Abstract
FRP (fiber-reinforced polymer)-reinforced concrete members have larger deflection than reinforced concrete members because of the low modulus of elasticity of the FRP bar. In this paper, we proposed a new effective moment of inertia equation to predict the deflection of FRP-reinforced concrete members based on the harmony search algorithm. The harmony search algorithm is used to optimize a function that minimizes the error between the deflection value of the experimental result and the deflection value expected from the specimen’s specifications. In the experimental part, four GFRP (Glass Fiber-Reinforced Polymer)- and BFRP (Basalt Fiber-Reinforced Polymer)-reinforced concrete slab specimens were manufactured and tested. FRP-reinforced concrete slabs were reinforced with GFRP and BFRP rebars on spiral rib surfaces. The effects of the FRP reinforcement ratio and balanced reinforcement ratio (/), the moment of inertia of the transformed cracked section and the gross moment of inertia (/), and the cracking moment and the maximum service load moment (/) on the effective moment of inertia have been considered. The experimental results and predicted results of the flexural testing of concrete slabs reinforced with FRP rebars were compared, and the experimental results were in good agreement with the calculated values using the proposed effective moment of inertia equation.
1. Introduction
Reinforced concrete structures are economical, can freely manufacture the shape and size of members, and are efficient in terms of maintenance. Therefore, concrete and steel rebar are recognized as the most essential materials in the construction industry [1]. As reinforced concrete structures are exposed to various environments, the steel rebar corrodes when moisture seeps into the concrete [2]. The corrosion of steel rebars in reinforced concrete structures can seriously affect the safety and durability of structures in harsh environments [3,4]. Therefore, the use of FRP (Fiber-Reinforced Polymer) rebar can be an effective solution to secure the performance and increase the service life of concrete structures [5]. Research is being actively conducted on the development and application of various types of FRP rebars, such as GFRPs (Glass Fiber-Reinforced Polymers), BFRPs (Basalt Fiber-Reinforced Polymers), AFRPs (Aramid Fiber-Reinforced Polymers), and CFRPs (Carbon Fiber-Reinforced Polymers) [6].
FRPs have excellent advantages such as high tensile strength, non-corrosiveness, and light weight compared with steel rebars. When FRPs are used as a steel rebar substitute, it is possible to prevent the deterioration of concrete structures caused by the corrosion of steel and increase their durability [7,8,9]. Therefore, FRPs are being used more and more in various civil structures such as bridges, tunnels, highways, marine structures, and underground structures [10].
FRP rebars do not have a yield point, but rather exhibit complete elastic behavior until failure. In addition, FRP rebars have a relatively low modulus of elasticity compared to steel rebar [11,12,13]. FRP rebars bond to concrete differently than steel rebars because their surface geometries and mechanical properties are different from steel rebars [14]. Therefore, FRP-reinforced concrete members have larger deflections and crack widths than reinforced concrete members with the same reinforcement ratio because of the difference between the physical and mechanical properties of FRP rebars [15,16,17].
In addition, FRP rebar-reinforced concrete members have brittle failure modes in flexure, either due to concrete crushing or sudden ruptures in the FRP rebar [18]. Concrete crushing failure is preferred since it allows for control over deflection and cracking and prevents the sudden rupture of the FRP rebar [19,20]. Therefore, the design of FRP-reinforced concrete members generally uses the serviceability limit state considering deflection and crack width rather than the ultimate limit state [21,22,23]. As a result, a method of predicting the expected load deflection of FRP-reinforced members with significant accuracy is required.
In this study, a modified effective moment of inertia equation was proposed, and a comparison was performed with the flexural test results of FRP-reinforced concrete slabs. The proposed effective moment of inertia was developed based on Branson’s equation. The harmony search algorithm was used, where 135 data points were used to minimize the test deflection value when the proposed equation reached the final strength. In order to examine the validity of the effective moment of inertia equation proposed through the harmony search algorithm, a comparative analysis was performed with the flexural stiffness results using concrete slabs reinforced by GFRP and BFRP. In the remainder of this paper, first, the previous model of the effective moment of inertia proposed by other researchers was analyzed. Next, the effective moment of inertia was proposed using data collected from other from other literature. FRP-reinforced concrete specimens with GFRP and BFRP rebar were manufactured and compared with the experimental results in order to verify the proposed effective area moment of inertia.
2. Effective Moment of Inertia and Predictive Proposal Model
2.1. Effectivemonet Moment of Inertia
The relationship between the flexural moment and a curvature is defined as shown in Equation (1), wherein the flexural stiffness of a member changes depending on the magnitude of the force acting on the member, the modulus of elasticity actually changes depending on the stress level, and the moment of inertia also changes depending on the presence or absence of cracks. Figure 1 shows the effect on the size and load of the section, etc., and expresses it as an idealized moment–curvature relationship. If the load is small, the maximum moment generated will be small, and the tensile stress in the ultimate tensile section will be less than the modulus of the failure of concrete. In this case, the entire cross-section determines the stiffness of the concrete member [24]:
Figure 1.
Bilinear moment–curvature relationship of an FRP-reinforced concrete section.
When the service load or a greater load is put into action, a flexural tensile crack is formed in the center of the member, and the position of the neutral axis in the cracked section is shifted to the compression side. At that time, only the cracked transformed section, excluding the concrete crack surface, becomes valid for determining the stiffness of the member, and the moment of inertia of the central section of the member is changed to the moment of inertia of the cracked transformed section. However, since the moment of inertia outside the central section where the flexural crack does not occur and the moment of inertia of the section with a low stress impact is assumed to be the same as the area moment of inertia, the effective moment of inertia is located between the moment of inertia of the cracked section and the area moment of inertia. According to ACI 318 [25], the effective moment of inertia after a crack occurs, proposed by Branson [26], is presented as show in:
where is the cracking moment, is the maximum service load moment, is the moment of inertia of the transformed cracked section, and is the gross moment of inertia:
where λ is a modification factor reflecting the reduced mechanical properties of concrete, is the specified compressive strength of concrete, is the distance from the centroidal axis of the gross section, is the ratio of the depth of the neutral axis to the reinforcement depth, is the ratio of the modulus of elasticity of FRP rebars to the modulus of elasticity of concrete, and is the area of FRP reinforcement.
Here, is the modulus of elasticity of FRP rebar, is the modulus of elasticity of the concrete, and is the FRP reinforcement ratio.
Branson’s equation overestimates the stiffness of the members when the of the concrete members is 3 or 4. In general, an FRP-reinforced concrete member has an between 5 and 25, which can overestimate the tensile strength and underestimate the deflection and was thus found to be unsuitable for FRP-reinforced concrete members [27,28]. Therefore, as the deflection of FRP-reinforced concrete members has been shown to differ from the deflection of existing reinforced concrete members, various researchers have proposed new predictive models.
