Molecular Dynamics Study on Hugoniot State and Mie–Grüneisen Equation of State of 316 Stainless Steel for Hydrogen Storage Tank
Abstract
1. Introduction
2. Methodology
2.1. Hugoniot Pressure (PH) and Internal Energy (EH)
2.2. Cold Pressure (Pc) and Cold Energy (Ec)
2.3. Grüneisen Coefficient (γ)
2.4. Mie–Grüneisen Equation of State
3. Calculation Model
4. Results and Discussion
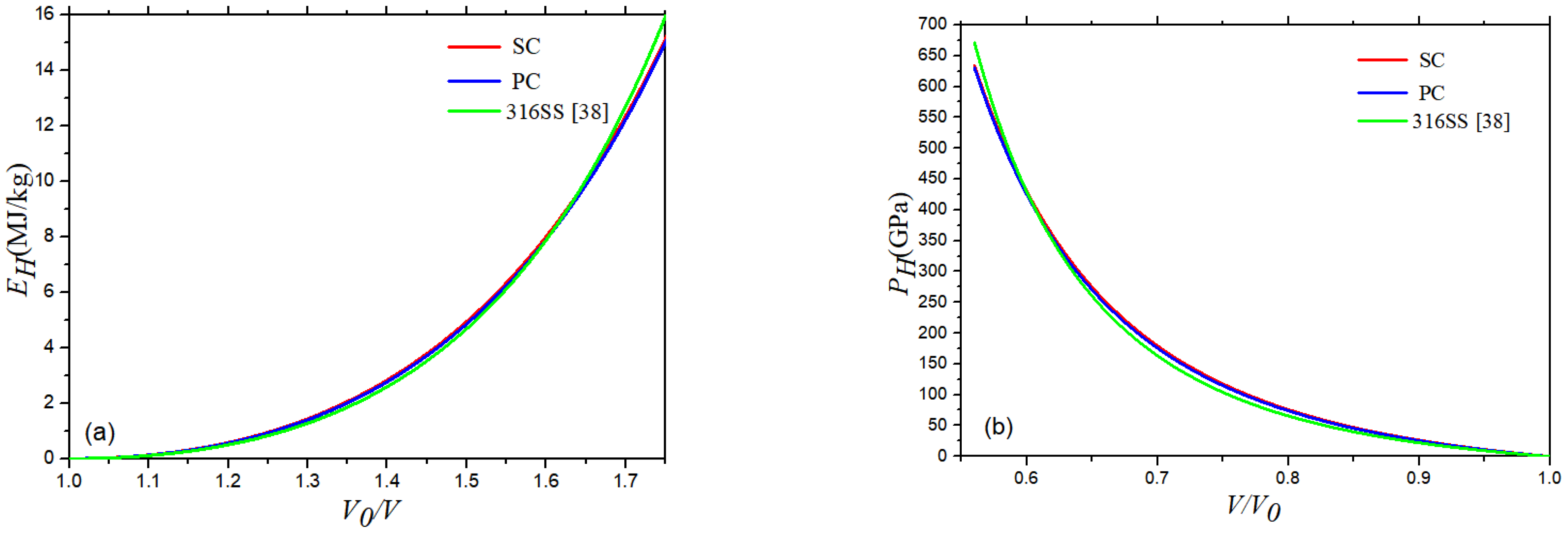
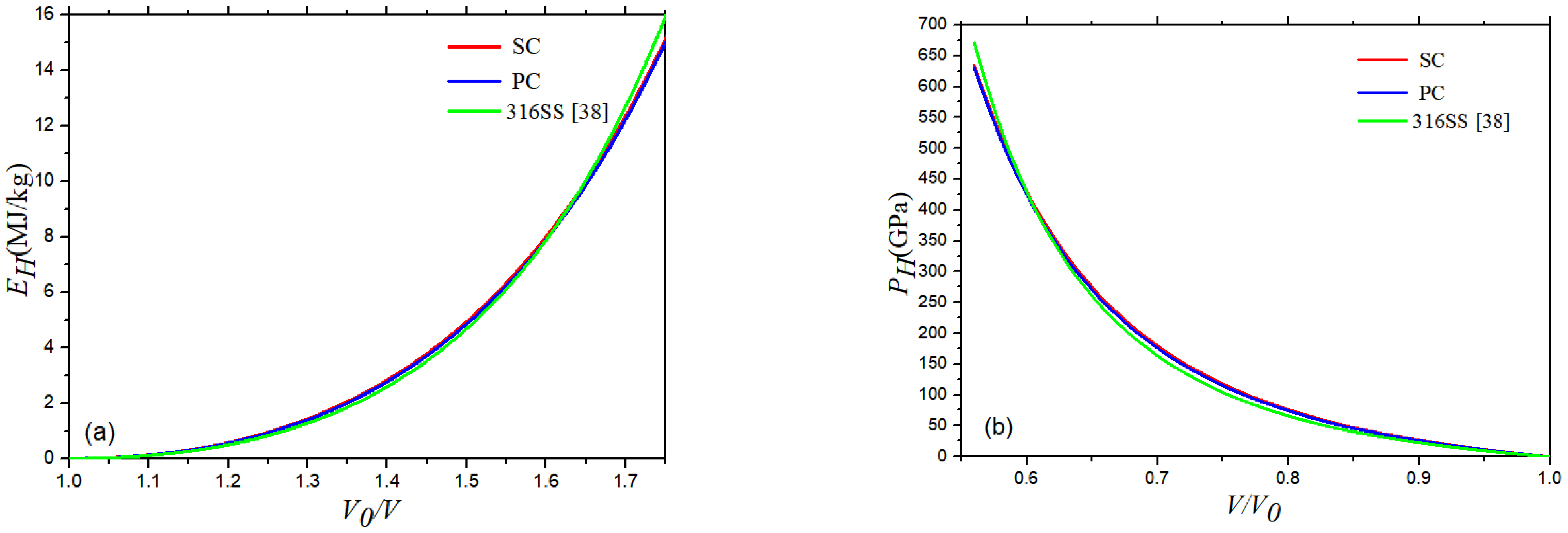
4.1. Hugoniot Pressure (PH) and Internal Energy (EH)
4.2. Cold Pressure (Pc) and Cold Energy (Ec)
4.3. Grüneisen Coefficient (γ)
4.4. Mie–Grüneisen Equation of State
5. Conclusions
Author Contributions
Funding
Institutional Review Board Statement
Informed Consent Statement
Data Availability Statement
Conflicts of Interest
References
- Andersson, J.; Grönkvist, S. Large-scale storage of hydrogen. Int. J. Hydrog. Energy 2019, 44, 11901–11919. [Google Scholar] [CrossRef]
- Yang, J.; Li, C.; Pan, Y.; Huang, H. The Failure Mechanism of the 316 SS Heat Exchanger Tube in the Geothermal Water Environment. Materials 2022, 15, 8103. [Google Scholar] [CrossRef] [PubMed]
- Equbal, A.; Equbal, M.A.; Equbal, M.I.; Ravindrannair, P.; Khan, Z.A.; Badruddin, I.A.; Kamangar, S.; Tirth, V.; Javed, S.; Kittur, M. Evaluating CNC Milling Performance for Machining AISI 316 Stainless Steel with Carbide Cutting Tool Insert. Materials 2022, 15, 8051. [Google Scholar] [CrossRef] [PubMed]
- Choi, W.-S.; Park, C.-G.; Ju, Y.-S.; Kang, H.-G.; Jang, M.-H.; Yun, S.-H. Thermal fatigue and creep evaluation for the bed in tritium SDS. Fusion Eng. Des. 2016, 109, 712–717. [Google Scholar] [CrossRef]
- Cui, Y.; Zeng, X.; Xiao, J.; Kou, H. The comprehensive review for development of heat exchanger configuration design in metal hydride bed. Int. J. Hydrog. Energy 2021, 47, 2461–2490. [Google Scholar] [CrossRef]
- Ramirez, J.P.B.; Halm, D.; Grandidier, J.-C.; Villalonga, S.; Nony, F. 700 bar type IV high pressure hydrogen storage vessel burst–Simulation and experimental validation. Int. J. Hydrog. Energy 2015, 40, 13183–13192. [Google Scholar] [CrossRef]
