Investigation of the Optical Properties of Indium Tin Oxide Thin Films by Double Integration Sphere Combined with the Numerical IAD Method
Abstract
:1. Introduction
2. Materials and Methods
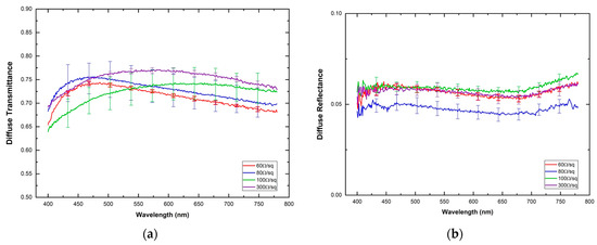
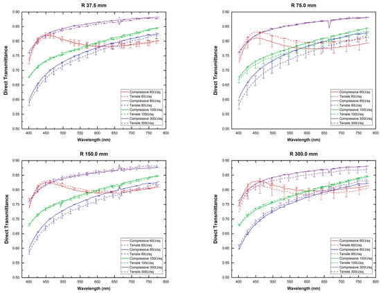
3. Results and Discussion
4. Conclusions
Supplementary Materials
Author Contributions
Funding
Institutional Review Board Statement
Informed Consent Statement
Data Availability Statement
Conflicts of Interest
References
- Mochizuki, T.; Takigami, Y.; Kondo, T.; Okuzaki, H. Fabrication of flexible transparent electrodes using PEDOT:PSS and application to resistive touch screen panels. J. Appl. Polym. Sci. 2018, 135, 45972. [Google Scholar] [CrossRef]
- Cho, S.; Kang, S.; Pandya, A.; Shanker, R.; Khan, Z.; Lee, Y.; Park, J.; Craig, S.L.; Ko, H. Large-Area Cross-Aligned Silver Nanowire Electrodes for Flexible, Transparent, and Force-Sensitive Mechanochromic Touch Screens. ACS Nano 2017, 11, 4346–4357. [Google Scholar] [CrossRef] [PubMed]
- Wu, H.; Kong, D.; Ruan, Z.; Hsu, P.C.; Wang, S.; Yu, Z.; Carney, T.J.; Hu, L.; Fan, S.; Cui, Y. A transparent electrode based on a metal nanotrough network. Nat. Nanotechnol. 2013, 8, 421–425. [Google Scholar] [CrossRef] [PubMed]
- Chen, X.; Xu, G.; Zeng, G.; Gu, H.; Chen, H.; Xu, H.; Yao, H.; Li, Y.; Hou, J.; Li, Y. Realizing ultrahigh mechanical flexibility and >15% efficiency of flexible organic solar cells via a “welding” flexible transparent electrode. Adv. Mater. 2020, 32, 1908478. [Google Scholar] [CrossRef] [PubMed]
- Jeon, I.; Yoon, J.; Ahn, N.; Atwa, M.; Delacou, C.; Anisimov, A.; Kauppinen, E.I.; Choi, M.; Maruyama, S.; Matsuo, Y. Carbon Nanotubes versus graphene as flexible transparent electrodes in inverted perovskite solar cells. J. Phys. Chem. Lett. 2017, 8, 5395–5401. [Google Scholar] [CrossRef]
- Lian, L.; Dong, D.; Feng, D.; He, G. Low roughness silver nanowire flexible transparent electrode by low temperature solution-processing for organic light emitting diodes. Org. Electron. 2017, 49, 9–18. [Google Scholar] [CrossRef]
- Leterrier, Y.; Medico, L.; Demarco, F.; Manson, J.A.E.; Betz, U.; Escola, M.F.; Olsson, M.K.; Atamny, F. Mechanical integrity of transparent conductive oxide films for flexible polymer-based displays. Thin Solid Films 2004, 460, 156–166. [Google Scholar] [CrossRef]
- Jahng, W.S.; Francis, A.H.; Moon, H.; Nanos, J.I.; Curtis, M.D. Is indium tin oxide a suitable electrode in solar cells? Photovoltaic properties of interfaces in organic p/n junction photodiodes. Appl. Phys. Lett. 2006, 88, 093504. [Google Scholar] [CrossRef]
- Gwamuri, J.; Vora, A.; Mayandi, J.; Güney, D.O.; Bergstromb, P.L.; Pearce, J.M. A new method of preparing highly conductive ultra-thin indium tin oxide for plasmonic-enhanced thin film solar photovoltaic devices. Sol. Energy Mater. Sol. Cells 2016, 149, 250–257. [Google Scholar] [CrossRef]
- Ellmer, K. Past achievements and future challenges in the development of optically transparent electrodes. Nat. Photonics 2012, 6, 809. [Google Scholar] [CrossRef]
- Dong, Q.; Hara, Y.; Vrouwenvelder, K.T.; Shin, K.T.; Compiano, J.A.; Saif, M.; Lopez, R. Superflexibility of ITO Electrodes via Submicron Patterning. ACS Appl. Mater. Interfaces 2018, 10, 10339–10346. [Google Scholar] [CrossRef]
- Rhaleb, H.E.I.; Benamar, E.; Rami, M.; Roger, J.P.; Hakam, A.; Ennaoui, A. Espectroscopic ellipsometry studies of index profile of indium tin oxide films prepared by spray pyrolysis. Appl. Surf. Sci. 2002, 201, 138–145. [Google Scholar] [CrossRef]