In the study of Benmokrane et al. [28], the composite action between concrete and FRP rebar may not be as perfect as is commonly assumed. Therefore, a flexural test of the FRP-reinforced concrete member reinforced with GFRP rebar was conducted using the reinforcement ratio as a variable. According to the test results, the following effective moment of inertia equation applied with the parameters and was proposed:
Toutanji and Saafi [29] found that the order of the effective moment of inertia depends on the low modulus of elasticity of the FRP as well as the FRP reinforcement ratio. Therefore, the following equation was proposed:
where for members reinforced with GFRP when .
Hall and Ghali [30] and the ISIS Canada Design Manual [31] proposed similar effective moments of inertia based on the concept of the moment–curvature relationships in the CEP-FIP model code and the assumption that the tension stiffening factor relates to the ratio . The proposed equation of Hall and Ghali [30] is shown in Equation (11), and the proposed equation of the ISIS Canada Design Manual [31] is shown in Equation (12):
where is a coefficient characterizing the bonding properties of rebar and is equal to 1.0 for a ribbed bar and 0.5 for a smooth bar, and is a coefficient characterizing the type of loading and is equal to 0.8 for the initial loading and 0.5 for sustained or cyclic loading.
ACI 440.1R-03 [32], Yost et al. [33], and ACI 440.1R-06 [34] suggest models of effective moment of inertia that are generally the same. The parameter accounts for the bond properties and modulus of elasticity of the FRP rebar:
ACI 440.1R-03 [32] set , where is a bond-dependent coefficient; has been found to be 0.5 for GFRP rebars. Based on test results from 48 GFRP-reinforced concrete beam specimens tested by Yost et al. [33], the prediction of the model was observed to overestimate the test results. They then suggested a modification parameter . Based on an evaluation of the test results from several studies, ACI 440.1R-06 [34] proposed a new expression for , where is mainly dependent on the relative FRP reinforcement ratio.
Rafi and Nadjai [35] compared the theoretical deflection of concrete beams reinforced with FRP rebar with the test results. Based on one set of test results, they suggested an effective moment of inertia in which the parameter is similar to the expression used by the ACI 440.1R-06 [34]:
The parameter γ is a relationship obtained via a linear regression analysis of the test results, where .
Bischoff [36,37] proposed the concept of tension-stiffening in the existing Branson’s approach to present a new expression of the effective moment of inertia that can be equally applied to steel rebar and FRP-reinforced concrete beams. This model captures the bending behavior of FRP-reinforced concrete beams and develops the effective moment of inertia, which is a weighted average of the flexibility of uncracked and cracked concrete:
Bischoff and Gross [38] modified the previously suggested effective moment of inertia. They concluded that a reduced cracking moment equal to 80% of the cracking moment value in the ACI 318-08 [25] code provides a reasonable estimate of deflection for FRP-reinforced concrete beams using their expression [22]:
In Equation (17), γ is a parameter in four-point flexural beams.
Mousavi and Esfahani [22] used the genetic algorithm to propose an effective moment of inertia of GFRP-reinforced concrete beams. Their proposed effective moment of inertia presented accurate estimates, especially at high reinforcement ratios:
Neuyen et al. [39] proposed an equation of the effective moment of inertia using an AI technique called gene expression programming (GEP). They concluded that the proposed models provide good predictions of deflections of FRP-reinforced beams in comparison with experimental data and results from several existing design codes:
2.2. Proposal of Effective Moment of Inertia
In this study, FRP-reinforced flexural test data obtained by various researchers using four-point loading methods was collected to evaluate the accuracy of the effective moment of inertia equations presented in the literature and to present a new equation of the effective moment of inertia. The collected data comprised a wide range of test data, including 135 data points, and these data points were obtained from the load–deflection relationships of approximately 112 FRP-reinforced concrete members. Details of the various experimental studies are summarized in the Table 1 and Appendix A. In these data points, a wide range of changes in the modulus of elasticity of concrete FRP rebar, the compressive strength of concrete, the tensile strength of FRP rebar, the relative reinforcement ratio, the level of loading, and the ratio of the moment of inertia of the transformed cracked section to the gross moment of inertia are present. The changes in these parameters are presented in Table 2. FRP-reinforced concrete members that are out of range of the data points may not have adequately predicted deflection.
Table 1.
Experimental studies of reinforced concrete members.
Table 2.
Range of parameter changes in experimental data points.
The midspan deflection of the concrete member of the four-point loading method can be calculated as shown in Equation (20), and the effective moment of inertia is the main factor in determining the deflection along with modulus of elasticity:
where is the applied load, is the span of the beam, and is the distance between the support and the load point. Using the deflection of the member and the corresponding load, the experimental value of the effective moment of inertia may be expressed as shown in Equation (21):
where is the experimental load and is the experimental midspan deflection corresponding to . When the experimental value of the effective moment of inertia is expressed using Branson’s Equation (2), the expression can be reversed to derive the expression for the parameter m:
To derive the value of parameter m, the correlation between the , , and relationships are presented in Figure 2a–c. As shown in Figure 2a, the lower the ratio of , the lower the value of m. In addition, as shown in Figure 2b,c, the parameter m is relatively dependent on and . According to Branson’s Equation (2), when the load increases, the moment of inertia is interpolated between the area moment of inertia and the moment of inertia of the cracked transformed section. Thus, in Branson’s Equation (2), the reduction factor must be multiplied to estimate an effective moment of inertia value that is smaller than the moment of inertia of the cracked transformed section.

Figure 2.
Relationship of m versus influence factor: (a) ; (b) ; (c) .
The harmony search algorithm applied in this study is the most optimized algorithm that mimics musical harmony. This is the process by which each tone harmonizes to create an optimal chord. The harmony search algorithm is characterized by the fact that it does not require mathematical differentiation processes as in other algorithms and that it is optimized by approaching it from a probabilistic perspective. The harmony value generated in the initial full set range is stored in harmony memory, and the ranking is continuously improved to derive the optimal harmony value. In this process, the HMCR (Harmony Memory Considering Rate), which is the probability of randomly generating new chords, provides the possibility of finding a better optimal value without falling into the local solution (i.e., the local optimum). In addition, the PAR (Pitch Adjusting Rate) improves the performance of the HMS (Harmony Memory Size) by considering it as a value adjacent to the existing solution in order to find a good solution [54].
