Static and Fatigue Behaviour of Double-Lap Adhesive Joints and Notched Metal Samples Reinforced by Composite Overlays
Abstract
:1. Introduction
2. Materials and Methods
2.1. Materials and Samples
- steel S355J2+N (U.S. Steel Košice, Košice, Slovak Republic),
- R-glass/epoxy composite HEXCEL TVR 380 with stacking sequence [+45°/−45°]4 (HEXCEL Corporation, Stamford, CT, USA),
- E-glass woven roving/Epidian 601 (R&G Faserverbundwerkstoffe GmbH, Waldenbuch, Germany),
- carbon S&P C-Laminate 150/2000 (S&P Clever Reinforcement Company AG, Seewen, Switzerland).
2.2. Theoretical Solution of Double-Lap Joint
- Shear stresses are constant through the thickness of the adhesive joint;
- Linear and elastic material model;
- Deformation of adhesive is caused only by shear stress;
- Deformation of adherends is caused only by tension;
- Bending moments and peel stresses are neglected.
- For x = 0: N2 = 0;
- For x = L: N2 = F/2;
2.3. FEM Models
3. Results
3.1. Double-Lap Joints
3.1.1. Static Tensile Test of Double-Lap Joint
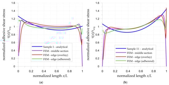
3.1.2. FEM and Analytical Calculations of Double-Lap Joint
3.1.3. Fatigue Tensile Tests of Double-Lap Joint
3.2. Notched Steel Samples Reinforced by Composite Overlays
3.2.1. Static Tensile Test
3.2.2. Fatigue Tensile Tests of Notched Samples Reinforced by Composite Overlays
4. Discussion
5. Conclusions
- −
- The static tensile strengths of double-lap joints with the same adhesive area were similar for samples with overlays made of different materials and thicknesses; however, the fatigue strength of adhesive in double-lap joint strongly depends on the stiffness of the adherend–overlays arrangement,
- −
- The analytical formulation used for the calculations of the shear stresses in double-lap joints shows good agreement with the numerical solution,
- −
- The application of the DIC system reveals good convergence with the FEM solution and enables the determination of the strain concentrations at the notches,
- −
- The application of the overlays increases load-carrying capacity under static tensile loading conditions,
- −
- The fatigue strength of the notched samples can be significantly increased by the application of the overlays. However, the weakest point of such a joint is the steel/adhesive connection,
- −
- The fatigue strength of the adhesive joint can be increased by increasing the adhesively bonded area. However, additional technological treatments (i.e., chamfering of the overlays) are necessary to reduce peel stresses at the ends of the joint.
Author Contributions
Funding
Institutional Review Board Statement
Informed Consent Statement
Data Availability Statement
Conflicts of Interest
Nomenclature
| Abbreviations | |
| CFRP | carbon-fibre-reinforced plastics, |
| DIC | digital image correlation, |
| DLJ | double-lap joint, |
| FEM | finite element method, |
| GFRP | glass-fibre-reinforced plastics, |
| Variables | |
| A0, A1, A2 | constants of theoretical solution of DLJ, |
| b | width of sample, |
| C1, C2 | stiffness of adherend and overlap, respectively, |
| E | Young stiffness modulus, |
| F | applied tensile force, |
| Fmax | maximal applied value of tensile force during fatigue test, |
| fu | ultimate tensile strength, |
| v | tensile speed, |
| G | shear modulus, |
| g0 | adhesive thickness, |
| g1 | adherend thickness, |
| g2 | overlap thickness, |
| i | number of samples |
| Kt | stress concentration factor, |