- Xu, P.; Zheng, J.; Liu, P.; Chen, R.; Kai, F.; Li, L. Risk identification and control of stationary high-pressure hydrogen storage vessels. J. Loss Prev. Process Ind. 2009, 22, 950–953. [Google Scholar] [CrossRef]
- Shen, C.; Ma, L.; Huang, G.; Wu, Y.; Zheng, J.; Liu, Y.; Hu, J. Consequence assessment of high-pressure hydrogen storage tank rupture during fire test. J. Loss Prev. Process Ind. 2018, 55, 223–231. [Google Scholar] [CrossRef]
- Lee, W.-S.; Lin, C.-F.; Liu, T.-J. Strain rate dependence of impact properties of sintered 316L stainless steel. J. Nucl. Mater. 2006, 359, 247–257. [Google Scholar] [CrossRef]
- Binqiang, L.; Guiji, W.; Jianjun, M.; Hongpin, Z.; Fuli, T.; Jianheng, Z.; Cangli, L.; Chengwei, S. Verification of conventional equations of state for tantalum under quasi-isentropic compression. J. Appl. Phys. 2014, 116, 193506. [Google Scholar] [CrossRef]
- Joshi, R.; Bhatt, N.; Thakore, B.; Vyas, P.; Jani, A. Grüneisen parameter and equations of states for copper–High pressure study. Comput. Condens. Matter 2018, 15, 79–84. [Google Scholar] [CrossRef]
- Yang, X.; Zeng, X.; Pu, C.; Chen, W.; Chen, H.; Wang, F. Molecular dynamics modeling of the Hugoniot states of aluminum. AIP Adv. 2018, 8, 105212. [Google Scholar] [CrossRef]
- Shao, J.-L.; He, A.-M.; Wang, P. Atomistic simulations on the dynamic properties of shock and release melting in single crystal Al. Comput. Mater. Sci. 2018, 151, 240–245. [Google Scholar] [CrossRef]
- Nellis, W.; Moriarty, J.; Mitchell, A.; Ross, M.; Dandrea, R.; Ashcroft, N.; Holmes, N.; Gathers, G. Metals physics at ultrahigh pressure: Aluminum, copper, and lead as prototypes. Phys. Rev. Lett. 1988, 60, 1414. [Google Scholar] [CrossRef] [PubMed]
- Wang, Y.; Chen, D.; Zhang, X. Calculated equation of state of Al, Cu, Ta, Mo, and W to 1000 GPa. Phys. Rev. Lett. 2000, 84, 3220. [Google Scholar] [CrossRef]
- Reed, E.J.; Fried, L.E.; Joannopoulos, J. A method for tractable dynamical studies of single and double shock compression. Phys. Rev. Lett. 2003, 90, 235503. [Google Scholar] [CrossRef]
- Maillet, J.-B.; Mareschal, M.; Soulard, L.; Ravelo, R.; Lomdahl, P.S.; Germann, T.C.; Holian, B.L. Uniaxial Hugoniostat: A method for atomistic simulations of shocked materials. Phys. Rev. E 2000, 63, 016121. [Google Scholar] [CrossRef]