In this paper, Mousavi and Esfahani’s [22] approach, which is based on Branson’s Equation (2), was followed. The proposed effective moment of inertia equation was derived using the harmony search algorithm equipped with the parameters of the experimental data of other researchers and the experimental results achieved in the present study. MATLAB R2021b has been used to generate the code for the harmony search algorithm. The objective function was to minimize the error between the deflection value of the flexural test result and the expected deflection value applying the proposed effective moment of inertia. Parameter m considers the FRP reinforcement ratio and balanced reinforcement ratio (, the moment of inertia of the transformed cracked section and the gross moment of inertia (, and the cracking moment and the maximum service load moment (:
The harmony search algorithm continues until the error converges to the lowest point. For optimization, the size of HMS was set to 50, the number of interactions was set to 100,000, and the HMCR and PAR values were set to 0.70 and 0.25, respectively. The values of obtained by the harmony search algorithm through this optimization are as follows:
3. Experimental Program
In this study, the FRP rebar used consists of individual fibers and epoxy resins and has a spiral ribbed surface type. The FRP rebar’s diameter was 13 mm. Figure 3 shows the surface of the GFRP and BFRP rebars and the tensile test view, and Table 3 provides the properties of the GFRP and BFRP rebars. The tensile properties of the FRP reinforcement were determined by testing five GFRP and BFRP specimens according to the ASTM D 7205 standard. The tensile tests were carried out using an actuator with a capacity of 3000 kN at a rate of 3 mm per minute until the rebar failed in tension. The guaranteed tensile strengths of the GFRP rebar and BFRP rebar with standard deviation were calculated to be 839.1 MPa and 755.5 MPa, respectively. The designed tensile strength was calculated by multiplying the environmental reduction factor (0.7, for external exposure) in compliance with ACI 440.1R-15 [5], resulting in a tensile strength of 587.4 MPa and 528.9 MPa for GFRP rebar and BFRP rebar, respectively. Their moduli of elasticity were found to be 49.0 GPa and 50.5 GPa, within the general range of the modulus of elasticity for GFRP and BFRP rebar. The standard designed compressive strength of concrete applied in the experiment was 45.0 MPa, and the compressive strengths of five concrete specimens were measured, and the average compressive strength was 45.4 MPa.
Figure 3.
FRP rebar and tensile test: (a) Surface of GFRP and BFRP; (b) Test set up for tensile test; (c) Failure mode of FRP rebar.
Table 3.
Typical material properties of GFRP and BFRP reinforcing rebars.
The FRP-reinforced concrete member was designed as a one-way slab in which the FRP rebar was laid transversely. The deflection was analyzed according to the effective moment of inertia in terms of the FRP rebar type and the FRP reinforcement ratio. As shown in Figure 4, the specimen has the width and height of 650 × 180 mm, a cover of 46.5 mm, a total length of 2300 mm, and a pure span of 1800 mm (the blue circle in the Figure 4). The flexural test was performed by placing a reaction force hinge at a distance of 250 mm from both ends in a four-point loading method. The actuator device was used to apply the load at a rate of 2 mm per minute at a distance of 300 mm from the center of the upper part of the specimen to both sides (the red line in the Figure 4). Data of the load and deflection were measured to determine the behavior of the one-way slab in response to the applied load. The applied load was measured through a load cell attached to the actuator, and the experimental midspan deflection value was measured using an LVDT (Linear Variable Displacement Transducer). The load data and deflection data of each FRP-reinforced member were automatically collected by a TDS-303 data logger device. Data of the load and deflection were measured once per second.
Figure 4.
FRP-reinforced concrete slab section.
Table 4 shows the balanced reinforcement ratio design moment of each FRP reinforcement in the design section suggested by ACI 440.1R [5]. In the case of short-term behaviors, such as static experiments, it is judged that it is appropriate to analyze the strength to evaluate the behavior without considering the environmental reduction factor.
Table 4.
Balanced reinforcement ratio of reinforced concrete slab.
4. Comparison of Test Results
Figure 5 visually represents the failure mode of GFRP and BFRP specimens after the flexural test. Table 5 shows the experimentally and analytically obtained flexural moment, crack spacing, and mode of failure of the GFRP and BFRP specimens. The FRP-reinforced specimens exhibited linear behavior before the cracking load, and after the initial cracking, it behaved linearly with the load fluctuations. After that time, brittle behavior occurred at the time of failure. The load fluctuation that occurs in the flexural test is determined to be caused by the partial rupture of the fibers in the rebar and the bonding of the concrete after the initial cracking load. The crack spacings of the GFRP and BFRP specimens were observed to be 150 to 250 mm and 150 to 200 mm, respectively.
Figure 5.
Failure state of FRP-reinforced concrete specimens: (a) GFRP specimen; (b) BFRP specimen.
Table 5.
Result of experimental GFRP and BFRP rebar-reinforced concrete specimens.
Figure 6a,b compare the experimental midspan deflections for GFRP and BFRP specimens to the deflections predicted using different proposed models of the effective moment of inertia. In this study, the service load is assumed to be 40% of the ultimate load. Figure 6a shows that for the GFRP specimen corresponding to the balanced reinforcement ratio, the models of effective moment of inertia proposed by ACI 440.1R-03 [32], ACI 440.1R-06 [34], and Nguyent et al. [39] were found to underestimate the values of all states of the load after cracking. The model of Toutanji and Saafi [29] was shown to underestimate deflection at the service load stage by predicting too much stiffness after the initial load but overestimating the ultimate load. Figure 6b shows that for BFRP specimens corresponding to the compression-controlled section, only the model of ACI 440.1R-03 [32] was found to underestimate the values in all states of the load after cracking. Regardless of the FRP reinforcement ratio of the specimens, the models of Hall and Ghali [30] and the ISIS Canada Design Manual [31] showed the most conservative deflections. The model of Benmokrane et al. [28] predicts similar deflection for all specimens at the initial load but tends to overestimate the deflection the most at the ultimate load.
Figure 6.
Comparison of analytical load–midspan deflection of FRP-reinforced concrete specimens: (a) GFRP-reinforced concrete specimens; (b) BFRP-reinforced concrete specimens.
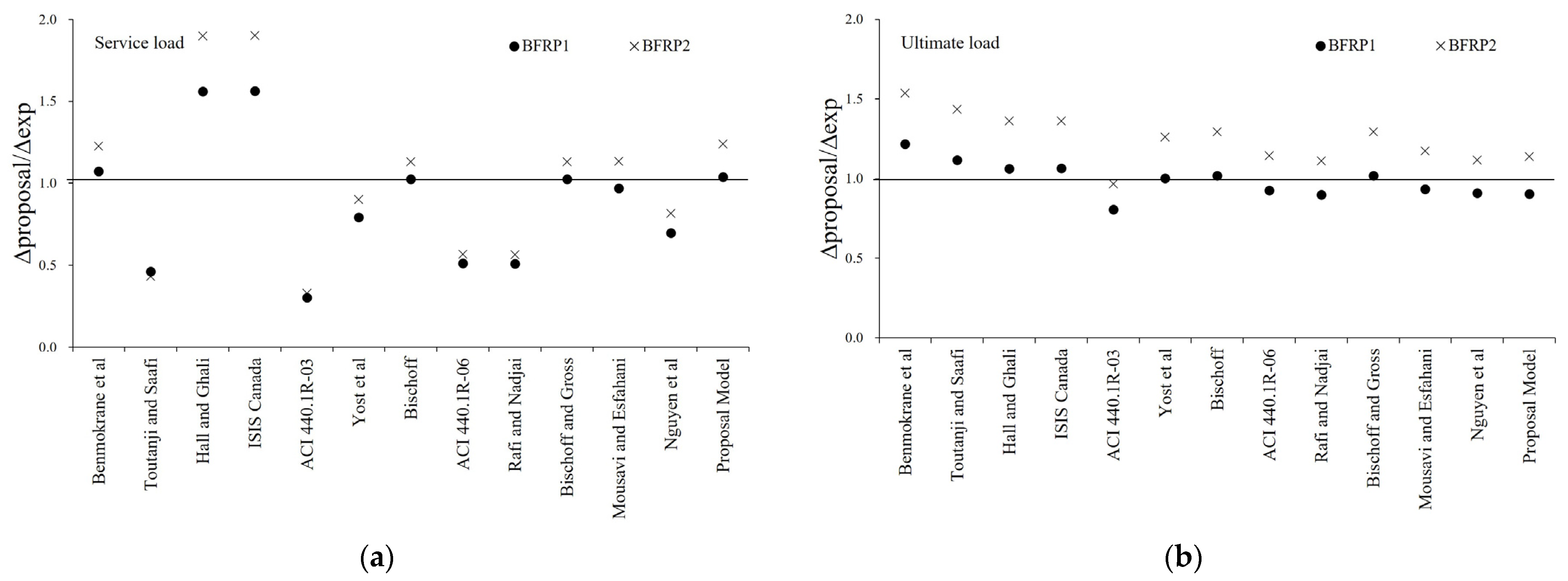
Figure 7 and Figure 8 show the ratio of experimental and predicted deflection under service load and the ultimate load of GFRP and BFRP specimens. In the service load state, it can be confirmed that ratio of experimental and predicted deflection by the proposed effective moment of inertia is more accurate than that of the existing model. In the ultimate load state, it was found that the ratio of experimental and predicted deflection was minimized for each specimen, and it has been shown to predict the correct deflection.
