Differential Energy Criterion for Brittle Fracture: Conceptualization and Application to the Analysis of Axial and Lateral Deformation in Uniaxial Compression of Rocks
Abstract
1. Introduction
2. Conceptual Aspects, Methodology and Results
2.1. Preliminary Remarks
2.2. Research Hypothesis
2.3. Estimates of the Undamaged and Damaged Area Depending on the Strain
2.4. Degradation of the Cross-Sectional Area
2.5. Justification of the Load–Displacement Relation in Uniaxial Compression
2.6. Justification of the Stress–Strain Relation in Uniaxial Compression
2.7. Previous Models of the Class under Discussion
2.8. Pre- and Post-Peak Modulus of Elasticity
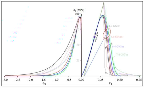
2.9. Comparison of Simulation Results and Experimental Data
2.10. The Point of Maximum Modulus of Elasticity on the Ascending Branch of the Stress–Strain Curve as the Point of Highest Density of a Brittle Material
2.11. The Concept of Virtual Material Transformation
2.12. Relationship between and , Strength Condition and Fracture Point Coordinates
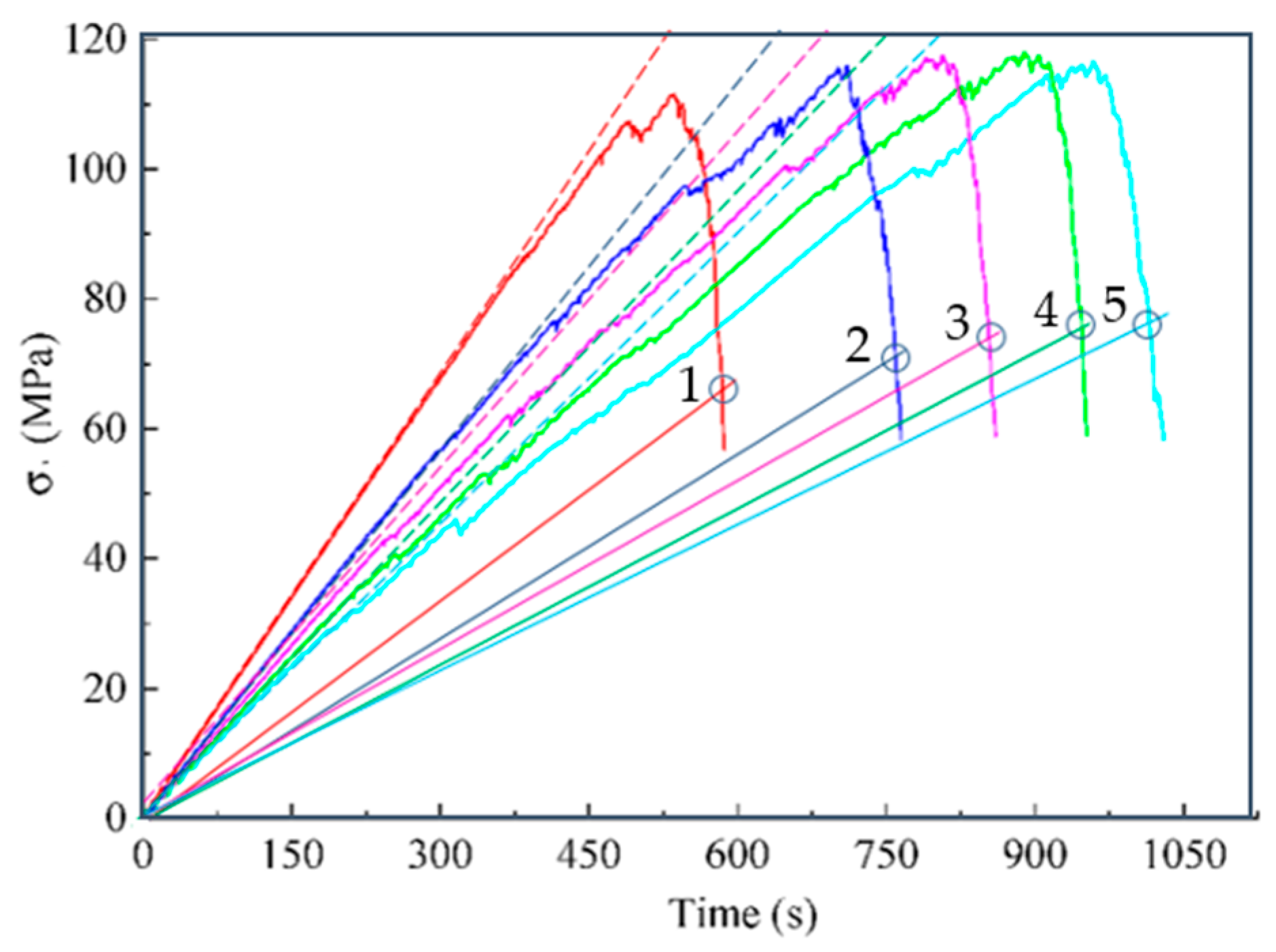
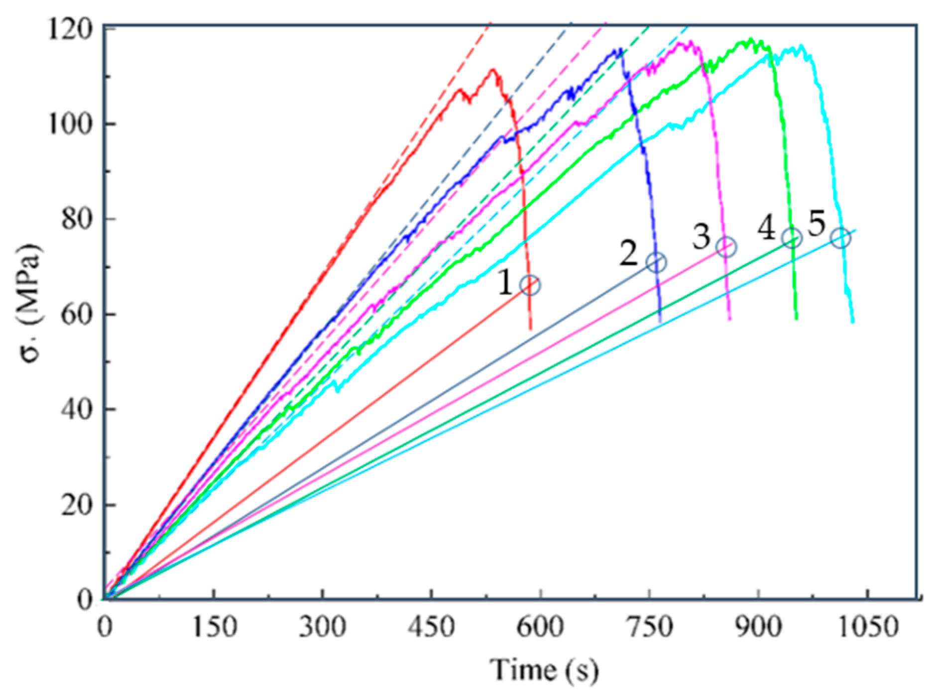
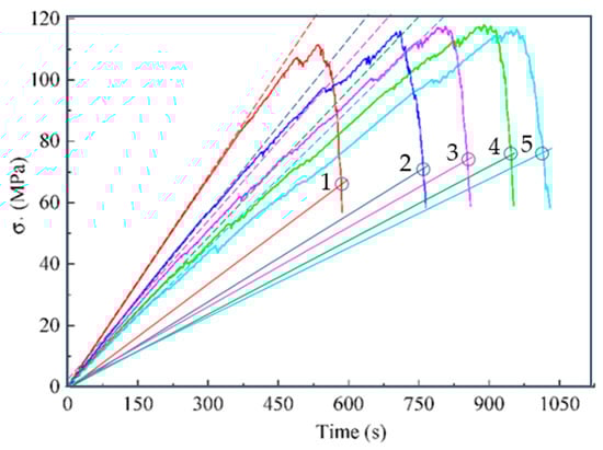
2.13. Graphic Definition of the Brittle Fracture Point
- On the pre-peak branch, determine the point that corresponds to the largest tangential modulus of elasticity (the point 1 in Figure 8).