| L | length of one side of DLJ joint, |
| Lsp | space between inner parts of DLJ, |
| N1, N2 | forces in adherend and overlaps in particular cross-section, respectively, |
| Nf | number of cycles to failure, |
| R | stress ratio, |
| ux | elongation of sample in tension direction, |
| YeH | Yield limit, |
| εTOT | total strain of sample in tension direction, |
| εx | major strain in tension direction, |
| εx,over,cent | strain in middle cross-section of overlap, |
| ν | Poisson’s ratio, |
| δinc | ratio of increase of fatigue life of reinforced sample in relation to not reinforced one, |
| θ | fibre angle orientation in layers with respect to tension direction, |
| σ | peel stress in adhesive, |
| τ | shear stress in adhesive, |
| τadh | adhesive shear strength, |
| τavg | average shear stress in adhesive, |
| τavg,FAT | maximal applied value of average adhesive shear stress during fatigue test, |
| γ | shear deformation. |
References
- Muc, A.; Romanowicz, P. Effect of notch on static and fatigue performance of multilayered composite structures under tensile loads. Compos. Struct. 2017, 178, 27–36. [Google Scholar] [CrossRef]
- Deng, J.; Jia, Y.; Zheng, H. Theoretical and experimental study on notched steel beams strengthened with CFRP plate. Compos. Struct. 2016, 136, 450–459. [Google Scholar] [CrossRef]
- Hu, L.L.; Zhao, X.L.; Feng, P. Fatigue Behavior of Cracked High-Strength Steel Plates Strengthened by CFRP Sheets. J. Compos. Constr. 2016, 20, 04016043. [Google Scholar] [CrossRef]
- Wang, Z.Y.; Wang, Q.Y.; Li, L.; Zhang, N. Fatigue behavior of CFRP strengthened open-hole steel plates. Thin-Walled Struct. 2017, 115, 176–187. [Google Scholar] [CrossRef]
- Wang, Z.Y.; Zhang, T.; Li, X.; Wang, Q.Y.; Huang, W.; Shen, M. Characterization of the effect of CFRP reinforcement on the fatigue strength of aluminum alloy plates with fastener holes. Eng. Struct. 2018, 177, 739–752. [Google Scholar] [CrossRef]
- Wang, Y.; Zheng, Y.; Li, J.; Zhang, L.; Deng, J. Experimental study on tensile behavior of steel plates with centre hole strengthened by CFRP plates under marine environment. Int. J. Adhes. Adhes. 2018, 84, 18–26. [Google Scholar] [CrossRef]
- Aljabar, N.J.; Zhao, X.L.; Al-Mahaidi, R.; Ghafoori, E.; Motavalli, M.; Koay, Y.C. Experimental investigation on the CFRP strengthening efficiency of steel plates with inclined cracks under fatigue loading. Eng. Struct. 2018, 172, 877–890. [Google Scholar] [CrossRef]
- Ye, H.; Shuai, C.; Zhang, X.; Xu, X.; Ummenhofer, T. Determination of S-N fatigue curves for damaged steel plates strengthened with prestressed CFRP plates under tension loading. Eng. Struct. 2018, 175, 669–677. [Google Scholar] [CrossRef]
- Romanowicz, P.J.; Szybiński, B.; Wygoda, M. Preliminary Experimental and Numerical Study of Metal Element with Notches Reinforced by Composite Materials. J. Compos. Sci. 2021, 5, 134. [Google Scholar] [CrossRef]
- Çalık, A. Effect of Adherend Shape on Stress Concentration Reduction of Adhesively Bonded Single Lap Joint. Eng. Rev. 2016, 36, 29–34. [Google Scholar]
- Muc, A.; Chwał, M.; Romanowicz, P.; Stawiarski, A. Fatigue-Damage Evolution of Notched Composite Multilayered Structures under Tensile Loads. J. Compos. Sci. 2018, 2, 27. [Google Scholar] [CrossRef] [Green Version]
- Romanowicz, P.; Muc, A. Estimation of Notched Composite Plates Fatigue Life Using Residual Strength Model Calibrated by Step-Wise Tests. Materials 2018, 11, 2180. [Google Scholar] [CrossRef] [PubMed] [Green Version]