Figure 7.
Experimental versus predicted midspan deflection of GFRP Specimens: (a) Ratio of experimental and predicted deflection at service load; (b) Ratio of experimental and predicted deflection at ultimate load.
Figure 8.
Experimental versus predicted midspan deflection of BFRP Specimens: (a) Ratio of experimental and predicted deflection at service load; (b) Ratio of experimental and predicted deflection at ultimate load.
Table 6 and Table 7 show the service loads of the GFRP and BFRP specimens compared with the calculation of the experimental deflection and predicted deflection for the maximum load. For GFRP specimens, the equations of Hall and Ghali [30] and ISIS Canada [31] overestimate the same value at the service load state, whereas our proposed model predicts the most accurate evaluation. In the ultimate load state, most proposed models, including the ones by Benmokrane et al. [28], overestimate the deflection. The models of ACI 440.1-06 [34] and Mousavi and Esfahani [22], as well as ours, predicted a rather accurate error with an average deflection within 1 mm. For BFRP specimens, the equations of Bishoff [36,37], Bischoff and Gross [38], Mousavi and Esfahani [22], and our proposed model predicted a rather accurate error, with the average deflection within 1 mm. In the ultimate load state, models from ACI 440.1R-06 [34], Rafi and Nadjai [35], and Nguyen et al. [39] accurately evaluated the average deflection error within 1 mm. It is judged that the fluctuation is large because the deflection generated under the same load is different for each GFRP and BFRP specimen.
Table 6.
Comparison of analytical deflections with experimental values at service load and ultimate load of GFRP specimens.
Table 7.
Comparison of analytical deflections with experimental values at service load and ultimate load of BFRP specimens.
5. Conclusions
In this paper, various proposed models for the effective moment of inertia of FRP-reinforced concrete members were reviewed. Data were secured by listing 12 existing proposal equations of the effective moment of inertia and collecting literature reporting results of the four-point flexural test. The collected data used a wide range of test data, totalling 135 data points, and these data points were obtained from the load–deflection relationship of approximately 112 FRP-reinforced concrete members. Based on the collected data and experimental results, a new equation of effective moment of inertia was proposed using the harmony search algorithm. The proposed equations of the effective moment of inertia were derived to minimize the difference between the deflection of the experimental results and the calculated value. The effects of the FRP reinforcement ratio and the balanced reinforcement ratio (/), the moment of inertia of the transformed cracked section and the gross moment of inertia (/), and the cracking moment and the maximum service load moment (/) were considered as the parameters applied to the proposed effective moment of inertia equation.
- The proposed model considering the ratio of the reinforcement ratio and the balanced reinforcement ratio, the ratio of the moment of inertia of the transformed cracked section and the gross moment of inertia, and the ratio of cracking moment and the maximum service load moment were confirmed to have a higher accuracy than previous models.
- In the case of GFRP specimens, Mousavi and Esfahani [22] and the proposed model were the most accurate deflection at the ultimate load stage, and in the case of BFRP specimens, Neuyen et al. [39] and the proposed model were the most accurate deflection at the ultimate load state.
- The proposed model using the harmony search algorithm showed a low error in the deflection of FRP-reinforced concrete slabs. The accuracy of the proposed model was verified by experimental results and showed good agreement.
- It is necessary to verify the suitability of the proposed model for calculating the effective moment of inertia of FRP-reinforced concrete members, such as in the presence of various surface geometries, mechanical properties, and types of FRP rebar.
Author Contributions
N.-S.J.: Conceptualization; Methodology; Software; Writing—Original Draft; Data Curation. Y.-H.K.: Methodology; Investigation; Resources; Funding acquisition. H.-S.O.: Software; Data Curation; Visualization; Formal Analysis; Supervision. All authors have read and agreed to the published version of the manuscript.
Funding
This work is supported by the Korea Agency for Infrastructure Technology Advancement (KAIA) grant funded by the Ministry of Land, Infrastructure, and Transport (Grant 21CFRP-C163381-01).
Institutional Review Board Statement
Not applicable.
Informed Consent Statement
Not applicable.
Data Availability Statement
Not applicable.
Conflicts of Interest
The authors declare no conflict of interest.
Appendix A
Table A1.
Database of the experimental four-point flexural test for deflection of FRP-reinforced concrete members.
Table A1.
Database of the experimental four-point flexural test for deflection of FRP-reinforced concrete members.