- Barton, M.A.; Stacey, F.D. The Grüneisen parameter at high pressure: A molecular dynamical study. Phys. Earth Planet. Inter. 1985, 39, 167–177. [Google Scholar] [CrossRef]
- Vočadlo, L.; Dobson, D.P.; Wood, I.G. An ab initio study of nickel substitution into iron. Earth Planet. Sci. Lett. 2006, 248, 147–152. [Google Scholar] [CrossRef]
- Wen, P.; Demaske, B.; Spearot, D.E.; Phillpot, S.R.; Tao, G. Effect of the initial temperature on the shock response of Cu50Zr50 bulk metallic glass by molecular dynamics simulation. J. Appl. Phys. 2021, 129, 165103. [Google Scholar] [CrossRef]
- Dewapriya, M.; Miller, R. Energy absorption mechanisms of nanoscopic multilayer structures under ballistic impact loading. Comput. Mater. Sci. 2021, 195, 110504. [Google Scholar] [CrossRef]
- Brown, J.; Fritz, J.; Hixson, R. Hugoniot data for iron. J. Appl. Phys. 2000, 88, 5496–5498. [Google Scholar] [CrossRef]
- Chen, J.; Chen, W.; Chen, S.; Zhou, G.; Zhang, T. Shock Hugoniot and Mie-Grüneisen EOS of TiAl alloy: A molecular dynamics approach. Comput. Mater. Sci. 2020, 174, 109495. [Google Scholar] [CrossRef]
- Born, M.; Mayer, J.E. Zur gittertheorie der ionenkristalle. Z. Für Phys. 1932, 75, 1–18. [Google Scholar] [CrossRef]
- Morse, P.M. Diatomic molecules according to the wave mechanics. II. Vibrational levels. Phys. Rev. 1929, 34, 57. [Google Scholar] [CrossRef]
- Eliezer, S. Fundamentals of Equations of State; Allied Publishers: New Delhi, India, 2005. [Google Scholar]
- Zhang, G.; Bai, T.; Zhao, Y.; Hu, Y. A New Superhard Phase and Physical Properties of ZrB3 from First-Principles Calculations. Materials 2016, 9, 703. [Google Scholar] [CrossRef]
- Segletes, S.B.; Walters, W.P. On theories of the Grüneisen parameter. J. Phys. Chem. Solids 1998, 59, 425–433. [Google Scholar] [CrossRef]
- Srivastava, S.; Sinha, P. Analysis of volume dependence of Grüneisen ratio. Phys. B Condens. Matter 2009, 404, 4316–4320. [Google Scholar] [CrossRef]
- Nie, C.; Zong, B.; Wang, J. A comparative study of Burakovsky’s and Jacobs’s volume dependence Grüneisen parameter for fcc aluminum. Phys. B Condens. Matter 2015, 468, 7–10. [Google Scholar] [CrossRef]
