The Effect of Pr Doping Contents on the Structural, Microstructure and Dielectric Properties of BaBi2Nb2O9 Aurivillius Ceramics
Abstract
1. Introduction
2. Materials and Methods
3. Results
4. Conclusions
Author Contributions
Funding
Institutional Review Board Statement
Informed Consent Statement
Data Availability Statement
Conflicts of Interest
References
- Bochenek, D.; Niemiec, P.; Szafraniak-Wiza, I.; Dercz, G. Comparison of electrophysical properties of PZT-type ceramics obtained by conventional and mechanochemical methods. Materials 2019, 12, 3301. [Google Scholar] [CrossRef] [PubMed]
- Rossetti, G.A. Structure and bonding in PbZrO3–PbTiO3 (PZT) alloys. Br. Ceram. Trans. 2004, 103, 83–87. [Google Scholar] [CrossRef]
- Bochenek, D. Magnetic and ferroelectric properties of PbFe1/2Nb1/2O3 synthesized by a solution precipitation method. J. Alloys Compd. 2010, 504, 508–513. [Google Scholar] [CrossRef]
- Bochenek, D.; Surowiak, Z. Influence of admixtures on the properties of biferroic Pb(Fe0.5Nb0.5)O3 ceramics. Phys. Status Solidi A 2009, 206, 2857–2865. [Google Scholar] [CrossRef]
- Adamczyk-Habrajska, M. Synteza i Badania Właściwości Ceramiki BaBi2Nb2O9; Wydawnictwo Gnome: Katowice, Poland, 2012. [Google Scholar]
- Aurivillius, B. Mixed oxides with layer lattices: III. Structure of BaBi4Ti4O15. Ark. For. 1950, 3, 519. [Google Scholar]
- Millan, P.; Castro, A.; Torrance, J.B. The first doping of lead2+ into the bismuth oxide layers of the Aurivillius oxides. Mater. Res. Bull. 1993, 28, 117–122. [Google Scholar] [CrossRef]
- Gaikwad, S.P.; Samuel, V.; Pasricha, R.; Ravi, V. Preparation of nanocrystalline ferroelectric BaBi2Nb2O9 by citrate gel method. Mater. Lett. 2004, 58, 3729–3731. [Google Scholar] [CrossRef]
- Karthik, C.; Varma, K.B.R. Dielectric and pyroelectric anisotropy in melt-quenched BaBi2(Nb1−xVx)2O9 ceramics. Mater. Res. Bull. 2008, 43, 3026–3036. [Google Scholar] [CrossRef]
- Kannan, B.R.; Venkataraman, B.H. Effect of rare earth ion doping on the structural, microstructural and diffused phase transition characteristics of BaBi2Nb2O9 relaxor ferroelectrics. Ceram. Int. 2014, 40, 16365–16369. [Google Scholar] [CrossRef]
- Rentschler, T. Substitution of lead into the bismuth oxide layers of the n = 2- and n = 3-aurtvillius phases. Mater. Res. Bull. 1997, 32, 351. [Google Scholar] [CrossRef]
- Kendall, K.; Thomas, J.K.; Loye, H.C. Synthesis and ionic conductivity of a new series of modified Aurivillius phases. Chem. Mater. 1995, 7, 50–57. [Google Scholar] [CrossRef]
- Sun, P.; Wang, H.; Bu, X.; Chen, Z.; Du, J.; Li, L.; Wen, F.; Bai, W.; Zheng, P.; Wu, W.; et al. Enhanced energy storage performance in bismuth layer-structured BaBi2Me2O9 (Me = Nb and Ta) relaxor ferroelectric ceramics. Ceram. Int. 2020, 46, 15907–15914. [Google Scholar] [CrossRef]
- Afqir, M.; Tachafine, A.; Fasquelle, D.; Elaatmani, M. Preparation and dielectric properties of BaBi1.8Ln0.2Nb2O9 (Ln = Ce, Gd) ceramics. Mater. Sci. Pol. 2018, 36, 46–50. [Google Scholar] [CrossRef]
