Excitonic Mechanisms of Stimulated Emission in Low-Threshold ZnO Microrod Lasers with Whispering Gallery Modes
Abstract
1. Introduction
2. Materials and Methods
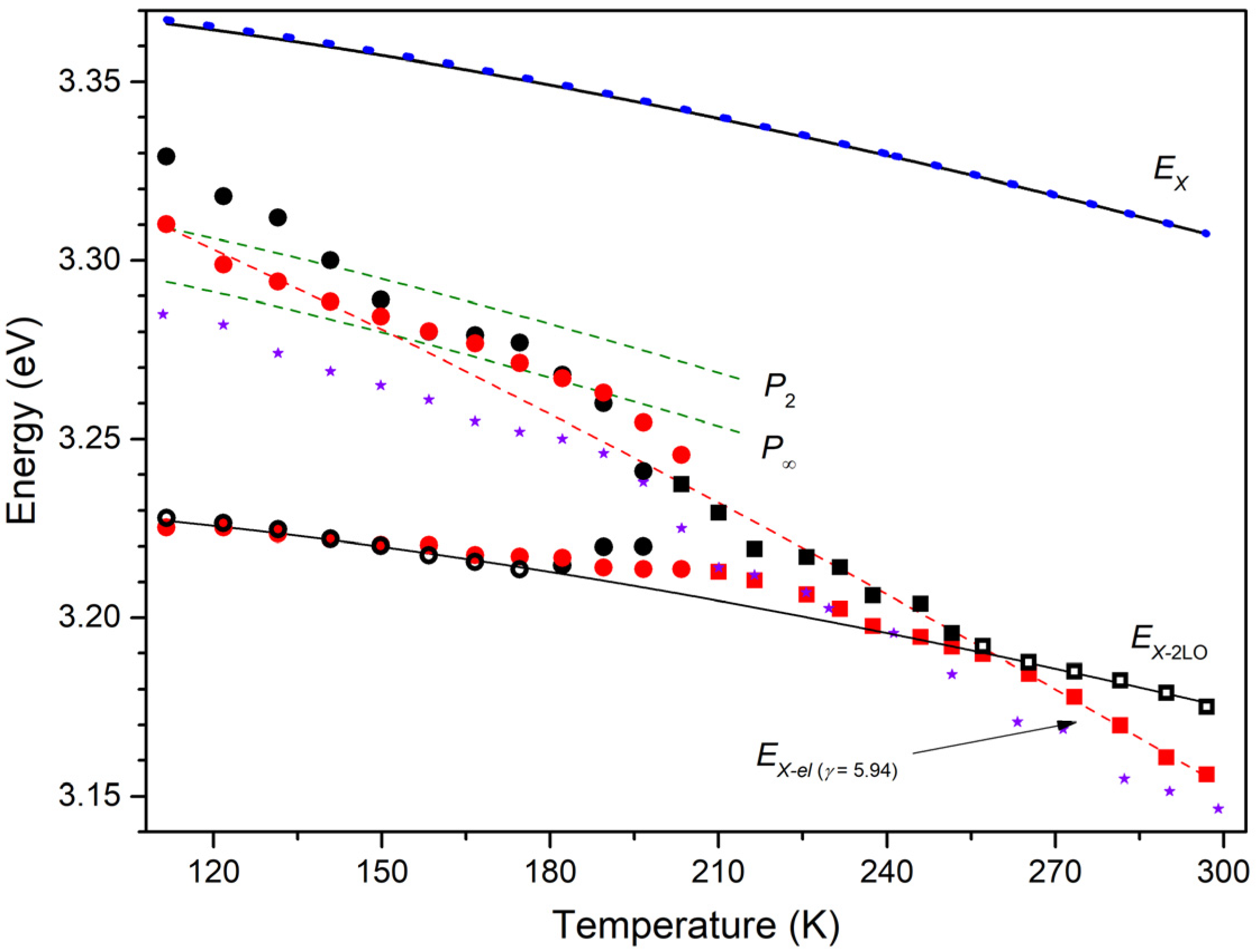
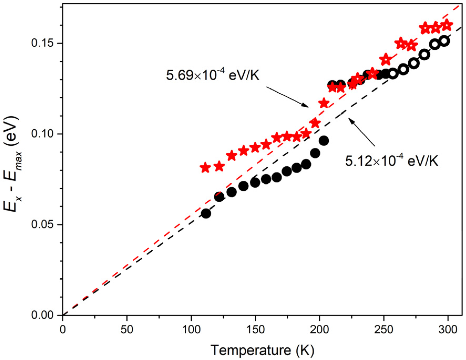
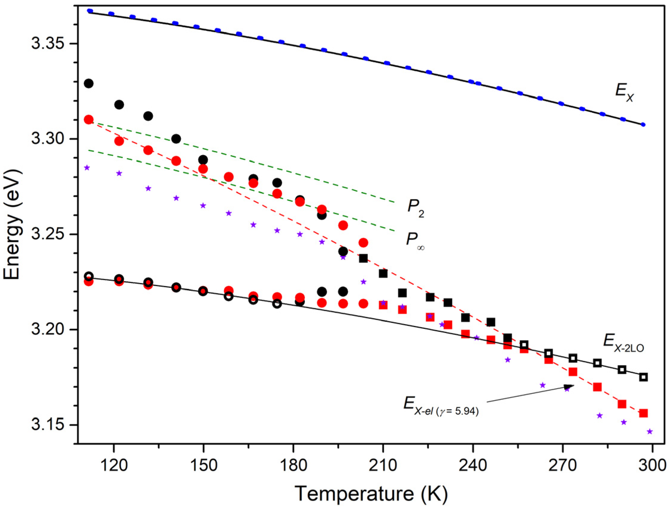
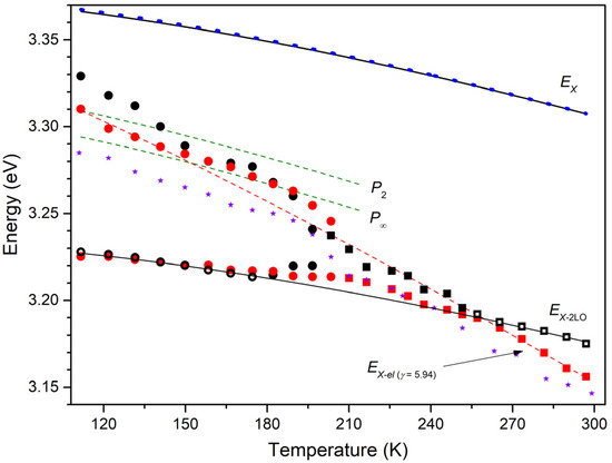
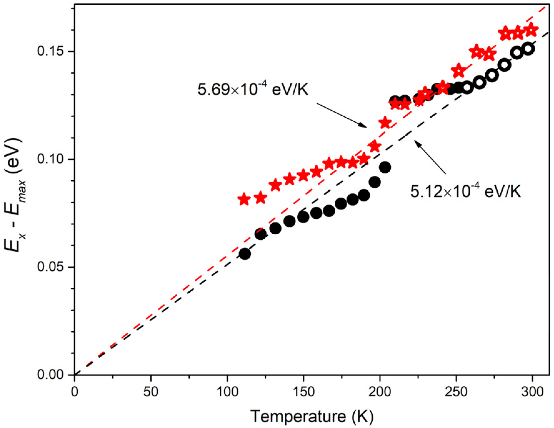
3. Results
4. Discussion
5. Conclusions
Author Contributions
Funding
Institutional Review Board Statement
Informed Consent Statement
Data Availability Statement
Acknowledgments
Conflicts of Interest
References
- Foreman, M.R.; Swaim, J.D.; Vollmer, F. Whispering gallery mode sensors. Adv. Opt. Photonics 2015, 7, 168–240. [Google Scholar] [CrossRef] [PubMed]
- Lu, Q.; Chen, X.; Fu, L.; Xie, S.; Wu, X. On-Chip Real-Time chemical sensors based on water-immersion-objective pumped whispering-gallery-mode microdisk laser. Nanomaterials 2019, 9, 479. [Google Scholar] [CrossRef]
- Yu, D.; Humar, M.; Meserve, K.; Bailey, R.C.; Chormaic, S.N.; Vollmer, F. Whispering-gallery-mode sensors for biological and physical sensing. Nat. Rev. Methods Primers 2021, 1, 1–22. [Google Scholar] [CrossRef]
- Wang, Q.J.; Yan, C.; Yu, N.; Unterhinninghofen, J.; Wiersig, J.; Pflügl, C.; Diehl, L.; Edamura, T.; Yamanishi, M.; Kan, H.; et al. Whispering-gallery mode resonators for highly unidirectional laser action. Proc. Natl. Acad. Sci. USA 2010, 107, 22407–22412. [Google Scholar] [CrossRef]
- He, L.; Özdemir, Ş.K.; Yang, L. Whispering gallery microcavity lasers. Las. Photon. Rev. 2013, 7, 60–82. [Google Scholar] [CrossRef]
- Li, B.B.; Clements, W.R.; Yu, X.C.; Shi, K.; Gong, Q.; Xiao, Y.F. Single nanoparticle detection using split-mode microcavity Raman lasers. Proc. Natl. Acad. Sci. USA 2014, 111, 14657–14662. [Google Scholar] [CrossRef]
- Humar, M.; Hyun Yun, S. Intracellular microlasers. Nat. Photonics 2015, 9, 572–576. [Google Scholar] [CrossRef]
- Morkoc, H.; Ozgur, U. Zinc Oxide: Fundamentals, Materials and Device Technology; John Wiley & Sons: Hoboken, NJ, USA, 2008; 488p. [Google Scholar]