| No | Reference | Specimen | |||||||||
|---|---|---|---|---|---|---|---|---|---|---|---|
| 1 | [21] | C212D1a | 140.0 | 163.4 | 190.0 | 59.8 | 1353 | 63,232 | 226.5 | 1800 | 600 |
| 2 | C212D1b | 140.0 | 163.4 | 190.0 | 59.8 | 1353 | 63,232 | 226.5 | 1800 | 600 | |
| 3 | C216D1a | 140.0 | 161.5 | 190.0 | 56.3 | 995 | 64,152 | 402.5 | 1800 | 600 | |
| 4 | C216D1b | 140.0 | 161.5 | 190.0 | 56.3 | 995 | 64,152 | 402.5 | 1800 | 600 | |
| 5 | C316D1a | 140.0 | 161.5 | 190.0 | 55.2 | 995 | 64,152 | 603.7 | 1800 | 600 | |
| 6 | C316D1b | 140.0 | 161.5 | 190.0 | 55.2 | 995 | 64,152 | 603.7 | 1800 | 600 | |
| 7 | C212D2a | 140.0 | 142.5 | 190.0 | 39.6 | 1353 | 63,252 | 197.5 | 1800 | 600 | |
| 8 | C212D2b | 140.0 | 142.5 | 190.0 | 39.6 | 1353 | 63,252 | 197.5 | 1800 | 600 | |
| 9 | C216D2a | 140.0 | 140.6 | 190.0 | 61.7 | 995 | 64,152 | 350.4 | 1800 | 600 | |
| 10 | C216D2b | 140.0 | 140.6 | 190.0 | 61.7 | 995 | 64,152 | 350.4 | 1800 | 600 | |
| 11 | C316D2a | 140.0 | 140.6 | 190.0 | 60.1 | 995 | 64,152 | 525.6 | 1800 | 600 | |
| 12 | C316D2b | 140.0 | 140.6 | 190.0 | 60.1 | 995 | 64,152 | 525.6 | 1800 | 600 | |
| 13 | [40] | A1 | 150 | 165 | 200 | 46.2 | 1506 | 50,080 | 176.71 | 2610 | 870 |
| 14 | B1 | 150 | 165.2 | 200 | 46.2 | 1506 | 50,080 | 265.07 | 2610 | 870 | |
| 15 | C1 | 150 | 153.5 | 200 | 46.2 | 1506 | 50,080 | 353.43 | 2610 | 870 | |
| 16 | [41] | B1-1 | 150 | 275 | 300 | 60 | 482.2 | 57,982 | 100.5 | 1600 | 300 |
| 17 | B1-2 | 150 | 275 | 300 | 60 | 636.3 | 43,939 | 157.1 | 1600 | 300 | |
| 18 | B1-3 | 150 | 275 | 300 | 60 | 745.6 | 37,500 | 226.2 | 1600 | 300 | |
| 19 | B2-1 | 150 | 275 | 300 | 50 | 482.2 | 57,982 | 100.5 | 1600 | 300 | |
| 20 | B2-2 | 150 | 275 | 300 | 50 | 636.4 | 43,939 | 157.1 | 1600 | 300 | |
| 21 | B2-3 | 150 | 275 | 300 | 50 | 745.6 | 37,500 | 226.2 | 1600 | 300 | |
| 22 | [42] | FB-1 | 180 | 186.0 | 230 | 27 | 841 | 42,100 | 144 | 1600 | 685 |
| 23 | FB-2 | 180 | 186.0 | 230 | 27 | 841 | 42,100 | 216 | 1600 | 685 | |
| 24 | FB-3 | 180 | 173.5 | 230 | 27 | 841 | 42,100 | 288 | 1600 | 685 | |
| 25 | [22] | B1 | 150 | 165 | 200 | 20 | 490 | 41,000 | 142 | 2000 | 650 |
| 26 | B2 | 150 | 165 | 200 | 20 | 490 | 41,000 | 471 | 2000 | 650 | |
| 27 | B3 | 150 | 165 | 200 | 20 | 490 | 41,000 | 671 | 2000 | 650 | |
| 28 | B4 | 150 | 165 | 200 | 38 | 490 | 41,000 | 142 | 2000 | 650 | |
| 29 | B5 | 150 | 165 | 200 | 38 | 490 | 41,000 | 471 | 2000 | 650 | |
| 30 | B6 | 150 | 165 | 200 | 38 | 490 | 41,000 | 671 | 2000 | 650 | |
| 31 | B7 | 150 | 165 | 200 | 64 | 490 | 41,000 | 142 | 2000 | 650 | |
| 32 | B8 | 150 | 165 | 200 | 64 | 490 | 41,000 | 471 | 2000 | 650 | |
| 33 | B9 | 150 | 165 | 200 | 64 | 490 | 41,000 | 671 | 2000 | 650 | |
| 34 | [43] | BRC1 | 120 | 175.3 | 200 | 42.6 | 1676 | 135,900 | 147.2 | 1750 | 675 |
| 35 | BRC2 | 120 | 175.3 | 200 | 41.7 | 1676 | 135,900 | 147.2 | 1750 | 675 | |
| 36 | [44] | GB1-1 | 180 | 268 | 300 | 35 | 695 | 40,000 | 250.8 | 2800 | 1200 |
| 37 | GB1-2 | 180 | 268 | 300 | 35 | 695 | 40,000 | 250.8 | 2800 | 1200 | |
| 38 | GB2-1 | 180 | 268 | 300 | 35 | 695 | 40,000 | 381.1 | 2800 | 1200 | |
| 39 | GB2-2 | 180 | 268 | 300 | 35 | 695 | 40,000 | 381.1 | 2800 | 1200 | |
| 40 | GB3-1 | 180 | 225 | 300 | 35 | 695 | 40,000 | 445.5 | 2800 | 1200 | |
| 41 | GB3-2 | 180 | 225 | 300 | 35 | 695 | 40,000 | 445.5 | 2800 | 1200 | |
| 42 | [45] | 2G12 | 230 | 254 | 300 | 40 | 1000 | 50,000 | 226.2 | 3700 | 1250 |
| 43 | 3G12 | 230 | 254 | 300 | 40 | 1000 | 50,000 | 339.3 | 3700 | 1250 | |
| 44 | 3G16 | 230 | 252 | 300 | 40 | 1000 | 50,000 | 603.2 | 3700 | 1250 | |
| 45 | [46] | 2 | 200 | 157.5 | 210 | 31.3 | 700 | 35,630 | 1134 | 2900 | 1250 |
| 46 | 3 | 200 | 210.7 | 260 | 31.3 | 886 | 43,370 | 507 | 2900 | 1250 | |
| 47 | 4 | 200 | 247.5 | 300 | 40.7 | 700 | 35,630 | 567 | 2900 | 1250 | |
| 48 | 5 | 200 | 197.5 | 250 | 40.7 | 700 | 35,630 | 1134 | 2900 | 1250 | |
| 49 | [47] | 2D16-8S70-N | 250 | 214 | 250 | 30 | 775 | 46,000 | 402 | 2000 | 800 |
| 50 | 2D16-10S110-N | 250 | 212 | 250 | 30 | 775 | 46,000 | 402 | 2000 | 800 | |
| 51 | 2D16-8S35-N | 250 | 214 | 250 | 30 | 775 | 46,000 | 402 | 2000 | 800 | |
| 52 | 2D16-10S55-N | 250 | 212 | 250 | 30 | 775 | 46,000 | 402 | 2000 | 800 | |
| 53 | 5D10-8S70-N | 250 | 217 | 250 | 30 | 789 | 44,000 | 393 | 2000 | 800 | |
| 54 | 5D10-10S110-N | 250 | 215 | 250 | 30 | 789 | 44,000 | 393 | 2000 | 800 | |
| 55 | 5D10-8S35-N | 250 | 217 | 250 | 30 | 789 | 44,000 | 393 | 2000 | 800 | |
| 56 | 5D10-10S55-N | 250 | 215 | 250 | 30 | 789 | 44,000 | 393 | 2000 | 800 | |
| 57 | 3D18-8S70-N | 250 | 213 | 250 | 30 | 800 | 42,000 | 763 | 2000 | 800 | |
| 58 | 3D18-10S110-N | 250 | 211 | 250 | 30 | 800 | 42,000 | 763 | 2000 | 800 | |
| 59 | 3D18-10S55-N | 250 | 213 | 250 | 30 | 800 | 42,000 | 763 | 2000 | 800 | |