- Draw a tangent through point 1 and define point 2.
- From any point (for example, point 3) on the tangent, draw a perpendicular to the abscissa axis. Find point 4.
- Define point 5 as the midpoint of segment 3–4.
- Draw a line through points 2 and 5. The point of intersection of this line with the post-peak branch of the stress–strain curve simulates the point of failure; this is point 6 in Figure 8.
3. Discussion
4. Conclusions
- The hypothesis of the study was formulated (1): the damage to the cross-sectional area is proportional to the undamaged part of the area and to displacement (strain).
- In a logical connection with the research hypothesis (1), the residual resource function of the cross-sectional area (3) is justified.
- The question of analytical determination of the highest (pre-peak) and lowest (post-peak) values of the modulus of elasticity is considered. Equations (20) and (21) for calculating the coordinates and values (18) of these moduli are obtained. Examples of determining the pre-peak and post-peak modulus of elasticity in uniaxial compression of marble are given (Table 3).
Author Contributions
Funding
Institutional Review Board Statement
Informed Consent Statement
Data Availability Statement
Conflicts of Interest
Nomenclature
| cross-sectional area of the specimen. | |
| model parameter. | |
| damage variable. | |
| Young’s modulus. | |
| EMC | concept of equivalent material [12]. |
| Force (or Load). | |
| FMC | concept of fictitious material [13]. |
| model parameter. | |
| displacement. | |
| peak displacement. | |
| dissipated energy. | |
| stored energy. | |
| strain. | |
| strain in fracture point. | |
| peak strain. | |
| stress. | |
| stress in fracture point. | |
| peak stress. | |
| θ | undamaged part of the original cross-sectional area. |
References
- Zhang, Y.; Gao, G.; Yan, S.; Yao, X.; Liu, X.; Liang, P.; Xu, Y. The Meso-Structural Characteristics of Crack Generation and Propagation during Rock Fracturing. Minerals 2022, 12, 94. [Google Scholar] [CrossRef]
- Ren, Y.; Sun, Y.; Meng, X. Multi-scale structural characteristics and the damage evolution mechanism of rock under load. Mater. Lett. 2023, 331, 133430. [Google Scholar] [CrossRef]
- Xie, Y.; Hou, M.Z.; Li, C. Anisotropic characteristics of acoustic emission and the corresponding multifractal spectrum during progressive failure of shale under cyclic loading. Int. J. Rock Mech. Min. Sci. 2023, 165, 105364. [Google Scholar] [CrossRef]
- Sun, L.; Jiang, Z.; Long, Y.; Ji, Q.; Wang, Z.; Fan, Y.; Hao, Y. Influence of Mesoscopic Parameters of Weakly Cemented Rocks on Macroscopic Mechanical Properties. Sustainability 2022, 14, 13308. [Google Scholar] [CrossRef]
- Fang, Z.; Wu, W. Laboratory friction-permeability response of rock fractures: A review and new insights. Geomech. Geophys. Geo-Energ. Geo-Resour. 2022, 8, 15. [Google Scholar] [CrossRef]
- Stojković, N.; Perić, D.; Stojić, D.; Marković, N. New stress–strain model for concrete at high temperatures. Teh. Vjesn. 2017, 24, 863–868. [Google Scholar]
- Wang, S.; Cai, X.; Zhou, J.; Song, Z.; Li, X. Analytical, Numerical and Big-Data-Based Methods in Deep Rock Mechanics. Mathematics 2022, 10, 3403. [Google Scholar] [CrossRef]
- Yu, M.H. Advances in strength theories for materials under complex stress state in the 20th Century. Appl. Mech. Rev. 2002, 55, 169. [Google Scholar] [CrossRef]
- Qu, R.T.; Zhang, Z.J.; Zhang, P.; Liu, Z.Q.; Zhang, Z.F. Generalized energy failure criterion. Sci. Rep. 2016, 6, 23359. [Google Scholar] [CrossRef]
- Lazzarin, P.; Zambardi, R. A finite-volume-energy based approach to predict the static and fatigue behavior of components with sharp V-shaped notches. Int. J. Fract. 2001, 112, 275–298. [Google Scholar] [CrossRef]
- Li, T.; Pei, X.; Wang, D.; Huang, R.; Tang, H. Nonlinear behavior and damage model for fractured rock under cyclic loading based on energy dissipation principle. Eng. Fract. Mech. 2019, 206, 330–341. [Google Scholar] [CrossRef]