- Klingshirn, C.F.; Meyer, B.K.; Waag, A.; Hoffmann, A.; Geurts, J. Zinc Oxide: From Fundamental Properties towards Novel Applications; Springer: Berlin, Germany, 2010; 365p. [Google Scholar]
- Kołodziejczak-Radzimska, A.; Jesionowski, T. Zinc. Oxide—From Synthesis to Application: A Review. Materials 2014, 7, 2833–2881. [Google Scholar] [CrossRef]
- Liu, W.; Li, Z.-X.; Wang, J.-J.; Shi, Z.-L. Regulation of Electroluminescent Properties of ZnO/GaN Light Emitting Diodes by Er3+ Doping. Chin. J. Lumin. 2021, 42, 863–870. [Google Scholar] [CrossRef]
- Dong, H.; Zhou, B.; Li, J.; Zhan, J.; Zhang, L. Ultraviolet lasing behavior in ZnO optical microcavities. J. Mater. 2017, 3, 255–266. [Google Scholar] [CrossRef]
- Tarasov, A.P.; Briskina, C.M.; Markushev, V.M.; Zadorozhnaya, L.A.; Lavrikov, A.S.; Kanevsky, V.M. Analysis of laser action in ZnO tetrapods obtained by carbothermal synthesis. JETP Lett. 2019, 110, 739–743. [Google Scholar] [CrossRef]
- Xu, C.; Dai, J.; Zhu, G.; Zhu, G.; Lin, Y.; Li, J.; Shi, Z. Whispering-gallery mode lasing in ZnO microcavities. Las. Photon. Rev. 2014, 8, 469–494. [Google Scholar] [CrossRef]
- Dai, J.; Xu, C.X.; Wu, P.; Guo, J.Y.; Li, Z.H.; Shi, Z.L. Exciton and electron-hole plasma lasing in ZnO dodecagonal whispering-gallery-mode microcavities at room temperature. Appl. Phys. Lett. 2010, 97, 011101. [Google Scholar] [CrossRef]
- Dai, J.; Xu, C.; Nakamura, T.; Wang, Y.; Li, J.; Lin, Y. Electron-hole plasma induced band gap renormalization in ZnO microlaser cavities. Opt Express 2014, 22, 28831. [Google Scholar] [CrossRef]
- Tarasov, A.P.; Zadorozhnaya, L.A.; Muslimov, A.E.; Briskina, C.M.; Kanevsky, V.M. Stimulated emission and lasing in polyhedral ZnO microcrystals. JETP Lett. 2021, 114, 517–523. [Google Scholar] [CrossRef]
- Dai, J.; Xu, C.X.; Sun, X.W.; Zhang, X.H. Exciton-polariton microphotoluminescence and lasing from ZnO whispering-gallery mode microcavities. Appl. Phys. Lett. 2011, 98, 161110. [Google Scholar] [CrossRef]
- Chen, R.; Ling, B.; Sun, X.W.; Sun, H.D. Room temperature excitonic whispering gallery mode lasing from high-quality hexagonal ZnO microdisks. Adv. Mater. 2011, 23, 2199–2204. [Google Scholar] [CrossRef]