- Braun, M.; Fischer, C.; Baumgartner, J.; Hecht, M.; Varfolomeev, I. Fatigue Crack Initiation and Propagation Relation of Notched Specimens with Welded Joint Characteristics. Metals 2022, 12, 615. [Google Scholar] [CrossRef]
- Muc, A.; Barski, M.; Chwał, M.; Romanowicz, P.; Stawiarski, A. Fatigue damage growth monitoring for composite structures with holes. Compos. Struct. 2018, 189, 117–126. [Google Scholar] [CrossRef]
- Romanowicz, P.J.; Szybiński, B.; Wygoda, M. Application of DIC Method in the Analysis of Stress Concentration and Plastic Zone Development Problems. Materials 2020, 13, 3460. [Google Scholar] [CrossRef]
- Pilkey, W.D.; Pilkey, D.F. Peterson’s Stress Concentration Factors, 3rd ed.; John Wiley & Sons, Inc.: Hoboken, NJ, USA, 2008. [Google Scholar]
- Kirsch, E.G. Die Theorie der Elastizität und die Bedürfnisse der Festigkeitslehre. Z. Des Ver. Dtsch. Ing. 1898, 42, 797–807. [Google Scholar]
- Szybiński, B.; Romanowicz, P.; Zieliński, A.P. Numerical and experimental analysis of stress and strains in flat ends of high-pressure vessels. Key Eng. Mater. 2011, 490, 226–236. [Google Scholar] [CrossRef]
- Tavakkolizadeh, M.; Saadatmanesh, H. Fatigue Strength of Steel Girders Strengthened with Carbon Fiber Reinforced Polymer Patch. J. Struct. Eng. 2003, 129, 186–196. [Google Scholar] [CrossRef] [Green Version]
- Łagoda, M.; Kowal, M. CFRP composite materials strengthening of flat steel elements to reduce the stresses in the steel. Struct. Environ. 2014, 6, 5–11. [Google Scholar]
- Hu, L.; Feng, P.; Zhao, X.L. Fatigue design of CFRP strengthened steel members. Thin-Walled Struct. 2017, 119, 482–498. [Google Scholar] [CrossRef]
- Jeandrau, J.P.; Peyrac, C.; Lefebvre, F. Fatigue behaviour of adhesive joints. Procedia Eng. 2015, 133, 508–517. [Google Scholar] [CrossRef] [Green Version]
- Chataigner, S.; Wahbeh, M.; Garcia-Sanchez, D.; Benzarti, K.; Birtel, V.; Fischer, M.; Sopeña, L.; Boundouki, R.; Lehmann, F.; Martín, E.; et al. Fatigue Strengthening of Steel Bridges with Adhesively Bonded CFRP Laminates: Case Study. J. Compos. Constr. 2020, 24, 05020002. [Google Scholar] [CrossRef]
- Wang, L.; Zhang, Y.; Liu, Y. Experimental investigation on flexural behaviors of cyclic overloading PRC beams strengthened with prestressed CFRP fabric. Structures 2021, 33, 2713–2723. [Google Scholar] [CrossRef]
- Tafsirojjaman, T.; Fawzia, S.; Thambiratnam, D.P. Structural behaviour of CFRP strengthened beam-column connections under monotonic and cyclic loading. Structures 2021, 33, 2689–2699. [Google Scholar] [CrossRef]
- European Cooperation for Space Standardization. A Space Engineering Adhesive Bonding Handbook; ECSS-E-HB-32-21, ESA Requirements and Standards Division; ECSS: Noordwijk, The Netherlands, 2011. [Google Scholar]
- Hulimka, J.; Kałuża, M. Preliminary tests of steel-to-steel adhesive joints. Procedia Eng. 2017, 172, 385–392. [Google Scholar] [CrossRef]
- Tsai, M.Y.; Morton, J. An investigation into the stresses in double-lap adhesive joints with laminated composite adherends. Int. J. Solids Struct. 2010, 47, 3317–3325. [Google Scholar] [CrossRef] [Green Version]
- Diharjo, K.; Anwar, M.; Tarigan, R.A.P.; Rivai, A. Effect of Adhesive Thickness and Surface Treatment on Shear Strength on Single Lap Joint Al/CFRP using Adhesive of Epoxy/Al Fine Powder; 6th Nanoscience and Nanotechnology Symposium (NNS2015); AIP Publishing LLC: Melville, NY, USA, 2016. [Google Scholar]