- Nishimoto, S.; Matsuda, M.; Harjo, S.; Hoshikawa, A.; Kamiyama, T.; Ishigaki, T.; Miyake, M. Structure determination of n = 1 Ruddlesden-Popper compound HLaTiO4 by powder neutron diffraction. J. Eur. Ceram. Soc. 2006, 26, 725–729. [Google Scholar] [CrossRef]
- Aurivillius, B. Mixed bismuth oxides with layer lattices: I. The structure type of CaNb2Bi2O9. Ark. For. Kemi 1949, 1, 463–480. [Google Scholar]
- Aurivillius, B. Mixed bismuth oxides with layer lattices: II. Structure of Bi4Ti3O12. Ark. For. Kemi 1949, 2, 499–512. [Google Scholar]
- Adamczyk, M.; Kozielski, L.; Pilch, M. Impedance Spectroscopy of BaBi2Nb2O9 Ceramics. Ferroelectrics 2011, 417, 1–8. [Google Scholar] [CrossRef]
- Campos, A.L.; Mazon, T.; Varela, J.A.; Zaghete, M.A. Preparation and Characterization of BaBi2Nb2O9 (BBN) Ceramics Synthetized by Polymeric Precursors Method. Key Eng. Mater. 2001, 189, 149–154. [Google Scholar] [CrossRef]
- Rietveld, H.M. Line profiles of neutron powder diffraction peaks for structure refinement. Acta Crystallogr. 1967, 22, 151–152. [Google Scholar] [CrossRef]
- Adamczyk, M.; Kozielski, L.; Zachariasz, R.; Pawełczyk, M.; Szymczak, L. Structural, dielectric spectroscopy and intenal friction correlation in BaBi2NbO9 ceramics. Arch. Metall. Mater. 2014, 59, 1. [Google Scholar] [CrossRef]
- Ismunadar, B.I. Kennedy, Effect of temperature on cation disorder in AB2Nb2O9 (A = Sr, Ba). J. Mater. Chem. 1999, 9, 541. [Google Scholar]
- Mirinda, C.; Costa, M.E.V.; Avdeev, M.; Kholkin, A.L.; Baptista, J.L. Relaxor properties of Ba-baser layered perovskites. J. Eur. Ceram. Soc. 2001, 21, 1303–1306. [Google Scholar] [CrossRef]
- Ramaraghavulu, R.; Buddhudu, S. Structural and dielectric properties of BaBi2Nb2O9 ceramics. AIP Conf. Proc. 2014, 1591, 1702. [Google Scholar]
- Przedmojski, J. Rentgenowskie Metody Badawcze w Inżynierii Materiałowej; Wydawnictwo Naukowo Techniczne: Warszawa, Poland, 1990. [Google Scholar]
- Trzebiatowski, W.; Łukaszewicz, K. Zarys Rentgenograficznej Analizy Strukturalnej; Wydawnictwo Górniczo—Hutnicze: Katowice, Poland, 1960. [Google Scholar]
- Wang, G.; Zhang, H.; Huang, X.; Xu, F.; Gan, G.; Yang, Y.; Wen, D.; Li, J.; Liu, C.; Jin, L. Correlations between the structural characteristics and enhanced microwave dielectric properties of V–modified Li3Mg2NbO6 ceramics. Ceram. Int. 2018, 44, 19295–19300. [Google Scholar] [CrossRef]
- Montereo, M.; Millian, P.; Duran-Martin, P.; Jimenez, B.; Castro, A. Solid solutions of lead-doped bismuth layer of Aurivillius n = 2 and n = 3 oxides: Structural and dielectric characterization. Mater. Res. Bull. 1998, 33, 1103–1115. [Google Scholar] [CrossRef]
- Wu, Y.; Nguzen, C.; Seraji, S.; Forbess, M.; Limmer, S.J. Processing and Properties of Strontium Bismuth Vanadate Niobate Ferroelectric Ceramics. J. Am. Ceram. Soc. 2001, 84, 2882. [Google Scholar] [CrossRef]
