Mineral Addition and Mixing Methods Effect on Recycled Aggregate Concrete
Abstract
1. Introduction
2. Materials and Methods
2.1. Materials
2.2. Concrete Design Method and Data Evaluation Approachs
2.2.1. Strength Class Determination
2.2.2. Statistical Analysis Method
3. Results
3.1. Strength Class of Concretes
3.2. Comparison of the Methods
3.3. Statistical Results
4. Conclusions and Discussions
- Mineral Addition Treatment Method with SF and EMV gives convincing results eliminating the negative effect of attached old mortar (AOM) in RA.
- The target strength class C30/37 is achieved for NAC, RAC-SF and RAC-EMV, and however, RAC cannot achieve C30/37. SF addition and EMV facilitate to obtain the target strength class.
- The compressive strength of all concretes distributes normally according to the Shapiro-Wilk normality test and Skewness and Kurtosis to standard error ratios.
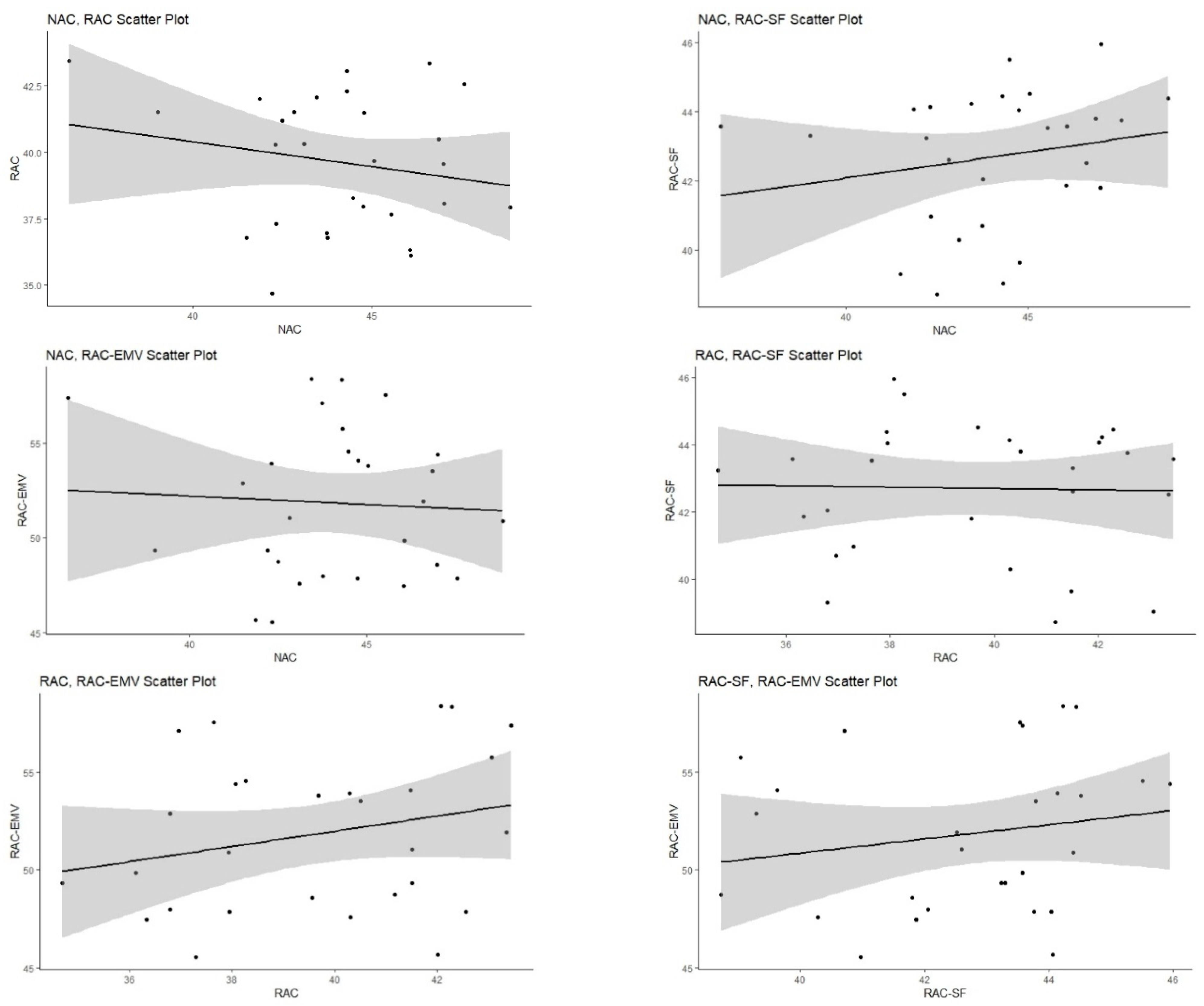
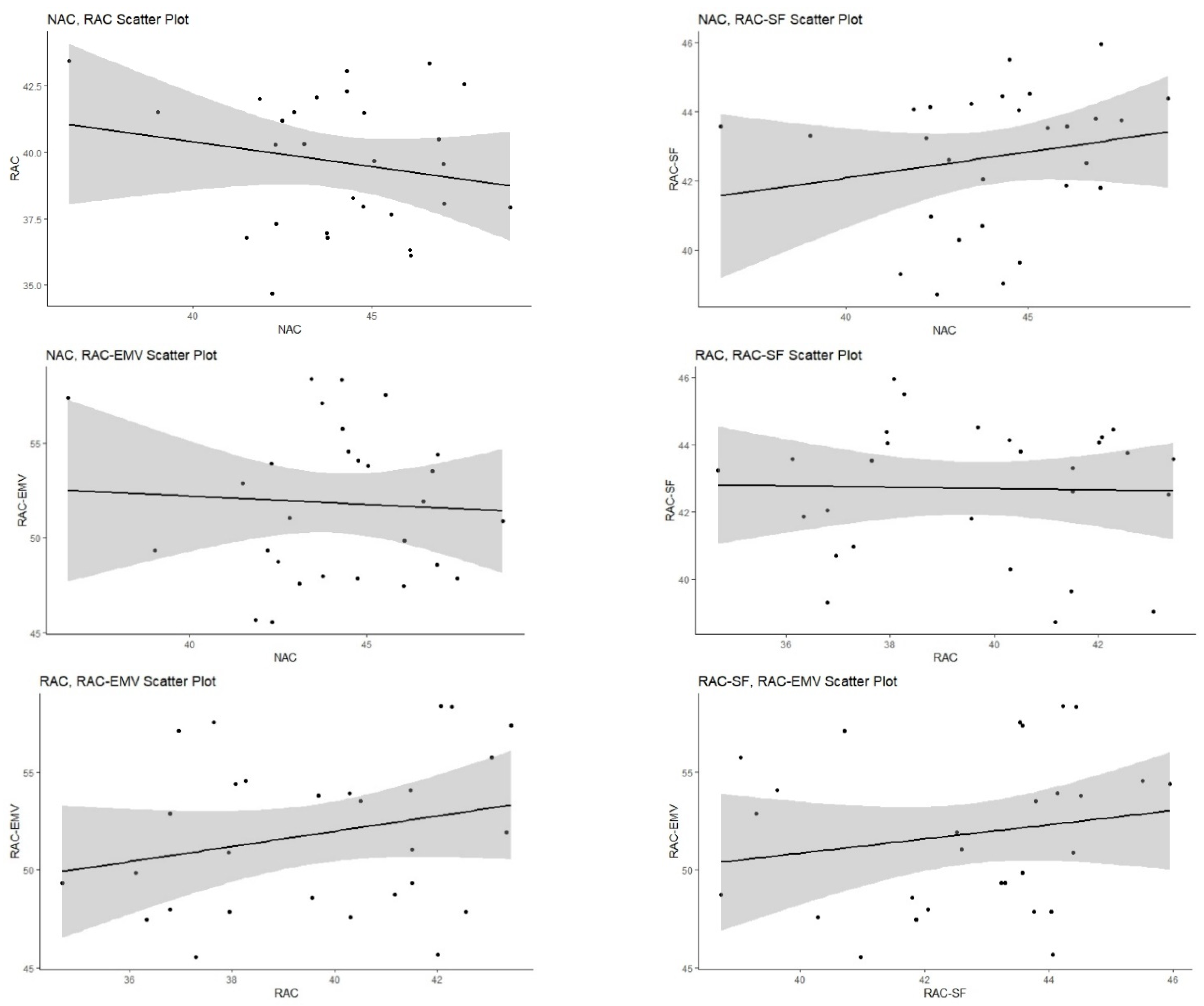
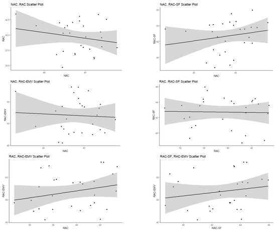
- It is found that the correlation analysis and the scatter plots give compatible results. The correlation analysis and the scatter plots indicate that the relation between concretes behavior pattern is observed at low level. Especially, for instance, the relation between behaviors of NAC and RAC is equal −0.20 and it means that there is very weak relation due to RA.
- According to the results of ANOVA, the relationship between the concretes are significant at 95% reliability level, although generally concrete standards consider 90% reliability level.