- Wei, K.; Chen, Y.; Li, M.; Yang, X. Strength and Failure Mechanism of Composite-Steel Adhesive Bond Single Lap Joints. Adv. Mater. Sci. Eng. 2018, 1, 5810180. [Google Scholar] [CrossRef] [Green Version]
- Quini, J.G.; Marinucci, G. Polyurethane Structural Adhesives Applied in Automotive Composite Joints. Mater. Res. 2012, 15, 434–439. [Google Scholar] [CrossRef] [Green Version]
- Davis, M.J.; McGregor, A. Assesing Adhesive Bond Failures: Mixed-Mode Bond Failures Explained. Adhes. Assoc. 2010, 1–12. [Google Scholar]
- Davis, M.J.; Bond, D.A. The Importance of Failure Mode Identification in Adhesive Bonded Aircraft Structures and Repairs. In Proceedings of the 12th International Conference on Composite Materials, Paris, France, 5–9 July 1999. [Google Scholar]
- Nasr Saleh, M.; Saeedifar, M.; Zarouchas, D.; De Freitas, S.F. Stress analysis of double-lap bi-material joints bonded with thick adhesive. Int. J. Adhes. Adhes. 2020, 97, 102480. [Google Scholar] [CrossRef]
- da Silva, L.F.M.; Ochsner, A.; Adams, R.D. Design Rules and Methods to Improve Joint Strength. In Handbook of Adhesion Technology; Springer: Berlin/Heidelberg, Germany, 2011; pp. 690–720. [Google Scholar]
- Bocciarelli, M.; Colombi, P.; Fava, G.; Poggi, C. Fatigue performance of tensile steel members strengthened with CFRP plates. Compos. Struct. 2009, 87, 334–343. [Google Scholar] [CrossRef]
- Dobrzański, P.; Oleksiak, W. Design and analysis methods for composite bonded joints. Trans. Aerosp. Res. 2021, 262, 45–63. [Google Scholar] [CrossRef]
- Gursel, A.; Mohamad, A.A.; Nazeri, M.F.M. Adhesion Mechanism and Failure Modes in Adhesively Bonded Joints. In Proceedings of the 4th International Conference on Material Science and Technology, Ankara, Turkey, 18–20 October 2019. [Google Scholar]
- Volkersen, O. Die Nietkraftverteilung in Zugbeanspruchten Nietverbindungen Mit Konstanten Laschenquerschnitten. Luftfahrtforschung 1938, 15, 41–47. [Google Scholar]
- Goland, M.; Reissner, E. Stresses in Cemented Joints. J. Appl. Mech. 1944, 11, 4–47. [Google Scholar] [CrossRef]
- da Silva, L.F.M.; das Neves, P.J.C.; Adams, R.D.; Spelt, J.K. Analytical Models of Adhesively Bonded Joints—Part I: Literature Survey. Int. J. Adhes. Adhes. 2009, 29, 319–330. [Google Scholar] [CrossRef]
- Tong, L.; Luo, Q. Analytical Approach. In Handbook of Adhesion Technology; da Silva, L.F.M., Öchsner, A., Adams, R.D., Eds.; Springer International Publishing: Cham, Switzerland, 2018; pp. 665–700. [Google Scholar]
- Zhao, B.; Lu, Z.-H.; Lu, Y.-N. Closed-Form Solutions for Elastic Stress–Strain Analysis in Unbalanced Adhesive Single-Lap Joints Considering Adherend Deformations and Bond Thickness. Int. J. Adhes. Adhes. 2011, 31, 434–445. [Google Scholar] [CrossRef]
- da Silva, L.F.M.; das Neves, P.J.C.; Adams, R.D.; Wang, A.; Spelt, J.K. Analytical Models of Adhesively Bonded Joints—Part II: Comparative Study. Int. J. Adhes. Adhes. 2009, 29, 331–341. [Google Scholar] [CrossRef]
- Areiza-Hurtado, M.; Vega-Posada, C.A.; Aristizabal-Ochoa, J.D. A novel linear matrix method to analyze adhesive joints. Compos. Struct. 2019, 226, 111193. [Google Scholar] [CrossRef]
- Hart-Smith, L.J. NASA-CR-112236; Adhesive Bonded Single Lap Joints. NASA: Washington, DC, USA, 1973.
- Hart-Smith, L.J. NASA-CR-112235; Adhesive Bonded Double-Lap Joints. NASA: Washington, DC, USA, 1973.