- Jin, Y.; Yi, Q.; Ren, Y.; Wang, X.; Ye, Z. Molecular mechanism of monodisperse colloidal tin-doped indium oxide nanocrystals by a hot-injection approach. Nanoscale Res. Lett. 2013, 8, 153. [Google Scholar] [CrossRef]
- Yong, T.K.; Tan, S.S.; Nee, C.H.; Yap, S.S.; Kee, Y.Y.; Sáfrán, G.; Horváth, Z.E.; Moscatello, J.; Yap, Y.K.; Tou, T.Y. Pulsed laser deposition of indium tin oxide nanowires in argon and helium. Mater. Lett. 2012, 66, 280–281. [Google Scholar] [CrossRef]
- Laux, S.; Kaiser, N.; Zöller, A.; Götzelmann, R.; Lauth, H.; Bernitzki, H. Room-temperature deposition of indium tin oxide thin films with plasma ion-assisted evaporation. Thin Solid Films 1998, 335, 1–5. [Google Scholar] [CrossRef]
- Kim, S.S.; Choi, S.Y.; Park, C.G.; Jin, H.W. Transparent conductive ITO thin films through the sol-gel process using metal salts. Thin Solid Films 1999, 347, 155–160. [Google Scholar] [CrossRef]
- Forman, A.J.; Chen, Z.; Chakthranont, P.; Jaramillo, T.F. High surface area transparent conducting oxide electrodes with a customizable device architecture. Chem. Mater. 2014, 26, 958–964. [Google Scholar] [CrossRef]
- Ghanem, M.G.; Badr, Y.; Hameed, T.A.; El Marssi, M.; Lahmar, A.; Wahab, H.A.; Battisha, I.K. Synthesis and characterization of undoped and Er-doped ZnO nanostructure thin films deposited by sol-gel spin coating technique. Mater. Res. Express 2019, 6, 085916. [Google Scholar] [CrossRef]
- Wen, L.; Sahu, B.B.; Han, J.G. Approach for the optimization of characteristic properties of very high conductive ITO thin films using advanced magnetron plasma process. Mater. Res. Express 2018, 6, 066415. [Google Scholar] [CrossRef]
- Khachatryan, H.; Kim, D.-J.; Kim, M.; Kim, H.-K. Roll-to-Roll fabrication of ITO thin film for flexible optoelectronics applications: The role of post-annealing. Mater. Sci. Semicond. Process. 2018, 88, 51–56. [Google Scholar] [CrossRef]
- Marikkannu, S.; Kashif, M.; Sethupathy, N.; Vidhya, V.S.; Piraman, S.; Ayeshamariam, A.; Bououdina, M.; Ahmed, N.M.; Jayachandran, M. Effect of substrate temperature on indium tin oxide (ITO) thin films deposited by jet nebulizer spray pyrolysis and solar cell application. Mater. Sci. Semicond. Process. 2014, 27, 562–568. [Google Scholar] [CrossRef]
- Kim, D.-H.; Lee, H.-K.; Na, J.-Y.; Kim, S.-K.; Yoo, Y.-Z.; Seong, T.-Y. ZnSnO/Ag/indium tin oxide multilayer films as a flexible and transparent electrode for photonic devices. Superlattice Microstruct. 2015, 83, 635–641. [Google Scholar] [CrossRef]
- Sibin, K.P.; Swain, N.; Chowdhruy, P.; Dey, A.; Sridhara, N.; Shashikaka, H.D.; Sharna, A.K.; Barshilia, H.C. Optical and electrical properties of ITO films sputtered on flexible FED substrate as passive thermal control system for space applications. Sol. Energy Mater. Sol. Cells 2016, 145, 314–322. [Google Scholar] [CrossRef]
- Guillén, C.; Herrero, J. Structure, optical and electrical properties of indium tin oxide thin films prepared by sputtering in air or nitrogen. J. Appl. Phys. 2007, 101, 073514. [Google Scholar] [CrossRef]
- Mahmoudi, T.; Wang, Y.; Hahn, Y.-B. Graphene and its derivates for solar cells application. Nano Energy 2018, 47, 51–65. [Google Scholar] [CrossRef]
- Chandrasekhar, S. Radiative Transfer; Dover: New York, NY, USA, 1960. [Google Scholar]
- Prahl, S.A.; Van Gemert, J.M.C.; Welch, A.J. Determining the optical properties of turbid media y using the adding-doubling method. Appl. Opt. 1993, 32, 559–568. [Google Scholar] [CrossRef]
