Atomic Layer Deposition of Ultrathin La2O3/Al2O3 Nanolaminates on MoS2 with Ultraviolet Ozone Treatment
Abstract
:1. Introduction
2. Materials and Methods
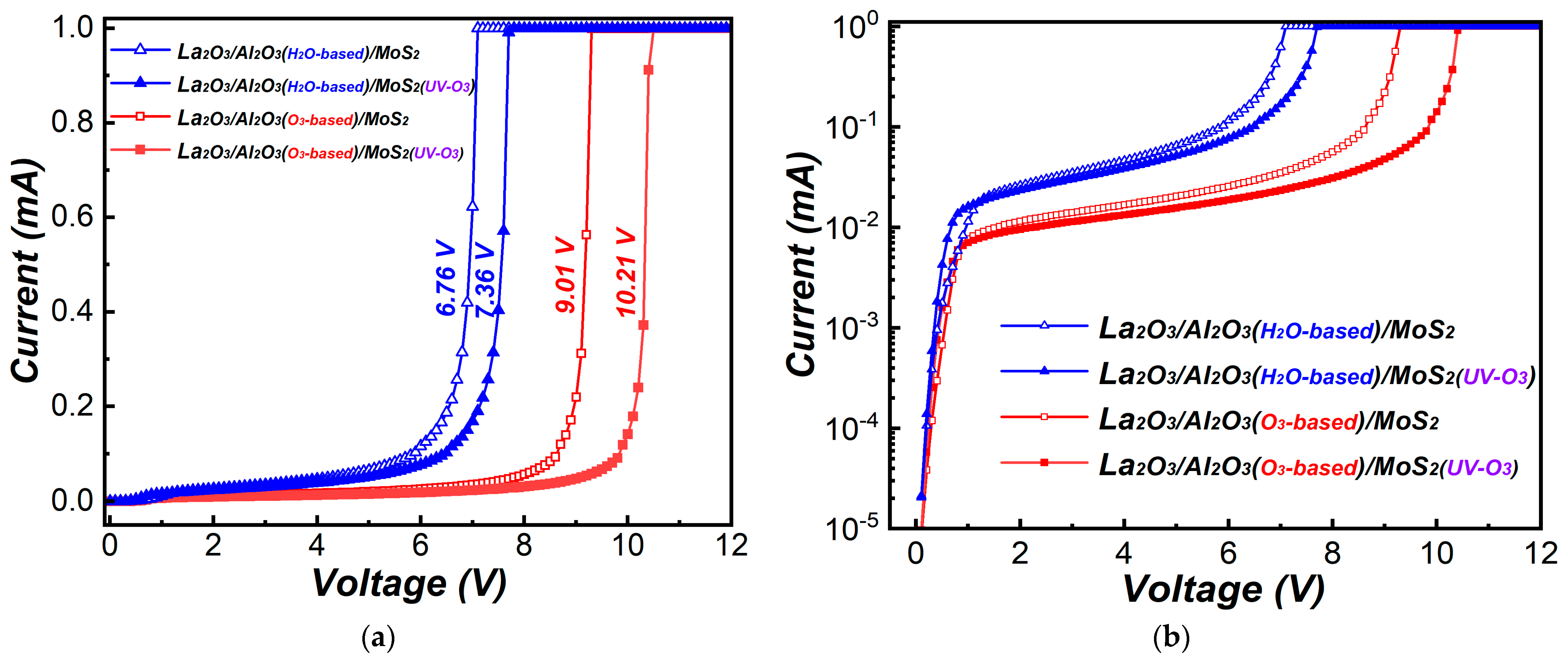
3. Results and Discussion
4. Conclusions
Author Contributions
Funding
Institutional Review Board Statement
Informed Consent Statement
Data Availability Statement
Conflicts of Interest
References
- Maurand, R.; Jehl, X.; Kotekar-Patil, D.; Corna, A.; Bohuslavskyi, H.; Laviéville, R.; Hutin, L.; Barraud, S.; Vinet, M.; Sanquer, M.; et al. A CMOS silicon spin qubit. Nat. Commun. 2016, 7, 13575. [Google Scholar] [CrossRef] [PubMed]
- Auth, C.; Aliyarukunju, A.; Asoro, M.; Bergstrom, D.; Bhagwat, V.; Birdsall, J.; Bisnik, N.; Buehler, M.; Chikarmane, V.; Ding, G.; et al. A 10 nm High Performance and Low-Power CMOS Technology Featuring 3rd Generation FinFET Transistors, Self-Aligned Quad Patterning, Contact over Active Gate and Cobalt Local Interconnects. In Proceedings of the 2017 IEEE International Electron Devices Meeting (IEDM), San Francisco, CA, USA, 2–6 December 2017; pp. 29.21.21–29.21.24. [Google Scholar]
- Gong, C.; Zhang, Y.; Chen, W.; Chu, J.; Lei, T.; Pu, J.; Dai, L.; Wu, C.; Cheng, Y.; Zhai, T.; et al. Electronic and Optoelectronic Applications Based on 2D Novel Anisotropic Transition Metal Dichalcogenides. Adv. Sci. 2017, 4, 1700231. [Google Scholar] [CrossRef]
- Samadi, M.; Sarikhani, N.; Zirak, M.; Zhang, H.; Zhang, H.-L.; Moshfegh, A.Z. Group 6 transition metal dichalcogenide nanomaterials: Synthesis, applications and future perspectives. Nanoscale Horiz. 2017, 3, 90–204. [Google Scholar] [CrossRef] [PubMed]
- Nourbakhsh, A.; Zubair, A.; Sajjad, R.N.; Amir Tavakkoli, K.G.; Chen, W.; Fang, S.; Ling, X.; Kong, J.; Dresselhaus, M.S.; Kaxiras, E.; et al. MoS2 Field-Effect Transistor with Sub-10 nm Channel Length. Nano Lett. 2016, 16, 7798–7806. [Google Scholar] [CrossRef] [PubMed]
- Singh, E.; Singh, P.; Kim, K.; Yeom, G.Y.; Nalwa, H.S. Flexible molybdenum disulfide (MoS2) atomic layers for wearable electronics and optoelectronics. ACS Appl. Mater. Interfaces 2019, 11, 11061–11105. [Google Scholar] [CrossRef]
- Li, W.; Zhou, J.; Cai, S.; Yu, Z.; Zhang, J.; Fang, N.; Li, T.; Wu, Y.; Chen, T.; Xie, X.; et al. Uniform and ultrathin high-κ gate dielectrics for two-dimensional electronic devices. Nat. Electron. 2019, 2, 563–571. [Google Scholar] [CrossRef]