- Heuzé, O. General form of the Mie–Grüneisen equation of state. Comptes Rendus Mec. 2012, 340, 679–687. [Google Scholar] [CrossRef]
- Zhou, X.W.; Foster, M.E.; Sills, R.B. An Fe-Ni-Cr embedded atom method potential for austenitic and ferritic systems. J. Comput. Chem. 2018, 39, 2420–2431. [Google Scholar] [CrossRef] [PubMed]
- Thompson, A.P.; Aktulga, H.M.; Berger, R.; Bolintineanu, D.S.; Brown, W.M.; Crozier, P.S.; in’t Veld, P.J.; Kohlmeyer, A.; Moore, S.G.; Nguyen, T.D. LAMMPS-a flexible simulation tool for particle-based materials modeling at the atomic, meso, and continuum scales. Comput. Phys. Commun. 2022, 271, 108171. [Google Scholar] [CrossRef]
- Nascimento, F.C.; Foerster, C.E.; Silva, S.L.R.d.; Lepienski, C.M.; Siqueira, C.J.d.M.; Alves Junior, C. A comparative study of mechanical and tribological properties of AISI-304 and AISI-316 submitted to glow discharge nitriding. Mater. Res. 2009, 12, 173–180. [Google Scholar] [CrossRef]
- Ren, Z.; Heuer, A.H.; Ernst, F. Ultrahigh-strength AISI-316 austenitic stainless steel foils through concentrated interstitial carbon. Acta Mater. 2019, 167, 231–240. [Google Scholar] [CrossRef]
- Hirel, P. Atomsk: A tool for manipulating and converting atomic data files. Comput. Phys. Commun. 2015, 197, 212–219. [Google Scholar] [CrossRef]
- Van Nuland, T.; Van Dommelen, J.; Geers, M. An anisotropic Voronoi algorithm for generating polycrystalline microstructures with preferred growth directions. Comput. Mater. Sci. 2021, 186, 109947. [Google Scholar] [CrossRef]
- Hixson, R.; McQueen, R.; Fritz, J. AIP Conference Proceedings. In The Shock Hugoniot of 316 SS and Sound Velocity Measurements; American Institute of Physics: College Park, MD, USA, 1994; pp. 105–108. [Google Scholar]
- Wang, Y.; Zeng, X.; Chen, H.; Yang, X.; Wang, F.; Ding, J. Hugoniot States and Mie–Grüneisen Equation of State of Iron Estimated Using Molecular Dynamics. Crystals 2021, 11, 664. [Google Scholar] [CrossRef]








| Material | Particle Velocity up (km/s) | Shock Wave Velocity us (km/s) | Material | Particle Velocity up (km/s) | Shock Wave Velocity us (km/s) |
|---|---|---|---|---|---|
| SC 316 stainless steel | 0.74 | 6.00 | PC 316 stainless steel | 0.79 | 6.00 |
| 1.45 | 7.00 | 1.52 | 7.00 | ||