- Dai, J.; Xu, C.X.; Xu, X.Y.; Li, J.T.; Guo, J.Y.; Lin, Y. Controllable fabrication and optical properties of Sn-doped ZnO hexagonal microdisk for whispering gallery mode microlaser. APL Mater. 2013, 1, 032105. [Google Scholar] [CrossRef]
- Michalsky, T.; Wille, M.; Dietrich, C.P.; Röder, R.; Ronning, C.; Schmidt-Grund, R.; Grundmann, M. Phonon-assisted lasing in ZnO microwires at room temperature. Appl. Phys. Lett. 2014, 105, 211106. [Google Scholar] [CrossRef]
- Tarasov, A.P.; Lavrikov, A.S.; Zadorozhnaya, L.A.; Kanevsky, V.M. Low-threshold whispering-gallery mode lasing in large-diameter ZnO microrods. JETP Lett. 2022, 115, 502–508. [Google Scholar] [CrossRef]
- Demyanets, L.N.; Li, L.E.; Lavrikov, A.S.; Nikitin, S.V. Nanocrystalline zinc oxide: Pyrolytic synthesis and spectroscopic characteristics. Crystallogr. Rep. 2010, 55, 142–148. [Google Scholar] [CrossRef]
- Venevtsev, I.D.; Tarasov, A.P.; Muslimov, A.E.; Gorokhova, E.I.; Zadorozhnaya, L.A.; Rodnyi, P.A.; Kanevsky, V.M. Ultraviolet luminescence of ZnO whiskers, nanowalls, multipods, and ceramics as potential materials for fast scintillators. Materials 2021, 14, 2001. [Google Scholar] [CrossRef] [PubMed]
- Czekalla, C.; Sturm, C.; Schmidt-Grund, R.; Cao, B.; Lorenz, M.; Grundmann, M. Whispering gallery mode lasing in zinc oxide microwires. Appl. Phys. Lett. 2008, 92, 241102. [Google Scholar] [CrossRef]
- Li, L.E.; Lavrikov, A.S. High-temperature lasing in ZnO microcrystallites. Cryst. Rep. 2013, 58, 899–901. [Google Scholar] [CrossRef]
- Czekalla, C.; Nobis, T.; Rahm, A.; Cao, B.; Zúñiga-Pérez, J.; Sturm, C.; Schmidt-Grund, R.; Lorenz, M.; Grundmann, M. Whispering gallery modes in zinc oxide micro-and nanowires. Phys. Status Solidi B 2010, 247, 1282–1293. [Google Scholar] [CrossRef]
- Wang, L.; Giles, N.C. Temperature dependence of the free-exciton transition energy in zinc oxide by photoluminescence excitation spectroscopy. J. Appl. Phys. 2003, 94, 973–978. [Google Scholar] [CrossRef]
- Tosi, D. Review and analysis of peak tracking techniques for fiber Bragg grating sensors. Sensors 2017, 17, 2368. [Google Scholar] [CrossRef]
- Srikant, V.; Clarke, D.R. On the optical band gap of zinc oxide. J. Appl. Phys. 1998, 83, 5447–5451. [Google Scholar] [CrossRef]