- Torabi, A.R. Estimation of tensile load-bearing capacity of ductile metallic materials weakened by a V-notch: The equivalent material concept. Mater. Sci. Eng. A 2012, 536, 249–255. [Google Scholar] [CrossRef]
- Torabi, A.R.; Kamyab, M. The fictitious material concept. Eng. Fract. Mech. 2019, 209, 17–31. [Google Scholar] [CrossRef]
- Sánchez, M.; Cicero, S.; Arrieta, S.; Martínez, V. Fracture Load Predictions in Additively Manufactured ABS U-Notched Specimens Using Average Strain Energy Density Criteria. Materials 2022, 15, 2372. [Google Scholar] [CrossRef] [PubMed]
- Cicero, S.; Fuentes, J.D.; Torabi, A.R. Using the Equivalent Material Concept and the Average Strain Energy Density to Analyse the Fracture Behaviour of Structural Materials. Appl. Sci. 2020, 10, 1601. [Google Scholar] [CrossRef]
- Torabi, A.R.; Rahimi, A.S.; Ayatollahi, M.R. Elastic-plastic fracture assessment of CNT-reinforced epoxy/nanocomposite specimens weakened by U-shaped notches under mixed mode loading. Comp. Part B Eng. 2019, 176, 107114. [Google Scholar] [CrossRef]
- Askaripour, M.; Saeidi, A.; Mercier-Langevin, P.; Rouleau, A. A Review of Relationship between Texture Characteristic and Mechanical Properties of Rock. Geotechnics 2022, 2, 262–296. [Google Scholar] [CrossRef]
- Si, X.; Luo, S.; Luo, Y. A Review of Mechanical Properties and Rockburst Investigation of Transversely Isotropic Rocks by Experimental Technique. Materials 2023, 16, 3183. [Google Scholar] [CrossRef] [PubMed]
- Yang, B.; Elmo, D. Why Engineers Should Not Attempt to Quantify GSI. Geosciences 2022, 12, 417. [Google Scholar] [CrossRef]
- Guerriero, V.; Mazzoli, S. Theory of Effective Stress in Soil and Rock and Implications for Fracturing Processes: A Review. Geosciences 2021, 11, 119. [Google Scholar] [CrossRef]
- Guo, J.; Sun, W.; Xu, Y.; Lin, W.; Jing, W. Damage Mechanism and Modeling of Concrete in Freeze–Thaw Cycles: A Review. Buildings 2022, 12, 1317. [Google Scholar] [CrossRef]
- Kolesnikov, G.; Shekov, V. Energy Criterion for Fracture of Rocks and Rock-like Materials on the Descending Branch of the Load–Displacement Curve. Materials 2022, 15, 7907. [Google Scholar] [CrossRef] [PubMed]
- Sedmak, A. Computational fracture mechanics: An overview from early efforts to recent achievements. Fatigue Fract. Eng. Mater. Struct. 2018, 41, 2438–2474. [Google Scholar] [CrossRef]
- Gong, F.; Zhang, P.; Du, K. A Novel Staged Cyclic Damage Constitutive Model for Brittle Rock Based on Linear Energy Dissipation Law: Modelling and Validation. Rock Mech. Rock Eng. 2022, 55, 6249–6262. [Google Scholar] [CrossRef]
- Zok, F.W. On weakest link theory and Weibull statistics. J. Am. Ceram. Soc. 2017, 100, 1265–1268. [Google Scholar] [CrossRef]
- Zhao, L.; Cui, Z.; Peng, R.; Si, K. Numerical Simulation and Evaluation on Continuum Damage Models of Rocks. Energies 2022, 15, 6806. [Google Scholar] [CrossRef]
- Ahmed, Z.; Wang, S.; Hashmi, M.Z.; Zishan, Z.; Chengjin, Z. Causes, characterization, damage models, and constitutive modes for rock damage analysis: A review. Arab. J. Geosci. 2020, 13, 806. [Google Scholar] [CrossRef]
- Xu, X.; Ma, S.; Xia, M.; Ke, F.; Bai, Y. Damage Evaluation and Damage Localization of Rock. Theor. Appl. Fract. Mech. 2004, 42, 131–138. [Google Scholar] [CrossRef]
- Zhang, H.; Meng, X.; Liu, X. Establishment of constitutive model and analysis of damage characteristics of frozen-thawed rock under load. Arab. J. Geosci. 2021, 14, 1277. [Google Scholar] [CrossRef]
- Walley, S.M.; Rogers, S.J. Is Wood a Material? Taking the Size Effect Seriously. Materials 2022, 15, 5403. [Google Scholar] [CrossRef] [PubMed]
- Blagojević, M.; Pešić, D.; Mijalković, M.; Glišović, S. Jedinstvena funkcija za opisivanje naprezanja i deformacije betona u požaru. Građevinar 2011, 63, 19–24. Available online: https://hrcak.srce.hr/clanak/96329 (accessed on 14 July 2022).