| 2.18 | 8.00 | 2.21 | 8.00 | ||
| 2.84 | 9.00 | 2.90 | 9.00 | ||
| 3.52 | 10.00 | 3.59 | 10.00 | ||
| 4.22 | 11.00 | 4.26 | 11.00 |
| Material | C0 | λ | Material | C0 | Λ |
|---|---|---|---|---|---|
| SC 316 stainless steel | 9.01% | 7.05% | PC 316 stainless steel | 7.50% | 5.83% |
| Specific Volume V0k (cm3/g) | λ′ | A (GPa) | B | Q (GPa) | q | ||
|---|---|---|---|---|---|---|---|
| SC | 0.123 | 5.015 | 1.486 | 155.533 | 3.944 | 77.656 | 10.178 |
| PC | 0.123 | 4.933 | 1.498 | 148.678 | 3.992 | 72.213 | 10.219 |
Disclaimer/Publisher’s Note: The statements, opinions and data contained in all publications are solely those of the individual author(s) and contributor(s) and not of MDPI and/or the editor(s). MDPI and/or the editor(s) disclaim responsibility for any injury to people or property resulting from any ideas, methods, instructions or products referred to in the content. |
© 2023 by the authors. Licensee MDPI, Basel, Switzerland. This article is an open access article distributed under the terms and conditions of the Creative Commons Attribution (CC BY) license (https://creativecommons.org/licenses/by/4.0/).
Share and Cite
Yang, L.; Wang, H.; Chi, M.; Zeng, X.; Wang, Y.; Zhao, P. Molecular Dynamics Study on Hugoniot State and Mie–Grüneisen Equation of State of 316 Stainless Steel for Hydrogen Storage Tank. Materials 2023, 16, 628. https://doi.org/10.3390/ma16020628
Yang L, Wang H, Chi M, Zeng X, Wang Y, Zhao P. Molecular Dynamics Study on Hugoniot State and Mie–Grüneisen Equation of State of 316 Stainless Steel for Hydrogen Storage Tank. Materials. 2023; 16(2):628. https://doi.org/10.3390/ma16020628
Chicago/Turabian StyleYang, Li, Huizhao Wang, Minghua Chi, Xiangguo Zeng, Yuntian Wang, and Ping Zhao. 2023. "Molecular Dynamics Study on Hugoniot State and Mie–Grüneisen Equation of State of 316 Stainless Steel for Hydrogen Storage Tank" Materials 16, no. 2: 628. https://doi.org/10.3390/ma16020628
APA StyleYang, L., Wang, H., Chi, M., Zeng, X., Wang, Y., & Zhao, P. (2023). Molecular Dynamics Study on Hugoniot State and Mie–Grüneisen Equation of State of 316 Stainless Steel for Hydrogen Storage Tank. Materials, 16(2), 628. https://doi.org/10.3390/ma16020628