- Jacques, S.L. Optical properties of biological tissues: A review. Phys. Med. Biol. 2013, 58, R37–R61. [Google Scholar] [CrossRef]
- Kubelka, P. New Contributions to the optics of intensely light-scattering materials. Part I. J. Opt. Soc. Am. 1948, 38, 448–457. [Google Scholar] [CrossRef]
- Kubelka, P. New Contributions to the optics of intensely light-scattering materials. Part II. J. Opt. Soc. Am. 1954, 44, 330–335. [Google Scholar] [CrossRef]
- Aernouts, B.; Zamora-Rojas, E.; Van Beers, R.; Watté, R.; Wang, L.; Tsuta, M.; Lammertyn, J.; Saeys, W. Supercontinuum laser based optical characterization of Intralipid phantoms in the 500–2250 nm range. Opt. Express 2013, 21, 32450–32467. [Google Scholar] [CrossRef]
- Lemaillet, P.; Bouchard, J.P.; Hwang, J.; Allen, D.W. Double-integrating-sphere system at the National Institute of Standards and Technology in support of measurement standards for the determination of optical properties of tissue-mimicking phantoms. J. Biomed. Opt. 2015, 20, 121310. [Google Scholar] [CrossRef]
- Yang, Y.; Huang, Q.; Meltz, A.W.; Ni, J.; Jin, S.; Marks, T.J.; Madsen, M.E.; Di Venere, A.; Ho, S.T. High-performance organic ligth-emitting eiodes using ITO anodes grown on plastic by room-temperature ion-assisted deposition. Adv. Mater. 2004, 16, 321–324. [Google Scholar] [CrossRef]
- Na, S.-I.; Kim, S.-S.; Jo, J.; Kim, D.-Y. Efficient and flexible ITO-free organic solar cells using highly conductive polymer anodes. Adv. Mater. 2008, 20, 4061–4067. [Google Scholar] [CrossRef]
- Ref: 639303. Available online: https://www.sigmaaldrich.com/ES/es/product/aldrich/639303 (accessed on 1 February 2023).
- ITO Coated Pet Film. Available online: http://www.crystal-material.com/Substrate-Materials/ITO-coated-PET.html (accessed on 6 February 2023).
- Ref: 639281. Available online: https://www.sigmaaldrich.com/ES/es/product/aldrich/639281 (accessed on 1 February 2023).
- Ref: 749796. Available online: https://www.sigmaaldrich.com/ES/es/product/aldrich/749796 (accessed on 1 February 2023).
- Prahl, S.A. IAD Program. Available online: https://omlc.org/software/iad/index.html (accessed on 25 November 2022).
- Refractive Index of ITO, Indium Tin Oxide, InSnO. Available online: https://www.filmetrics.com/refractive-index-database/ITO/Indium-Tin-Oxide-InSnO (accessed on 1 February 2023).
- Fernández-Oliveras, A.; Rubiño, M.; Pérez, M.M. Scattering anisotropy measurements in dental tissues and biomaterials. J. Eur. Opt. Soc.-Rapid Publ. 2012, 7, 12016. [Google Scholar] [CrossRef]
- Ionescu, A.M.; Cardona, J.C.; Garzón, I.; Oliveira, A.C.; Ghinea, R.; Alaminos, M.; Pérez, M.M. Integrating-sphere measurements for determining optical properties of tissue-engineered oral mucosa. J. Eur. Opt. Soc. 2015, 10, 15012. [Google Scholar] [CrossRef]
- Pecho, O.E.; Ghinea, R.; Ionescu, A.M.; Cardona, J.C.; Bona, A.D.; Pérez, M.M. Optical behavior of dental zirconia and dentin analyzed by Kubelka-Munk theory. Dent. Mater. 2015, 31, 60–67. [Google Scholar] [CrossRef]
- Dinga, G.; Clavero, C.; Schweigert, D.; Le, M. Thickness and microstructure effects in the optical and electrical properties of silver thin films. AIP Adv. 2015, 5, 117234. [Google Scholar] [CrossRef]
- Fernandez-Oliveras, A.; Rubiño, M.; Pérez, M.M. Scattering and absorption properties of biomaterials for dental restorative applications. J. Eur. Opt. Soc. 2013, 8, 13056. [Google Scholar] [CrossRef]