- Kolesnikov, G.; Zaitseva, M.; Petrov, A. Analytical Model with Independent Control of Load–Displacement Curve Branches for Brittle Material Strength Prediction Using Pre-Peak Test Loads. Symmetry 2022, 14, 2089. [Google Scholar] [CrossRef]
- Hou, P.Y.; Cai, M. Post-Peak Stress–Strain Curves of Brittle Hard Rocks Under Different Loading Environment System Stiffness. Rock Mech. Rock Eng. 2022, 55, 3837–3857. [Google Scholar] [CrossRef]
- Kolesnikov, G.; Meltser, R. A Damage Model to Trabecular Bone and Similar Materials: Residual Resource, Effective Elasticity Modulus, and Effective Stress under Uniaxial Compression. Symmetry 2021, 13, 1051. [Google Scholar] [CrossRef]
- Wang, C.; Zuo, C.; Zhao, Z. Evolution Model of Coal Failure Using Energy Dissipation under Cyclic Loading/Unloading. Appl. Sci. 2023, 13, 5797. [Google Scholar] [CrossRef]
- Li, X.; Yao, Z.; Liu, X.; Huang, X. Energy Evolution and Damage Mechanism of Fractured Sandstone with Different Angles. Energies 2022, 15, 1518. [Google Scholar] [CrossRef]
- Zhong, P.; Li, J.; Zhou, X.; Xiao, H.; Yue, S.; Zhang, P.; Wang, Y. Study of Energy Evolution Law and Damage Characteristics during Uniaxial Cyclic Loading and Unloading of Sandstone. Appl. Sci. 2022, 12, 9985. [Google Scholar] [CrossRef]
- Wang, J.; Zhang, C.; Song, W.; Zhang, Y. The Energy Dissipation, AE Characteristics, and Microcrack Evolution of Rock–Backfill Composite Materials (RBCM). Minerals 2022, 12, 482. [Google Scholar] [CrossRef]
- Katarov, V.; Syunev, V.; Kolesnikov, G. Analytical Model for the Load-Bearing Capacity Analysis of Winter Forest Roads: Experiment and Estimation. Forests 2022, 13, 1538. [Google Scholar] [CrossRef]
- Zhao, K.; Wu, W.; Zeng, P.; Gong, C. Study on the Characteristics of Acoustic Emission Quiet Period in Rocks with Different Elastic Modulus. Minerals 2022, 12, 956. [Google Scholar] [CrossRef]
- Meltser, R.; Vasiliev, S.; Kolesnikov, G.; Zaharov, N. Uniaxial compression of dry wood: Experiment and modeling. E3S Web Conf. 2023, 389, 01050. [Google Scholar] [CrossRef]
- Sathish Kumar, V.; Ganesan, N.; Indira, P.V.; Murali, G.; Vatin, N.I. Behaviour of Hybrid Fibre-Reinforced Ternary Blend Geopolymer Concrete Beam-Column Joints under Reverse Cyclic Loading. Polymers 2022, 14, 2239. [Google Scholar] [CrossRef] [PubMed]
- Meng, Q.; Chen, Y.; Zhang, M.; Han, L.; Pu, H.; Liu, J. On the Kaiser Effect of Rock under Cyclic Loading and Unloading Conditions: Insights from Acoustic Emission Monitoring. Energies 2019, 12, 3255. [Google Scholar] [CrossRef]
- Askouni, P.K. The Effect of Sequential Excitations on Asymmetrical Reinforced Concrete Low-Rise Framed Structures. Symmetry 2023, 15, 968. [Google Scholar] [CrossRef]