- Joo, M.; Yun, Y.; Ji, H.; Suh, D. Coulomb scattering mechanism transition in 2D layered MoTe2: Effect of high-kappa passivation and Schottky barrier height. Nanotechnology 2019, 30, 035206. [Google Scholar] [CrossRef]
- Li, N.; Wei, Z.; Zhao, J.; Wang, Q.; Shen, C.; Wang, S.; Tang, J.; Yang, R.; Shi, D.; Zhang, G. Atomic Layer Deposition of Al2O3 Directly on 2D Materials for High-Performance Electronics. Adv. Mater. Interfaces 2019, 6, 1802055. [Google Scholar] [CrossRef]
- Park, T.; Kim, H.; Leem, M.; Ahn, W.; Choi, S.; Kim, J.; Uh, J.; Kwon, K.; Jeong, S.-J.; Park, S.; et al. Atomic Layer Deposition of Al2O3 on MoS2, WS2, WSe2, and h-BN: Surface Coverage and Adsorption Energy. RSC Adv. 2017, 7, 884–889. [Google Scholar] [CrossRef] [Green Version]
- Kim, H.G.; Lee, H. Atomic Layer Deposition on 2D Materials. Chem. Mater. 2017, 9, 3809–3826. [Google Scholar] [CrossRef]
- Price, K.M.; Schauble, K.E.; McGuire, F.A.; Farmer, D.B.; Franklin, A.D. Uniform Growth of Sub-5-Nanometer High-κ Dielectrics on MoS2 Using Plasma-Enhanced Atomic Layer Deposition. ACS Appl. Mater. Interfaces 2017, 9, 23072–23080. [Google Scholar] [CrossRef]
- Yang, J.; Kim, S.; Choi, W.; Park, S.H.; Jung, Y.; Cho, M.H.; Kim, H. Improved growth behavior of atomic-layer-deposited high-κ dielectrics on multilayer MoS2 by oxygen plasma pretreatment. ACS Appl. Mater. Interfaces 2013, 5, 4739–4744. [Google Scholar] [CrossRef] [PubMed]
- Zhang, H.; Arutchelvan, G.; Meersschaut, J.; Gaur, A.; Conard, T.; Bender, H.; Lin, D. MoS2 functionalization with a sub-nm thin SiO2 layer for atomic layer deposition of high-κ dielectrics. Chem. Mater. 2017, 29, 6772–6780. [Google Scholar] [CrossRef]
- Park, S.; Kim, S.Y.; Choi, Y.; Kim, M.; Shin, H.; Kim, J.; Choi, W. Interface properties of atomic-layer-deposited Al2O3 thin films on Ultraviolet/Ozone-treated multilayer MoS2 crystals. ACS Appl. Mater. Interfaces 2016, 8, 11189–11193. [Google Scholar] [CrossRef] [PubMed]
- Huang, B.; Zheng, M.; Zhao, Y.; Wu, J.; Thong, J.T.L. Atomic Layer Deposition of High-Quality Al2O3 Thin Films on MoS2 with Water Plasma Treatment. ACS Appl. Mater. Interfaces 2019, 11, 35438–35443. [Google Scholar] [CrossRef]
- Fujitsuka, R.; Sakashita, M.; Sakai, A.; Ogawa, M.; Zaima, S.; Yasuda, Y. Thermal stability and electrical properties of (La2O3)1–x(Al2O3)x composite films. Jpn. J. Appl. Phys. 2005, 44, 2428–2432. [Google Scholar] [CrossRef]