- Ghorannevis, Z.; Akbarnejad, E.; Ghoranneviss, M. Structural and morphological properties of ITO thin films grown by magnetron sputtering. J. Theor. Appl. Phys. 2015, 9, 285–290. [Google Scholar] [CrossRef]
- Stoica, F.; Teodorescu, V.S.; Blanchin, M.G.; Stoica, T.A.; Gartner, M.; Losurdo, M.; Zaharescu, M. Morphology, structure and optical properties of sol–gel ITO thin films. Mat. Sci. Eng. B 2003, 101, 222–226. [Google Scholar] [CrossRef]
- Chen, Z.; Zhuo, Y.; Tu, W.; Ma, X.; Pei, Y.; Wang, C.; Wang, G. Highly ultraviolet transparent textured indium tin oxide thin films and the application in light emitting diodes. Appl. Phys. Lett. 2017, 110, 242101. [Google Scholar] [CrossRef]






| 60 Ω/sq | 80 Ω/sq | 100 Ω/sq | 300 Ω/sq | |
|---|---|---|---|---|
| Reference | 639303 [35] | [36] | 639281 [37] | 749796 [38] |
| Thickness | 0.13 mm | 0.175 mm | 0.13 mm | 0.13 mm |
| ITO Thickness | 130 nm | 23 nm | 72 nm | 24 nm |
| Transmittance (≅550 nm) | ≥78% | ≥88% | ≥78% | ≥78% |
| 60 Ω/sq | 80 Ω/sq | 100 Ω/sq | 300 Ω/sq | |
|---|---|---|---|---|
| g | 0.985 ± 0.011 | 0.987 ± 0.016 | 0.989 ± 0.021 | 0.989 ± 0.014 |
| Compressive Strain | Tensile Strain | |||||||
|---|---|---|---|---|---|---|---|---|
| 300 mm | 150 mm | 75 mm | 37.5 mm | 300 mm | 150 mm | 75 mm | 37.5 mm | |
| 60 Ω/sq | 141 ± 9 | 137 ± 3 | 172 ± 10 | 162 ± 17 | 150 ± 5 | 153 ± 6 | 151 ± 6 | 167 ± 10 |
| 80 Ω/sq | 557 ± 1 | 645 ± 5 | 624 ± 3 | 593 ± 4 | 600 ± 3 | 653 ± 3 | 559 ± 1 | 639 ± 4 |
| 100 Ω/sq | 291 ± 10 | 299 ± 2 | 280 ± 3 | 282 ± 4 | 284 ± 4 | 265 ± 8 | 279 ± 1 | 289 ± 6 |
| 300 Ω/sq | 1080 ± 1 | 1285 ± 3 | 1165 ± 3 | 1157 ± 8 | 1095 ± 5 | 1012 ± 4 | 1411 ± 2 | 1238 ± 15 |
Disclaimer/Publisher’s Note: The statements, opinions and data contained in all publications are solely those of the individual author(s) and contributor(s) and not of MDPI and/or the editor(s). MDPI and/or the editor(s) disclaim responsibility for any injury to people or property resulting from any ideas, methods, instructions or products referred to in the content. |
© 2023 by the authors. Licensee MDPI, Basel, Switzerland. This article is an open access article distributed under the terms and conditions of the Creative Commons Attribution (CC BY) license (https://creativecommons.org/licenses/by/4.0/).
Share and Cite
Toral-Lopez, A.; Pérez, M.M.; Rodríguez-Águila, A.B.; Cardona, J.C.; Ionescu, A.M.; Godoy, A. Investigation of the Optical Properties of Indium Tin Oxide Thin Films by Double Integration Sphere Combined with the Numerical IAD Method. Materials 2023, 16, 1425. https://doi.org/10.3390/ma16041425
Toral-Lopez A, Pérez MM, Rodríguez-Águila AB, Cardona JC, Ionescu AM, Godoy A. Investigation of the Optical Properties of Indium Tin Oxide Thin Films by Double Integration Sphere Combined with the Numerical IAD Method. Materials. 2023; 16(4):1425. https://doi.org/10.3390/ma16041425
Chicago/Turabian StyleToral-Lopez, Alejandro, María M. Pérez, Ana Belen Rodríguez-Águila, Juan C. Cardona, Ana M. Ionescu, and Andres Godoy. 2023. "Investigation of the Optical Properties of Indium Tin Oxide Thin Films by Double Integration Sphere Combined with the Numerical IAD Method" Materials 16, no. 4: 1425. https://doi.org/10.3390/ma16041425
APA StyleToral-Lopez, A., Pérez, M. M., Rodríguez-Águila, A. B., Cardona, J. C., Ionescu, A. M., & Godoy, A. (2023). Investigation of the Optical Properties of Indium Tin Oxide Thin Films by Double Integration Sphere Combined with the Numerical IAD Method. Materials, 16(4), 1425. https://doi.org/10.3390/ma16041425