- Adamczyk, M.; Ujma, Z.; Pawełczyk, M. Dielectric properties of BaBi2Nb2O9 ceramics. J. Mater. Sci. 2006, 41, 5317–5322. [Google Scholar] [CrossRef]
- Subbarao, E. A family of ferroelectric bismuth compounds. J. Phys. Chem. Solids 1962, 23, 665–676. [Google Scholar] [CrossRef]
- Uchino, K.; Nomura, S. Critical exponents of the dielectric constants in diffused-phasetransition crystals. Ferroelectr. Lett. Sect. 1982, 44, 55–61. [Google Scholar] [CrossRef]
- Szalbot, D.; Adamczyk, M.; Wodecka-Duś, B.; Rerak, M.; Feliksik, K. Influence of calcium doping on microstructure, dielectric and electric properties of BaBi2Nb2O9 ceramics. Process. Appl. Ceram. 2018, 12, 171–179. [Google Scholar] [CrossRef]
- Adak, M.K.; Mukherjee, A.; Chowdhury, A.; Ghorai, U.K.; Dhak, D. Structure-property correlation of Ba1-xCuxBi2(Nb1-xTax)2O9 ferroelectric nano ceramics prepared by chemical route. J. Alloys Compd. 2018, 740, 203–211. [Google Scholar] [CrossRef]
- Karthik, C.; Varma, K.B.R. Influence of vanadium doping on the processing temperature and dielectric properties of barium bismuth niobate ceramics. Mater. Sci. Eng. B 2006, 129, 245–250. [Google Scholar] [CrossRef]
- Cheng, Z.Y.; Katiyar, R.S. Dielectric behavior of lead magnesium niobate relaxors. Phys. Rev. B 1997, 55, 8165. [Google Scholar] [CrossRef]
- Tan, Q.; Viehland, D. ac-field-dependent structure-property relationships in La-modified lead zirconate titanate: Induced relaxor behavior and domain breakdown in soft ferroelectrics. Phys. Rev. B 1996, 53, 14103. [Google Scholar] [CrossRef]
- Taganstev, A.K. Vogel-Fulcher relationship for the dielectric permittivity of relaxor ferroelectrics. Phys. Rev. Lett. 1994, 72, 1100. [Google Scholar] [CrossRef]
- Pirc, R.; Blinc, R. Vogel-Fulcher freezing in relaxor ferroelectrics. Phys. Rev. B 2007, 76, 020101. [Google Scholar] [CrossRef]
- Adamczyk-Habrajska, M.; Goryczka, T.; Szalbot, D.; Rerak, M.; Bochenek, D. Influence of lanthanum dopant on the structure and electric properties of BaBi2Nb2O9 ceramics. Arch. Metall. Mater. 2020, 65, 207–214. [Google Scholar]











| Mole Fraction | a [Å] | b [Å] | c [Å] | V [Å3] | R-Factor [%] |
|---|---|---|---|---|---|
| x = 0.00 | 3.9406 | 3.9406 | 25.6378 | 398.1 | Rp = 6.06 Rwp = 8.73 Rexp = 4.80 |
| x = 0.02 | 3.9285 | 3.9285 | 25.6054 | 395.2 | Rp = 6.48 Rwp = 8.16 Rexp = 4.16 |
| x = 0.04 | 3.9317 | 3.9317 | 25.6118 | 395.9 | Rp = 6.69 Rwp = 8.92 Rexp = 4.02 |
| x = 0.06 | 3.9293 | 3.9293 | 25.5999 | 395.2 | Rp = 6.49 Rwp = 8.22 Rexp = 4.01 |
| x = 0.08 | 3.9278 | 3.9278 | 25.604 | 395.3 | Rp = 6.15 Rwp = 8.29 Rexp = 4.22 |
| x = 0.10 | 3.9316 | 3.9316 | 25.604 | 395.8 | Rp = 6.73 Rwp = 8.16 Rexp = 4.27 |
| A Mole Fraction | Density ρ [g/cm3] | +/− (Δρ) [g/cm3] | ρ/ρtheoretical [%] |
|---|---|---|---|
| 0.00 | 7.071 | 0.001 | 97 |
| 0.02 | 6590 | 0.011 | 93 |
| 0.04 | 6.866 | 0.001 | 97 |
| 0.06 | 6.929 | 0.004 | 98 |
| 0.08 | 6.706 | 0.004 | 95 |
| 0.10 | 6.758 | 0.002 | 96 |