- Zhao, L.; Liu, H.; Wang, X.; Feng, X.; Fei, C. Band alignments of O3-based and H2O-based amorphous LaAlO3 films on silicon by atomic layer deposition. J. Mater. Sci. Mater. Electron. 2017, 28, 803–807. [Google Scholar] [CrossRef]
- Singh, R.; Tripathi, S. Structural and optical properties of few-layer MoS2 thin films grown on various substrates using RF sputtering process. J. Mater. Sci. Mater. Electron. 2019, 30, 7665–7680. [Google Scholar] [CrossRef]
- Cheng, L.; Qin, X.; Lucero, A.T.; Azcatl, A.; Huang, J.; Wallace, R.M.; Cho, K.; Kim, J. Atomic Layer Deposition of a High-k Dielectric on MoS2 Using Trimethylaluminum and Ozone. ACS Appl. Mater. Interfaces 2014, 6, 11834–11838. [Google Scholar] [CrossRef] [Green Version]
- Iglesias, V.; Wu, Q.; Porti, M.; Nafría, M.; Bersuker, G.; Cordes, A. Monitoring defects in III–V materials: A nanoscale CAFM study. Microelectron. Eng. 2015, 147, 31–36. [Google Scholar] [CrossRef] [Green Version]
- Xiang, J.; Ding, Y.; Du, L.; Xu, C.; Li, T.; Wang, X.; Li, J.; Zhao, C. Investigation of N Type Metal TiAlC by Thermal Atomic Layer Deposition Using TiCl4 and TEA as Precursors. ECS J. Solid State Sci. Technol. 2016, 5, P299–P303. [Google Scholar] [CrossRef]
- Kraut, E.A.; Grant, R.W.; Waldrop, J.R.; Kowalczyk, S.P. Semiconductor core-level to valence-band maximum binding-energy differences: Precise determination by x-ray photoelectron spectroscopy. Phys. Rev. B 1983, 28, 1965–1977. [Google Scholar] [CrossRef]
- Liu, X.; He, J.; Tang, D.; Liu, Q.; Wen, J.; Yu, W.; Lu, Y.; Zhu, D.; Liu, W.; Cao, P.; et al. Band alignment of atomic layer deposited high-k Al2O3/multilayer MoS2 interface determined by X-ray photoelectron spectroscopy. J. Alloys Compd. 2015, 650, 502–507. [Google Scholar] [CrossRef]
- Qasrawi, A.F.; Gasanly, N.M. Refractive index, static dielectric constant, energy band gap and oscillator parameters of Ga2SeS single crystals. Phys. Status Solidi 2007, 204, 3165–3169. [Google Scholar] [CrossRef]
- Pelloquin, S.; Saintgirons, G.; Baboux, N.; Albertini, D.; Hourani, W.; Penuelas, J.; Grenet, G.; Plossu, C.; Hollinger, G. LaAlO3/Si capacitors: Comparison of different molecular beam deposition conditions and their impact on electrical properties. J. Appl. Phys. 2013, 113, 247–250. [Google Scholar] [CrossRef]