- Games-Howell Multiple Comparison Test demonstrates that the most significant bilateral relationships between (RAC-EMV)-(RAC) and (RAC)-(NAC) are found. (It is noted that the correlation test measures whether there is a relation between variables while ANOVA and comparison tests measure significance grades. These evaluation approaches should not be confused.)
- The data used in the statistical approaches were collected from experiments and at first strength class of concrete series were determined. In this point it was thought whether the concretes were in the required strength class (C30/37), and the results were checked in consideration of the helpful evaluation equations given in the related codes. However, it is well-known that the concrete, commonly used in the engineering area, includes the natural aggregate and, also the compressive strength results of natural aggregate concrete are distributed compatible with the normal distribution function. Here, it is expected that the concretes included recycled aggregate and designed with different mixing methods would show a similar behavior with natural aggregate concrete. However, the truth of recycled aggregate concrete was different. For instance, as a result of the normality test evaluations (skewness, kurtosis, etc.), when recycled aggregate was considered, the distribution of the test results of recycled aggregate concrete presented a non-similarity with natural ones although the use of silica fume changed a bit the behavior of recycled aggregate concrete from recycled aggregate concrete to natural aggregate concrete. According to this, it could be concluded that despite the consideration of silica fume in recycled aggregate concrete, natural aggregate concrete and recycled aggregate concrete had different characteristics and it was thought that the observed difference depended on the components such as recycled aggregate. To present the difference/similarity of concretes behavior, in addition, the comparison techniques were employed and hence the difference between the concrete types was obviously seen. The first comparison technique was made in consideration of Person Correlation Coefficient and the most suitable similarity between recycled aggregate concrete and natural aggregate concrete was found as 0.20 (the higher is good up to 1.0 and down to −1.0). The second comparison technique was made in consideration of ANOVA with Games-Howell Multiple Comparison Test and Games-Howell Comparison Test had an interrelation assessment approach. As expected, the first and the second approaches demonstrated the similar results: There was a specific difference between the concretes included natural and recycled aggregates in dependent of mixing methods such as AVM and EMV and, also mineral addition such as silica fume.
- The critics and discussions on the results canalized the authors to think that the evaluation of test results of different types of concretes (i.e., natural aggregate concrete, heavy concrete, geopolymer concrete, recycled aggregate concrete) could mislead decision makers and the evaluation of test results of different concrete types may be separated in the standards and the evaluation equations for each concrete type could be proposed in the codes after several trial-and-error tests.
- Considering the various studies in the literature, Tukey’s Test (it is a comparison test) was mostly used together with ANOVA analysis (i.e., Refs. [40,44]). In general, the crucial and inadequate points in the literature are the assumptions of Tukey’s Test which was not properly considered for the situations examined in the study and, the lack of explanations of Multiple Comparison Tests (i.e., Refs. [45,46]). Therefore, the data were properly examined and discussed in detail in consideration of many statistical approaches in the current paper and one of them was Games-Howell Test. In the test, the assumption is made as there is no equal variance that is provided in the determination of the relationships between the groups. In addition, the application of the test on the recycled aggregate concretes designed with many methods was one of the novelty parts of the study and it clearly ensured the difference of the concretes revealing the characteristics of concretes.
5. Future Aspects
Author Contributions
Funding
Institutional Review Board Statement
Informed Consent Statement
Data Availability Statement
Conflicts of Interest
References
- Rao, M.C.; Bhattacharyya, S.K.; Barai, S.V. Systematic Approach of Characterisation and Behaviour of Recycled Aggregate Concrete, 1st ed.; Springer: Singapore, 2019. [Google Scholar] [CrossRef]