| x | Theoretical Content [%] | Content of EDS [%] | Error (σ2) [%] | |||||||||
|---|---|---|---|---|---|---|---|---|---|---|---|---|
| BaO | Bi2O3 | Nb2O5 | Pr2O3 | BaO | Bi2O3 | Nb2O5 | Pr2O3 | BaO | Bi2O3 | Nb2O5 | Pr2O3 | |
| 0.02 | 0.02 | 21.8 | 52.6 | 30 | 0.02 | 20.6 | 51 | 27.9 | 1.2 | 1.6 | 2.1 | 0.02 |
| 0.04 | 0.04 | 21.4 | 52.6 | 30 | 0.04 | 19.3 | 51.1 | 29 | 2.1 | 1.5 | 1 | 0.04 |
| 0.06 | 0.06 | 20.9 | 52.6 | 30 | 0.06 | 18.8 | 50.6 | 29.8 | 2.1 | 2 | 0.2 | 0.06 |
| 0.08 | 0.08 | 20.5 | 52.6 | 30 | 0.08 | 19.5 | 51.4 | 27.7 | 1 | 1.2 | 2.3 | 0.08 |
| 0.10 | 0.1 | 20 | 52.6 | 30 | 0.1 | 18.7 | 50 | 29.4 | 1.3 | 2.6 | 0.6 | 0.1 |
| Mole Fraction | Parameter γ |
|---|---|
| 0.00 [31] | 1.45 |
| 0.02 | 1.95 |
| 0.04 | 1.73 |
| 0.06 | 1.73 |
| 0.08 | 1.75 |
| 0.10 | 1.64 |
| Mole Fraction | ΔTm | Δεmax |
|---|---|---|
| 0.00 [31] | 92.59 | 68 |
| 0.02 | 80.84 | 61.7 |
| 0.04 | 79.64 | 56.3 |
| 0.06 | 73.84 | 72.35 |
| 0.08 | 98.68 | 78.13 |
| 0.10 | 102 | 112.1 |
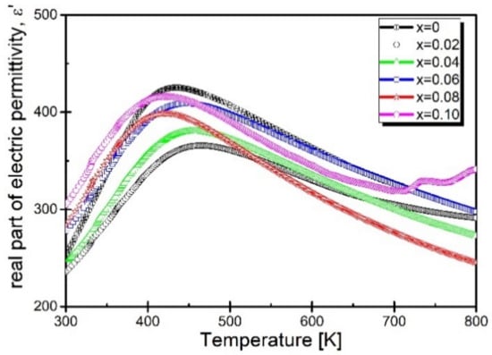
| A Mole Fraction | Tm [K] 100 [kHz] | εmax 100 [kHz] | Ea [eV] | Tf [K] | fo [Hz] |
|---|---|---|---|---|---|
| 0.00 [31] | 456 | 406 | 0.46 | 170 | 9.68·1012 |
| 0.02 | 465 | 366 | 0.29 | 267 | 3.87·1011 |
| 0.04 | 456 | 381 | 0.26 | 240 | 7.12·1011 |
| 0.06 | 447 | 409 | 0.24 | 266 | 1.96·1011 |
| 0.08 | 422 | 399 | 0.23 | 246 | 6.71·1011 |
| 0.10 | 420 | 416 | 0.19 | 216 | 2.56·1010 |
Publisher’s Note: MDPI stays neutral with regard to jurisdictional claims in published maps and institutional affiliations. |
© 2022 by the authors. Licensee MDPI, Basel, Switzerland. This article is an open access article distributed under the terms and conditions of the Creative Commons Attribution (CC BY) license (https://creativecommons.org/licenses/by/4.0/).
Share and Cite
Rerak, M.; Makowska, J.; Osińska, K.; Goryczka, T.; Zawada, A.; Adamczyk-Habrajska, M. The Effect of Pr Doping Contents on the Structural, Microstructure and Dielectric Properties of BaBi2Nb2O9 Aurivillius Ceramics. Materials 2022, 15, 5790. https://doi.org/10.3390/ma15165790
Rerak M, Makowska J, Osińska K, Goryczka T, Zawada A, Adamczyk-Habrajska M. The Effect of Pr Doping Contents on the Structural, Microstructure and Dielectric Properties of BaBi2Nb2O9 Aurivillius Ceramics. Materials. 2022; 15(16):5790. https://doi.org/10.3390/ma15165790
Chicago/Turabian StyleRerak, Michał, Jolanta Makowska, Katarzyna Osińska, Tomasz Goryczka, Anna Zawada, and Małgorzata Adamczyk-Habrajska. 2022. "The Effect of Pr Doping Contents on the Structural, Microstructure and Dielectric Properties of BaBi2Nb2O9 Aurivillius Ceramics" Materials 15, no. 16: 5790. https://doi.org/10.3390/ma15165790
APA StyleRerak, M., Makowska, J., Osińska, K., Goryczka, T., Zawada, A., & Adamczyk-Habrajska, M. (2022). The Effect of Pr Doping Contents on the Structural, Microstructure and Dielectric Properties of BaBi2Nb2O9 Aurivillius Ceramics. Materials, 15(16), 5790. https://doi.org/10.3390/ma15165790