- Mak, K.F.; Lee, C.; Hone, J.; Shan, J.; Heinz, T.F. Atomically thin MoS2: A new direct-gap semiconductor. Phys. Rev. Lett. 2010, 105, 136805. [Google Scholar] [CrossRef] [PubMed] [Green Version]
- Ravariu, C. Vacuum Nano-Triode in Nothing-On-Insulator Configuration Working in Terahertz Domain. IEEE J. Electron Devices Soc. 2018, 6, 1115–1123. [Google Scholar] [CrossRef]
- Codreanu, C.; Vasile, E.; Iliescu, E.; Avram, M.; Badoiu, A.; Ravariu, C. Free carrier lifetime reduction in silicon by electron-beam irradiation. In Proceedings of the 2000 International Semiconductor Conference. 23rd Edition, Sinaia, Romania, 10–14 October 2000; pp. 255–258. [Google Scholar]
- Liu, J.-M.; Shi, G.; Yu, L.; Li, T.; Liu, Z.; Dai, J. Pulsed laser deposition of aluminate YAlO3 and LaAlO3 thin films for alternative gate dielectric applications. Appl. Phys. A 2005, 80, 1775–1779. [Google Scholar] [CrossRef]











Publisher’s Note: MDPI stays neutral with regard to jurisdictional claims in published maps and institutional affiliations. |
© 2022 by the authors. Licensee MDPI, Basel, Switzerland. This article is an open access article distributed under the terms and conditions of the Creative Commons Attribution (CC BY) license (https://creativecommons.org/licenses/by/4.0/).
Share and Cite
Fan, J.; Shi, Y.; Liu, H.; Wang, S.; Luan, L.; Duan, L.; Zhang, Y.; Wei, X. Atomic Layer Deposition of Ultrathin La2O3/Al2O3 Nanolaminates on MoS2 with Ultraviolet Ozone Treatment. Materials 2022, 15, 1794. https://doi.org/10.3390/ma15051794
Fan J, Shi Y, Liu H, Wang S, Luan L, Duan L, Zhang Y, Wei X. Atomic Layer Deposition of Ultrathin La2O3/Al2O3 Nanolaminates on MoS2 with Ultraviolet Ozone Treatment. Materials. 2022; 15(5):1794. https://doi.org/10.3390/ma15051794
Chicago/Turabian StyleFan, Jibin, Yimeng Shi, Hongxia Liu, Shulong Wang, Lijun Luan, Li Duan, Yan Zhang, and Xing Wei. 2022. "Atomic Layer Deposition of Ultrathin La2O3/Al2O3 Nanolaminates on MoS2 with Ultraviolet Ozone Treatment" Materials 15, no. 5: 1794. https://doi.org/10.3390/ma15051794
APA StyleFan, J., Shi, Y., Liu, H., Wang, S., Luan, L., Duan, L., Zhang, Y., & Wei, X. (2022). Atomic Layer Deposition of Ultrathin La2O3/Al2O3 Nanolaminates on MoS2 with Ultraviolet Ozone Treatment. Materials, 15(5), 1794. https://doi.org/10.3390/ma15051794