| 60 | 3D18-10S55-N | 250 | 211 | 250 | 30 | 800 | 42,000 | 763 | 2000 | 800 | |
| 61 | 5D14-8S70-N | 250 | 214 | 250 | 30 | 825 | 45,000 | 770 | 2000 | 800 | |
| 62 | 5D14-10S110-N | 250 | 212 | 250 | 30 | 825 | 45,000 | 770 | 2000 | 800 | |
| 63 | 5D14-8S35-N | 250 | 214 | 250 | 30 | 825 | 45,000 | 770 | 2000 | 800 | |
| 64 | 5D14-10S55-N | 250 | 212 | 250 | 30 | 825 | 45,000 | 770 | 2000 | 800 | |
| 65 | [48] | CC | 230 | 184 | 250 | 75.9 | 2130 | 146,200 | 256 | 1900 | 800 |
| 66 | GG | 230 | 184 | 250 | 75.9 | 941 | 48,100 | 762 | 1900 | 800 | |
| 67 | [23] | BF1 | 127 | 286 | 305 | 38.6 | 724 | 26,200 | 253 | 3050 | 990 |
| 68 | BF2 | 127 | 286 | 305 | 40.7 | 724 | 26,200 | 253 | 3050 | 990 | |
| 69 | BF3 | 127 | 286 | 305 | 40.0 | 724 | 26,200 | 379 | 3050 | 990 | |
| 70 | BF4 | 127 | 286 | 305 | 38.6 | 724 | 26,200 | 379 | 3050 | 990 | |
| 71 | BF5 | 127 | 286 | 305 | 37.2 | 724 | 26,200 | 506 | 3050 | 990 | |
| 72 | BF6 | 127 | 286 | 305 | 35.2 | 724 | 26,200 | 506 | 3050 | 990 | |
| 73 | BF7 | 127 | 273 | 305 | 32.4 | 724 | 26,200 | 632 | 3050 | 990 | |
| 74 | BF8 | 127 | 273 | 305 | 29.7 | 724 | 26,200 | 632 | 3050 | 990 | |
| 75 | BF9 | 127 | 273 | 305 | 29.7 | 724 | 26,200 | 758 | 3050 | 990 | |
| 76 | BF10 | 127 | 273 | 305 | 35.2 | 724 | 26,200 | 758 | 3050 | 990 | |
| 77 | BF11 | 127 | 273 | 305 | 39.3 | 724 | 26,200 | 885 | 3050 | 990 | |
| 78 | BF12 | 127 | 273 | 305 | 30.4 | 724 | 26,200 | 885 | 3050 | 990 | |
| 79 | [49] | A1 | 100 | 125 | 150 | 55.4 | 732 | 37,500 | 63.3 | 2400 | 900 |
| 80 | A2 | 100 | 125 | 150 | 55.4 | 732 | 37,500 | 95.0 | 2400 | 900 | |
| 81 | A3 | 100 | 125 | 150 | 55.4 | 732 | 37,500 | 126.7 | 2400 | 900 | |
| 82 | B1 | 100 | 125 | 150 | 70.8 | 1764 | 55,600 | 142.7 | 2400 | 900 | |
| 83 | B2 | 100 | 125 | 150 | 70.8 | 1764 | 55,600 | 214.0 | 2400 | 900 | |
| 84 | B3 | 100 | 125 | 150 | 70.8 | 1764 | 55,600 | 285.3 | 2400 | 900 | |
| 85 | C1 | 100 | 125 | 150 | 90.1 | 1605 | 48,600 | 253.4 | 2400 | 900 | |
| 86 | C2 | 100 | 125 | 150 | 90.1 | 1605 | 48,600 | 380.0 | 2400 | 900 | |
| 87 | C3 | 100 | 125 | 150 | 90.1 | 1605 | 48,600 | 506.7 | 2400 | 900 | |
| 88 | [50] | BC2HA | 130 | 160 | 180 | 57.2 | 773 | 38,000 | 241.28 | 1500 | 500 |
| 89 | BC2VA | 130 | 160 | 180 | 97.4 | 773 | 38,000 | 241.28 | 1500 | 500 | |
| 90 | BC4NB | 130 | 140 | 180 | 46.2 | 773 | 38,000 | 504.14 | 1500 | 500 | |
| 91 | BC4HA | 130 | 140 | 180 | 53.9 | 773 | 38,000 | 504.14 | 1500 | 500 | |
| 92 | BC4VA | 130 | 140 | 180 | 93.5 | 773 | 38,000 | 504.14 | 1500 | 500 | |
| 93 | [51] | G-1 | 130 | 210 | 230 | 41.6 | 778 | 54,000 | 175 | 1900 | 1500 |
| 94 | C-0-1 | 130 | 210 | 230 | 41.6 | 1875 | 178,000 | 175 | 1900 | 1500 | |
| 95 | [52] | 40#2-0.5 | 100 | 127.8 | 150 | 40 | 732 | 37,500 | 63.4 | 2000 | 667 |
| 96 | 40#3-1.0 | 100 | 126.2 | 150 | 40 | 1764 | 55,600 | 142.6 | 2000 | 667 | |
| 97 | 40#4-2.0 | 100 | 124.7 | 150 | 40 | 1605 | 48,600 | 253.4 | 2000 | 667 | |
| 98 | 80#2-0.5 | 100 | 127.8 | 150 | 80 | 732 | 37,500 | 63.4 | 2000 | 667 | |
| 99 | 80#3-1.0 | 100 | 126.2 | 150 | 80 | 1764 | 55,600 | 142.6 | 2000 | 667 | |
| 100 | 80#4-2.0 | 100 | 124.7 | 150 | 80 | 1605 | 48,600 | 253.4 | 2000 | 667 | |
| 101 | [53] | B1-35-12 | 200 | 262 | 300 | 35 | 1166 | 65,000 | 226 | 2700 | 500 |
| 102 | B2-35-16 | 200 | 262 | 300 | 35 | 1122 | 63,000 | 402 | 2700 | 500 | |
| 103 | B3-35-20 | 200 | 262 | 300 | 35 | 1117 | 69,000 | 628 | 2700 | 500 | |
| 104 | B4-35-25 | 200 | 262 | 300 | 35 | 1340 | 65,000 | 980 | 2700 | 500 | |
| 105 | B5-65-12 | 200 | 250 | 300 | 65 | 1166 | 65,000 | 226 | 2700 | 500 | |
| 106 | B6-65-16 | 200 | 250 | 300 | 65 | 1122 | 63,000 | 402 | 2700 | 500 | |
| 107 | B7-65-20 | 200 | 250 | 300 | 65 | 1117 | 69,000 | 628 | 2700 | 500 | |
| 108 | B8-65-25 | 200 | 250 | 300 | 65 | 1340 | 65,000 | 980 | 2700 | 500 | |
| 109 | Current study | GFRP-1 | 650 | 133.5 | 180 | 45.4 | 649.5 | 49,000 | 488 | 1800 | 600 |
| 110 | GFRP-2 | 650 | 133.5 | 180 | 45.4 | 649.5 | 49,000 | 488 | 1800 | 600 | |
| 111 | BFRP-1 | 650 | 133.5 | 180 | 45.4 | 747.0 | 50,500 | 488 | 1800 | 600 | |
| 112 | BFRP-2 | 650 | 133.5 | 180 | 45.4 | 747.0 | 50,500 | 488 | 1800 | 600 |
References
- Angst, U.; Hooton, R.; Marchand, J.; Page, C.; Flatt, R.J.; Elsener, B.; Gehlen, C.; Gulikers, J. Present and future durability challenges for reinforced concrete structures. Mater. Corros. 2012, 63, 1047–1051. [Google Scholar] [CrossRef]
- Masoud, S.; Soudki, K. Evaluation of corrosion activity in FRP repaired RC beams. Cem. Concr. Compos. 2006, 28, 969–977. [Google Scholar] [CrossRef]
- Goyal, A.; Pouya, H.S.; Ganjian, E.; Claisse, P. A review of corrosion and protection of steel in concrete. Arab. J. Sci. Eng. 2018, 43, 5035–5055. [Google Scholar] [CrossRef]