- Orcesi, A.D.; Feraille, A.; Chataigner, S. Fatigue strengthening of steel structures using high modulus CFRP plates: Development of a life—cycle analysis approach. Constr. Build. Mater. 2019, 227, 116628. [Google Scholar] [CrossRef]
- EN 10025-2:2004; Hot Rolled Products of Structural Steels—Part 2: Technical Delivery Conditions for Non-Alloy Structural Steels. European Committee for Standardization: Brussels, Belgium, 2004.
- Romanowicz, P. Experimental and numerical estimation of the damage level in multilayered composite plates. Mater. Werkst. 2018, 49, 591–605. [Google Scholar] [CrossRef]
- Nowak, T. Analiza pracy statycznej zginanych belek drewnianych wzmacnianych przy użyciu CFRP. Rap. Inst. Bud. PWroc. 2007, 4, 190. [Google Scholar]
- Products. Available online: https://www.sp-reinforcement.eu/en-EU/products (accessed on 20 February 2022).
- GOM Software 2018 Hotfix 1. Available online: www.gom.com (accessed on 26 September 2018).
- Szybiński, B.; Romanowicz, P.J. Optimization of Flat Ends in Pressure Vessels. Materials 2019, 12, 4194. [Google Scholar] [CrossRef] [PubMed] [Green Version]
- Romanowicz, P.J.; Szybiński, B. Determination of Optimal Flat-End Head Geometries for Pressure Vessels Based on Numerical and Experimental Approaches. Materials 2021, 14, 2520. [Google Scholar] [CrossRef] [PubMed]
- Ansys Software. Available online: www.ansys.com (accessed on 20 November 2021).

























| Chemical Components of S355J2+N Steel (in Weight %) | |||||||||
|---|---|---|---|---|---|---|---|---|---|
| Material | C | Si | Mn | P | S | Cu | Al | Cr | Fe |
| S355J2+N (tested material) [9] | 0.19 | 0.20 | 0.99 | 0.012 | 0.01 | 0.03 | 0.04 | 0.02 | res. |
| S355J2, Standards [49] | 0.20–0.22 | 0.55 | 1.60 | 0.025 | 0.025 | 0.55 | - | - | res. |
| Steel | |||||||
|---|---|---|---|---|---|---|---|
| Material | E [GPa] | ν | YeH [MPa] | fu [MPa] | |||
| S355J2+N | 210 | 0.3 | Min 355 | 470–630 | |||
| Composites | |||||||
| Material | E1 [GPa] | E2 [GPa] | G12 [GPa] | G23 [GPa] | ν1 | ν2 | fu [MPa] |
| HEXCEL TVR 380 M12/26%/R-glass/epoxy [+45°/−45°]4 [9,12] | 46.43 | 14.92 | 5.23 | 9.15 | 0.269 | 0.3 | 141.8 |
| E-glass woven roving/Epidian 601 [50] | 16.8 | 16.8 | 3.4 | 3.4 | 0.14 | 0.14 | 220 |
| S&P C-Laminate 150/2000 [51] | 165 | 10 | 5 | 5 | 0.3 | 0.3 | 2800 |
| Adhesive | |||||||
| Material | E [GPa] | ν | τadh [MPa] | Adhesion steel to steel (tensile strength) [MPa] | |||
| S&P Resin 220 Epoxy Adhesive [52] | 7.1 | 0.35 | 26 | 14 | |||
| Sample Number i | Geometry | Type of Tension Load | Overlay Material | Overlay Thickness g2 in mm | Loading Conditions 1 |
|---|---|---|---|---|---|
| First series of experimental tests—double lap-joint (DLJ) samples | |||||
| 1 | Figure 1 | Static | S355J2+N | 4 | v = 0.5 mm/min |
| 2–10 | Figure 1 | Fatigue | S355J2+N | 4 | R = 0.1, 9 samples tested, τavg,FAT = 18.4, 14.9, 13.6, 13.6, 13.5, 13.4, 12.9, 12.0, 10.4 MPa |
| 11 | Figure 1 | Static | S&P C-Laminate 150/2000 | 1.4 | v = 0.5 mm/min |
