Google Scholar] [CrossRef]
- Xu, Y.; Yang, X.; Dong, H. Superplastic Deformation Behavior of Multi-Pass Warm Rolled Ti-6Al-4V Titanium Alloy at Low Temperature and High Strain Rate. Adv. Eng. Mater. 2018, 20, 1701181. [Google Scholar] [CrossRef]











Disclaimer/Publisher’s Note: The statements, opinions and data contained in all publications are solely those of the individual author(s) and contributor(s) and not of MDPI and/or the editor(s). MDPI and/or the editor(s) disclaim responsibility for any injury to people or property resulting from any ideas, methods, instructions or products referred to in the content. |
© 2023 by the authors. Licensee MDPI, Basel, Switzerland. This article is an open access article distributed under the terms and conditions of the Creative Commons Attribution (CC BY) license (https://creativecommons.org/licenses/by/4.0/).
Share and Cite
Dyakonov, G.S.; Stotskiy, A.G.; Modina, I.M.; Semenova, I.P. Superplastic Behavior and Microstructural Features of the VT6 Titanium Alloy with an Ultrafine-Grained Structure during Upsetting. Materials 2023, 16, 1439. https://doi.org/10.3390/ma16041439
Dyakonov GS, Stotskiy AG, Modina IM, Semenova IP. Superplastic Behavior and Microstructural Features of the VT6 Titanium Alloy with an Ultrafine-Grained Structure during Upsetting. Materials. 2023; 16(4):1439. https://doi.org/10.3390/ma16041439
Chicago/Turabian StyleDyakonov, Grigory S., Andrey G. Stotskiy, Iuliia M. Modina, and Irina P. Semenova. 2023. "Superplastic Behavior and Microstructural Features of the VT6 Titanium Alloy with an Ultrafine-Grained Structure during Upsetting" Materials 16, no. 4: 1439. https://doi.org/10.3390/ma16041439
APA StyleDyakonov, G. S., Stotskiy, A. G., Modina, I. M., & Semenova, I. P. (2023). Superplastic Behavior and Microstructural Features of the VT6 Titanium Alloy with an Ultrafine-Grained Structure during Upsetting. Materials, 16(4), 1439. https://doi.org/10.3390/ma16041439