- Nakamura, T.; Firdaus, K.; Adachi, S. Electron-hole plasma lasing in a ZnO random laser. Phys. Rev. B 2012, 86, 205103. [Google Scholar] [CrossRef]
- Teke, A.; Özgür, Ü.; Doğan, S.; Gu, X.; Morkoç, H.; Nemeth, B.; Nause, J.; Everitt, H.O. Excitonic fine structure and recom-bination dynamics in single-crystalline ZnO. Phys. Rev. B 2004, 70, 195207. [Google Scholar] [CrossRef]
- Foreman, J.V.; Simmons, J.G.; Baughman, W.E.; Liu, J.; Everitt, J.O. Localized excitons mediate defect emission in ZnO powders. J. Appl. Phys. 2013, 113, 133513. [Google Scholar] [CrossRef]
- Tainoff, D.; Masenelli, B.; Mélinon, P.; Belsky, A.; Ledoux, G.; Amans, D.; Dujardin, C.; Fedorov, N.; Martin, P. Competition between exciton-phonon interaction and defects states in the 3.31 eV band in ZnO. Phys. Rev. B 2010, 81, 115304. [Google Scholar] [CrossRef]
- Lu, Y.M.; Li, X.P.; Cao, P.J.; Su, S.C.; Jia, F.; Han, S.; Liu, W.J.; Zhu, D.L.; Ma, X.C. Study of ultraviolet emission spectra in ZnO thin films. J. Spectrosc. 2013, 2013. [Google Scholar] [CrossRef]
- Fallert, J.; Hauschild, R.; Stelzl, F.; Urban, A.; Wissinger, M.; Zhou, H.; Klingshirn, C.; Kalt, H. Surface-state related luminescence in ZnO nanocrystals. J. Appl. Phys. 2007, 101, 73506. [Google Scholar] [CrossRef]
- Bekeny, C.; Voss, T.; Hilker, B.; Gutowski, J.; Hauschild, R.; Kalt, H.; Postels, B.; Bakin, A.; Waag, A. Influence of ZnO seed crystals and annealing on the optical quality of low-temperature grown ZnO nanorods. J. Appl. Phys. 2007, 102, 44908. [Google Scholar] [CrossRef]
- Tarasov, A.P.; Venevtsev, I.D.; Muslimov, A.E.; Zadorozhnaya, L.A.; Rodnyi, P.A.; Kanevsky, V.M. Luminescent properties of a ZnO whisker array as a scintillation detector material. Quantum Electron. 2021, 51, 366–370. [Google Scholar] [CrossRef]
- Zhang, B.P.; Binh, N.T.; Segawa, Y.; Wakatsuki, K.; Usami, N. Optical properties of ZnO rods formed by metalorganic chemical vapor deposition. Appl. Phys. Lett. 2003, 83, 1635. [Google Scholar] [CrossRef]
- Chia, C.H.; Tsai, W.C.; Chou, W.C. Preheating-temperature effect on structural and photoluminescent properties of sol–gel derived ZnO thin films. J. Lumin. 2014, 148, 111–115. [Google Scholar] [CrossRef]