- Zhu, H.; Li, Z.; Wen, C.; Cheng, S.; Wei, Y. Prediction model for the flexural strength of steel fiber reinforced concrete beams with fiber-reinforced polymer bars under repeated loading. Compos. Struct. 2020, 250, 112609. [Google Scholar] [CrossRef]
- ACI Committee 440. Guide for the Design and Construction of Structural Concrete Reinforced with FRP Bars: ACI 440.1 R-15; American Concrete Institute: Farmington Hills, MI, USA, 2015. [Google Scholar]
- Li, J.; Xie, J.; Liu, F.; Lu, Z. A critical review and assessment for FRP-concrete bond systems with epoxy resin exposed to chloride environments. Compos. Struct. 2019, 229, 111372. [Google Scholar] [CrossRef]
- Uomoto, T.; Mutsuyoshi, H.; Katsuki, F.; Misra, S. Use of fiber reinforced polymer composites as reinforcing material for concrete. J. Mater. Civ. Eng. 2002, 14, 191–209. [Google Scholar] [CrossRef]
- Benmokrane, B.; Chaallal, O.; Masmoudi, R. Glass fibre reinforced plastic (GFRP) rebars for concrete structures. Constr. Build. Mater. 1995, 9, 353–364. [Google Scholar] [CrossRef]
- Ceroni, F.; Cosenza, E.; Gaetano, M.; Pecce, M. Durability issues of FRP rebars in reinforced concrete members. Cem. Concr. Compos. 2006, 28, 857–868. [Google Scholar] [CrossRef]
- Aydin, F. Experimental investigation of thermal expansion and concrete strength effects on FRP bars behavior embedded in concrete. Constr. Build. Mater. 2018, 163, 1–8. [Google Scholar] [CrossRef]
- Abdalla, H. Evaluation of deflection in concrete members reinforced with fibre reinforced polymer (FRP) bars. Compos. Struct. 2002, 56, 63–71. [Google Scholar] [CrossRef]
- Al-Sunna, R.; Pilakoutas, K.; Hajirasouliha, I.; Guadagnini, M. Deflection behaviour of FRP reinforced concrete beams and slabs: An experimental investigation. Compos. Part B Eng. 2012, 43, 2125–2134. [Google Scholar] [CrossRef]
- Kim, D.-J.; Lee, J.; Lee, Y.H. Effectiveness factor of strut-and-tie model for concrete deep beams reinforced with FRP rebars. Compos. Part B Eng. 2014, 56, 117–125. [Google Scholar] [CrossRef]
- Escórcio, P.; França, P.M. Experimental study of a rehabilitation solution that uses GFRP bars to replace the steel bars of reinforced concrete beams. Eng. Struct. 2016, 128, 166–183. [Google Scholar] [CrossRef]
- El-Nemr, A.; Ahmed, E.A.; El-Safty, A.; Benmokrane, B. Evaluation of the flexural strength and serviceability of concrete beams reinforced with different types of GFRP bars. Eng. Struct. 2018, 173, 606–619. [Google Scholar] [CrossRef]
- Wang, H.; Belarbi, A. Ductility characteristics of fiber-reinforced-concrete beams reinforced with FRP rebars. Constr. Build. Mater. 2011, 25, 2391–2401. [Google Scholar] [CrossRef]
- Maranan, G.; Manalo, A.; Benmokrane, B.; Karunasena, W.; Mendis, P. Evaluation of the flexural strength and serviceability of geopolymer concrete beams reinforced with glass-fibre-reinforced polymer (GFRP) bars. Eng. Struct. 2015, 101, 529–541. [Google Scholar] [CrossRef]
- Murthy, A.R.; Pukazhendhi, D.; Vishnuvardhan, S.; Saravanan, M.; Gandhi, P. Performance of concrete beams reinforced with GFRP bars under monotonic loading. In Structures; Elsevier: Amsterdam, The Netherlands, 2020; pp. 1274–1288. [Google Scholar] [CrossRef]
- Ashour, A. Flexural and shear capacities of concrete beams reinforced with GFRP bars. Constr. Build. Mater. 2006, 20, 1005–1015. [Google Scholar] [CrossRef]
- Bonacci, J.; Maalej, M. Behavioral trends of RC beams strengthened with externally bonded FRP. J. Compos. Constr. 2001, 5, 102–113. [Google Scholar] [CrossRef]
- Barris, C.; Torres, L.; Turon, A.; Baena, M.; Catalan, A. An experimental study of the flexural behaviour of GFRP RC beams and comparison with prediction models. Compos. Struct. 2009, 91, 286–295. [Google Scholar] [CrossRef]
- Mousavi, S.R.; Esfahani, M.R. Effective moment of inertia prediction of FRP-reinforced concrete beams based on experimental results. J. Compos. Constr. 2012, 16, 490–498. [Google Scholar] [CrossRef]
- Newhook, J.; Ghali, A.; Tadros, G. Concrete flexural members reinforced with fiber reinforced polymer: Design for cracking and deformability. Can. J. Civ. Eng. 2002, 29, 125–134. [Google Scholar] [CrossRef]
- Pirayeh Gar, S. Structural Performance of a Full-Depth Precast Bridge Deck System Prestressed and Reinforced with AFRP Bars. Ph.D. Thesis, Texas A&M University, College Station, TX, USA, 2012. [Google Scholar]
- ACI Committee 318. Building Code Requirements for Structural Concrete (ACI 318-08) and Commentary; American Concrete Institute: Farmington Hills, MI, USA, 2008. [Google Scholar]
- Branson, D.E. Instantaneous and Time-Dependent Deflections of Simple and Continuous Reinforced Concrete Beams; State Highway Department: Montgomery, AL, USA, 1963.