| Specimen Number | Input Data | Calibration Parameters | ||
|---|---|---|---|---|
(%) | (MPa) | |||
| 1 | 0.268 | 95.6 | 9.5 | 1.3 |
| 2 | 0.270 | 95.8 | 8.0 | 1.3 |
| 3 | 0.274 | 96.3 | 7.0 | 1.3 |
| 4 | 0.279 | 96.4 | 6.0 | 1.3 |
| Specimen Number | Input Data | Calibration Parameters | |||
|---|---|---|---|---|---|
| Poisson’s Ratio ν | (%) | (MPa) | |||
| 1 | 0.2 | −0.0536 | 95.6 | 1.00 | 0.10 |
| 2 | 0.2 | −0.0540 | 95.8 | 1.05 | 0.20 |
| 3 | 0.2 | −0.0548 | 96.3 | 1.08 | 0.20 |
| 4 | 0.2 | −0.0578 | 96.4 | 1.15 | 0.20 |
| Specimen Number | Pre-Peak Module | Post-Peak Module | ||||
|---|---|---|---|---|---|---|
| E (GPa) | (%) | (MPa) | (GPa) | (%) | (MPa) | |
| 1 | 46.1 (46.8) 1 | 0.183 | 66.67 | −133.34 | 0.336 | 45.85 |
| 2 | 45.9 (44.7) | 0.175 | 63.89 | −112.48 | 0.346 | 47.18 |
| 3 | 45.7 (44.6) | 0.169 | 61.83 | −98.05 | 0.359 | 48.47 |
| 4 | 45.2 (45.5) | 0.163 | 59.01 | −83.21 | 0.374 | 49.81 |
Disclaimer/Publisher’s Note: The statements, opinions and data contained in all publications are solely those of the individual author(s) and contributor(s) and not of MDPI and/or the editor(s). MDPI and/or the editor(s) disclaim responsibility for any injury to people or property resulting from any ideas, methods, instructions or products referred to in the content. |
© 2023 by the authors. Licensee MDPI, Basel, Switzerland. This article is an open access article distributed under the terms and conditions of the Creative Commons Attribution (CC BY) license (https://creativecommons.org/licenses/by/4.0/).
Share and Cite
Shekov, V.; Kolesnikov, G. Differential Energy Criterion for Brittle Fracture: Conceptualization and Application to the Analysis of Axial and Lateral Deformation in Uniaxial Compression of Rocks. Materials 2023, 16, 4875. https://doi.org/10.3390/ma16134875
Shekov V, Kolesnikov G. Differential Energy Criterion for Brittle Fracture: Conceptualization and Application to the Analysis of Axial and Lateral Deformation in Uniaxial Compression of Rocks. Materials. 2023; 16(13):4875. https://doi.org/10.3390/ma16134875
Chicago/Turabian StyleShekov, Vitali, and Gennady Kolesnikov. 2023. "Differential Energy Criterion for Brittle Fracture: Conceptualization and Application to the Analysis of Axial and Lateral Deformation in Uniaxial Compression of Rocks" Materials 16, no. 13: 4875. https://doi.org/10.3390/ma16134875
APA StyleShekov, V., & Kolesnikov, G. (2023). Differential Energy Criterion for Brittle Fracture: Conceptualization and Application to the Analysis of Axial and Lateral Deformation in Uniaxial Compression of Rocks. Materials, 16(13), 4875. https://doi.org/10.3390/ma16134875