- Ozgur, U.; Alivov, Y.I.; Liu, C.; Teke, A.; Reshchikov, M.A.; Dogan, S.; Avrutin, V.; Cho, S.J.; Morkoc, H. A comprehensive review of ZnO materials and devices. J. Appl. Phys. 2005, 98, 41301. [Google Scholar] [CrossRef]
- Klingshirn, C. The luminescence of ZnO under high one-and two-quantum excitation. Phys. Status Solidi B 1975, 71, 547–556. [Google Scholar] [CrossRef]
- Varshni, Y.P. Temperature dependence of the energy gap in semiconductors. Physica 1967, 34, 149–154. [Google Scholar] [CrossRef]
- Klingshirn, C.; Fallert, J.; Zhou, H.; Sartor, J.; Thiele, C.; Maier-Flaig, F.; Schneider, D.; Kalt, H. 65 years of ZnO research—Old and very recent results. Phys. Status Solidi B 2010, 247, 1424–1447. [Google Scholar] [CrossRef]
- Yu, C.I.; Goto, T.; Ueta, M. Emission of cuprous halide crystals at high density excitation. J. Phys. Soc. Jap. 1973, 34, 693–698. [Google Scholar] [CrossRef]
- Nakayama, M.; Nakayama, Y. Spatially-Resolved Photoluminescence Study of Temperature Dependence of Exciton Inelastic Scattering Processes in a ZnO thin film. J. Phys. Soc. Jpn. 2019, 88, 083706. [Google Scholar] [CrossRef]
- Bagnall, D.M.; Chen, Y.F.; Zhu, Z.; Yao, T.; Shen, M.Y.; Goto, T. High temperature excitonic stimulated emission from ZnO epitaxial layers. Appl. Phys. Lett. 1998, 73, 1038. [Google Scholar] [CrossRef]
- Iwai, S.; Namba, S. Emission spectra in CdS under high excitation by electron beam. Appl. Phys. Lett. 1971, 19, 41–43. [Google Scholar] [CrossRef]
- Matsuzaki, R.; Soma, H.; Fukuoka, K.; Kodama, K.; Asahara, A.; Suemoto, T.; Adachi, Y.; Uchino, T. Purely excitonic lasing in ZnO microcrystals: Temperature-induced transition between exciton-exciton and exciton-electron scattering. Phys. Rev. B 2017, 96, 125306. [Google Scholar] [CrossRef]
- Vasilyev, N.; Borisov, E.N.; Novikov, B.V.; Akopyan, I.K.; Labzovskaya, M.E. Random lasing in ZnO self-organized nanoparticles produced by laser induced breakdown. J. Lumin. 2019, 215, 116668. [Google Scholar] [CrossRef]
- Klingshirn, C.F. Semiconductor Optics, 4th ed.; Springer: Berlin, Germany, 2012. [Google Scholar]