| 12–15 | Figure 1 | Fatigue | S&P C-Laminate 150/2000 | 1.4 | R = 0.1, 4 samples tested, τavg,FAT = 11.0, 10.4, 7.5, 6.0 MPa |
| Second series of experimental tests—notched steel samples reinforced by composite overlays | |||||
| 16 | Figure 2a | Static | without | - | v = 0.5 mm/min |
| 17 | Figure 2a | Fatigue | without | - | Fmax = 44.1 kN, R = 0.1 |
| 18 | Figure 2b | Static | HEXCEL TVR 380 [+45°/−45°]4 | 2.1 | v = 0.5 mm/min |
| 19 | Figure 2b | Fatigue | HEXCEL TVR 380 [+45°/−45°]4 | 2.1 | Fmax = 44.1 kN, R = 0.1 |
| 20 | Figure 2b | Fatigue | E-glass woven roving | 2.1 | Fmax = 44.1 kN, R = 0.1 |
| 21 | Figure 2b | Fatigue | S&P C-Laminate 150/2000 | 1.4 | Fmax = 44.1 kN, R = 0.1 |
| 22 | Figure 2c | Fatigue | S&P C-Laminate 150/2000 | 1.4 | Fmax = 44.1 kN, R = 0.1 |
| Sample Number i | Overlay Material | Fatigue Life Nf (in Cycles) | Failure Form | |
|---|---|---|---|---|
| 17 | without | 34,303 | 1 | - |
| 19 | HEXCEL TVR 380 [+45°/−45°]4 | 95,377 | 2.7 | Slight fibre/matrix debonding around notches and adhesive failure of bonded joint—Figure 23a |
| 20 | E-glass woven roving | 61,910 | 1.8 | Adhesive failure of bonded joint—Figure 23b |
| 21 | S&P C-Laminate 150/2000 | 66,250 | 1.9 | Overlay failure and adhesive failure of bonded joint—Figure 23c |
| 22 | S&P C-Laminate 150/2000 | 242,500 | 7.1 | Adhesive failure of bonded joint—Figure 23d |
| Overlay Dimensions in (mm) | Kt (−) | θ | Corresponding Sample Number i |
|---|---|---|---|
| Without Overlay | |||
| - | 2.508 | - | 17 |
| Rectangular Patch | |||
| Size (45 × 45) | 2.183 | [+45°/−45°]4 | 19 |
| Size (45 × 45) | 2.014 | [0°]8 | 21 |
| Size (180 × 15) | 1.366 | [0°]8 | 22 |
Publisher’s Note: MDPI stays neutral with regard to jurisdictional claims in published maps and institutional affiliations. |
© 2022 by the authors. Licensee MDPI, Basel, Switzerland. This article is an open access article distributed under the terms and conditions of the Creative Commons Attribution (CC BY) license (https://creativecommons.org/licenses/by/4.0/).
Share and Cite
Romanowicz, P.J.; Szybiński, B.; Wygoda, M. Static and Fatigue Behaviour of Double-Lap Adhesive Joints and Notched Metal Samples Reinforced by Composite Overlays. Materials 2022, 15, 3233. https://doi.org/10.3390/ma15093233
Romanowicz PJ, Szybiński B, Wygoda M. Static and Fatigue Behaviour of Double-Lap Adhesive Joints and Notched Metal Samples Reinforced by Composite Overlays. Materials. 2022; 15(9):3233. https://doi.org/10.3390/ma15093233
Chicago/Turabian StyleRomanowicz, Paweł J., Bogdan Szybiński, and Mateusz Wygoda. 2022. "Static and Fatigue Behaviour of Double-Lap Adhesive Joints and Notched Metal Samples Reinforced by Composite Overlays" Materials 15, no. 9: 3233. https://doi.org/10.3390/ma15093233
APA StyleRomanowicz, P. J., Szybiński, B., & Wygoda, M. (2022). Static and Fatigue Behaviour of Double-Lap Adhesive Joints and Notched Metal Samples Reinforced by Composite Overlays. Materials, 15(9), 3233. https://doi.org/10.3390/ma15093233