- Nawy, E.G.; Neuwerth, G.E. Fiberglass reinforced concrete slabs and beams. J. Struct. Div. 1977, 103, 421–440. [Google Scholar] [CrossRef]
- Benmokrane, B.; Masmoudi, R. Flexural response of concrete beams reinforced with FRP reinforcing bars. Struct. J. 1996, 93, 46–55. [Google Scholar] [CrossRef]
- Toutanji, H.A.; Saafi, M. Flexural behavior of concrete beams reinforced with glass fiber-reinforced polymer (GFRP) bars. Struct. J. 2000, 97, 712–719. [Google Scholar] [CrossRef]
- Hall, T.; Ghali, A. Long-term deflection prediction of concrete members reinforced with glass fibre reinforced polymer bars. Can. J. Civ. Eng. 2000, 27, 890–898. [Google Scholar] [CrossRef]
- ISIS Canada. Design Manual No. 4: Strengthening Reinforced Concrete Structures with Externally-Bonded Fiber Reinforced Polymers; Intelligent Sensing for Innovative Structures: Winnipeg, MB, Canada, 2001. [Google Scholar]
- ACI Committee 440. Guide for the Design and Construction of Concrete Reinforced with FRP Bars, ACI 440.1 R-03; American Concrete Institute: Farmington Hills, MI, USA, 2003. [Google Scholar]
- Yost, J.R.; Gross, S.P.; Dinehart, D.W. Effective moment of inertia for glass fiber-reinforced polymer-reinforced concrete beams. Struct. J. 2003, 100, 732–739. [Google Scholar] [CrossRef]
- ACI Committee 440. Guide for the Design and Construction of Concrete Reinforced with FRP Bars, ACI 440.1 R-06; American Concrete Institute: Farmington Hills, MI, USA, 2006. [Google Scholar]
- Rafi, M.M.; Nadjai, A. Evaluation of ACI 440 deflection model for fiber-reinforced polymer reinforced concrete beams and suggested modification. ACI Struct. J. 2009, 106, 762. [Google Scholar]
- Bischoff, P.H. Reevaluation of deflection prediction for concrete beams reinforced with steel and fiber reinforced polymer bars. J. Struct. Eng. 2005, 131, 752–767. [Google Scholar] [CrossRef]
- Bischoff, P.H. Deflection calculation of FRP reinforced concrete beams based on modifications to the existing Branson equation. J. Compos. Constr. 2007, 11, 4–14. [Google Scholar] [CrossRef]
- Bischoff, P.H.; Gross, S.P. Equivalent moment of inertia based on integration of curvature. J. Compos. Constr. 2011, 15, 263–273. [Google Scholar] [CrossRef]
- Nguyen, H.D.; Zhang, Q.; Choi, E.; Duan, W. An improved deflection model for FRP RC beams using an artificial intelligence-based approach. Eng. Struct. 2020, 219, 110793. [Google Scholar] [CrossRef]
- Aiello, M.A.; Ombres, L. Load-deflection analysis of FRP reinforced concrete flexural members. J. Compos. Constr. 2000, 4, 164–171. [Google Scholar] [CrossRef]
- Erfan, A.M.; Hassan, H.E.; Hatab, K.M.; El-Sayed, T.A. The flexural behavior of nano concrete and high strength concrete using GFRP. Constr. Build. Mater. 2020, 247, 118664. [Google Scholar] [CrossRef]
- Ju, M.; Oh, H.; Lim, J.; Sim, J. A modified model for deflection calculation of reinforced concrete beam with deformed GFRP rebar. Int. J. Polym. Sci. 2016, 2016, 2485825. [Google Scholar] [CrossRef]
- Rafi, M.M.; Nadjai, A.; Ali, F.; Talamona, D. Aspects of behaviour of CFRP reinforced concrete beams in bending. Constr. Build. Mater. 2008, 22, 277–285. [Google Scholar] [CrossRef]
- Toutanji, H.; Deng, Y. Deflection and crack-width prediction of concrete beams reinforced with glass FRP rods. Constr. Build. Mater. 2003, 17, 69–74. [Google Scholar] [CrossRef]
- El Refai, A.; Abed, F.; Al-Rahmani, A. Structural performance and serviceability of concrete beams reinforced with hybrid (GFRP and steel) bars. Constr. Build. Mater. 2015, 96, 518–529. [Google Scholar] [CrossRef]
- Alsayed, S.; Al-Salloum, Y.; Almusallam, T. Performance of glass fiber reinforced plastic bars as a reinforcing material for concrete structures. Compos. Part B Eng. 2000, 31, 555–567. [Google Scholar] [CrossRef]
- Khorasani, A.M.; Esfahani, M.R.; Sabzi, J. The effect of transverse and flexural reinforcement on deflection and cracking of GFRP bar reinforced concrete beams. Compos. Part B Eng. 2019, 161, 530–546. [Google Scholar] [CrossRef]
- Yoon, Y.-S.; Yang, J.-M.; Min, K.-H.; Shin, H.-O. Flexural strength and deflection characteristics of high-strength concrete beams with hybrid FRP and steel bar reinforcement. Spec. Publ. 2011, 275, 1–22. [Google Scholar] [CrossRef]
- Saleh, Z.; Sheikh, M.N.; Remennikov, A.M.; Basu, A. Numerical investigations on the flexural behavior of GFRP-RC beams under monotonic loads. Structures 2019, 20, 255–267. [Google Scholar] [CrossRef]
- Theriault, M.; Benmokrane, B. Effects of FRP reinforcement ratio and concrete strength on flexural behavior of concrete beams. J. Compos. Constr. 1998, 2, 7–16. [Google Scholar] [CrossRef]
- Thamrin, R.; Kaku, T.; Imai, T. Flexural and bond behavior of reinforced concrete beam with FRP Rods. In Proceedings of the Engineering Theoretical Mechanics, Bali, Indonesia, 18–19 March 2002; pp. 469–478. [Google Scholar]
- Goldston, M.; Remennikov, A.; Sheikh, M.N. Experimental investigation of the behaviour of concrete beams reinforced with GFRP bars under static and impact loading. Eng. Struct. 2016, 113, 220–232. [Google Scholar] [CrossRef]
- Abdelkarim, O.I.; Ahmed, E.A.; Mohamed, H.M.; Benmokrane, B. Flexural strength and serviceability evaluation of concrete beams reinforced with deformed GFRP bars. Eng. Struct. 2019, 186, 282–296. [Google Scholar] [CrossRef]
- Geem, Z.W.; Kim, J.H.; Loganathan, G.V. A new heuristic optimization algorithm: Harmony search. Simulation 2001, 76, 60–68. [Google Scholar] [CrossRef]
Disclaimer/Publisher’s Note: The statements, opinions and data contained in all publications are solely those of the individual author(s) and contributor(s) and not of MDPI and/or the editor(s). MDPI and/or the editor(s) disclaim responsibility for any injury to people or property resulting from any ideas, methods, instructions or products referred to in the content. |
© 2023 by the authors. Licensee MDPI, Basel, Switzerland. This article is an open access article distributed under the terms and conditions of the Creative Commons Attribution (CC BY) license (https://creativecommons.org/licenses/by/4.0/).