- Klingshirn, C.; Hauschild, R.; Fallert, J.; Kalt, H. Room-temperature stimulated emission of ZnO: Alternatives to excitonic lasing. Phys. Rev. B 2007, 75, 115203. [Google Scholar] [CrossRef]
- Versteegh, M.A.; Kuis, T.; Stoof, H.T.C.; Dijkhuis, J.I. Ultrafast screening and carrier dynamics in ZnO: Theory and experiment. Phys. Rev. B 2011, 84, 035207. [Google Scholar] [CrossRef]
- Klingshirn, C.; Fallert, J.; Gogolin, O.; Wissinger, M.; Hauschild, R.; Hauser, M.; Kalt, H.; Zhou, H. Linear and nonlinear optics, dynamics, and lasing in ZnO bulk and nanostructures. J. Lumin. 2008, 128, 792. [Google Scholar] [CrossRef]
- Vasilyev, N.N.; Borisov, E.N.; Novikov, B.V. Exciton-phonon stimulated emission in ZnO crystalline film at room temperature. Phys. Solid State 2020, 62, 1774–1779. [Google Scholar] [CrossRef]







Publisher’s Note: MDPI stays neutral with regard to jurisdictional claims in published maps and institutional affiliations. |
© 2022 by the authors. Licensee MDPI, Basel, Switzerland. This article is an open access article distributed under the terms and conditions of the Creative Commons Attribution (CC BY) license (https://creativecommons.org/licenses/by/4.0/).
Share and Cite
Tarasov, A.P.; Muslimov, A.E.; Kanevsky, V.M. Excitonic Mechanisms of Stimulated Emission in Low-Threshold ZnO Microrod Lasers with Whispering Gallery Modes. Materials 2022, 15, 8723. https://doi.org/10.3390/ma15248723
Tarasov AP, Muslimov AE, Kanevsky VM. Excitonic Mechanisms of Stimulated Emission in Low-Threshold ZnO Microrod Lasers with Whispering Gallery Modes. Materials. 2022; 15(24):8723. https://doi.org/10.3390/ma15248723
Chicago/Turabian StyleTarasov, Andrey P., Arsen E. Muslimov, and Vladimir M. Kanevsky. 2022. "Excitonic Mechanisms of Stimulated Emission in Low-Threshold ZnO Microrod Lasers with Whispering Gallery Modes" Materials 15, no. 24: 8723. https://doi.org/10.3390/ma15248723
APA StyleTarasov, A. P., Muslimov, A. E., & Kanevsky, V. M. (2022). Excitonic Mechanisms of Stimulated Emission in Low-Threshold ZnO Microrod Lasers with Whispering Gallery Modes. Materials, 15(24), 8723. https://doi.org/10.3390/ma15248723