- Bidabadi, M.S.; Akbari, M.; Panahi, O. Optimum mix design of recycled concrete based on the fresh and hardened properties of concrete. J. Build. Eng. 2020, 32, 101483. [Google Scholar] [CrossRef]
- Dilbas, H.; Şimşek, M.; Çakır, Ö. An investigation on mechanical and physical properties of recycled aggregate concrete (RAC) with and without silica fume. Constr. Build. Mater. 2014, 61, 50–59. [Google Scholar] [CrossRef]
- Xie, J.; Fang, C.; Lu, Z.; Li, Z.; Li, L. Effects of the addition of silica fume and rubber particles on the compressive behaviour of recycled aggregate concrete with steel fibres. J. Cle. Prod. 2018, 197, 656–667. [Google Scholar] [CrossRef]
- Mansur, M.; Özgür, T.; Tüfekçi, M.; Çakır, Ö. An Investigation on Mechanical and Physical Properties of Recycled Coarse Aggregate (RCA) Concrete with GGBFS. Int. J. Civil Eng. 2017, 15, 549–563. [Google Scholar] [CrossRef]
- Oner, A.; Akyuz, S. An experimental study on optimum usage of GGBS for the compressive strength of concrete. Cem. Conc. Comp. 2007, 29, 505–514. [Google Scholar] [CrossRef]
- Ramyar, K.; Mardani-Aghabaglou, A.; Sezer, G.İ.; Ramyar, K. Comparison of fly ash, silica fume and metakaolin from mechanical properties and durability performance of mortar mixtures view point. Constr. Build. Mater. 2014, 70, 17–25. [Google Scholar] [CrossRef]
- Kou, S.C.; Poon, C.S. Properties of self-compacting concrete prepared with coarse and fine recycled concrete aggregates. Cem. Conc. Comp. 2009, 31, 622–627. [Google Scholar] [CrossRef]
- Xu, F.; Wang, S.; Li, T.; Liu, B.; Li, B.; Zhou, Y. Mechanical properties and pore structure of recycled aggregate concrete made with iron ore tailings and polypropylene fibers. J. Build. Eng. 2021, 33, 101572. [Google Scholar] [CrossRef]
- Kurda, R.; de Brito, J.; Silvestre, J.D. A comparative study of the mechanical and life cycle assessment of high-content fly ash and recycled aggregates concrete. J. Build. Eng. 2020, 29, 101173. [Google Scholar] [CrossRef]
- Zhou, Q.; Lu, C.; Wang, W.; Wei, S.; Lu, C.; Hao, M. Effect of fly ash and sustained uniaxial compressive loading on chloride diffusion in concrete. J. Build. Eng. 2020, 31, 101394. [Google Scholar] [CrossRef]
- Jian-hua, W.; Shi-cheng, M.; Zhao-qing, T.; Xiao-quan, L.; Xiao-gen, L. Intensified test research on the influence of polypropylene fiber & silica fume on recycled concrete. Concrete 2006, 11, 36–38. [Google Scholar]
- Dilbas, H.; Çakır, Ö. Influence of basalt fiber on physical and mechanical properties of treated recycled aggregate concrete. Constr. Build. Mater. 2020, 254, 119216. [Google Scholar] [CrossRef]
- Katkhuda, H.; Shatarat, N. Improving the mechanical properties of recycled concrete aggregate using chopped basalt fibers and acid treatment. Constr. Build. Mater. 2017, 140, 328–335. [Google Scholar] [CrossRef]
- Wang, Y.; Hughes, P.; Niu, H.; Fan, Y. A new method to improve the properties of recycled aggregate concrete: Composite addition of basalt fiber and nano-silica. J. Clean. Prod. 2019, 236, 117602. [Google Scholar] [CrossRef]
- Sobhan, K.; Mashnad, M. Fatigue Durability of Stabilized Recycled Aggregate Base Course Containing Fly Ash and Waste-Plastic Strip Reinforcement; Final Report Submitted to the Recycled Materials Resource Centre; University of New Hampshire: Durham, NH, USA, 2000. [Google Scholar]
- Sobhan, K.; Krizek, R.J. Fatigue Behavior of Fiber-Reinforced Recycled Aggregate Base Course. J. Mat. Civil. Eng. 1999, 11, 124–130. [Google Scholar] [CrossRef]
- Kim, S.; Kim, Y.; Usman, M.; Park, C.; Hanif, A. Durability of slag waste incorporated steel fiber-reinforced concrete in marine environment. J. Build. Eng. 2021, 33, 101641. [Google Scholar] [CrossRef]
- Mlv, P.; Pancharathi, R.K. Strength studies on glass fiber reinforced recycled aggregate concrete. Asian J. Civil. Eng. 2015, 8, 677–690. [Google Scholar]
- Abbas, A.; Fathifazl, G.; Isgor, O.B.; Razaqpur, A.G.; Fournier, B.; Foo, S. Durability of recycled aggregate concrete designed with equivalent mortar volume method. Cem. Conc. Comp. 2009, 31, 555–563. [Google Scholar] [CrossRef]
- Kim, J.; Sadowski, Ł. The equivalent mortar volume method in the manufacturing of recycled aggregate concrete. Czas. Tech. 2019, 11, 123–140. [Google Scholar] [CrossRef]
- Abd Elhakam, A.; Awad, E. Influence of self-healing, mixing method and adding silica fume on mechanical properties of recycled aggregates concrete. Constr. Build. Mater. 2012, 35, 421–427. [Google Scholar] [CrossRef]
- TSI, TS 802 (Turkish Standards Institution). Design of Concrete Mixes; TSI: Ankara, Turkey, 2016. [Google Scholar]
- EN TS 197-1. Cement—Part 1: Composition, Specification and Conformity Criteria for Common Cements; Turkish Standards Institution: Ankara, Turkey, 2012. [Google Scholar]
- EN TS 206-1. Concrete—Part 1: Feature, Performance, Fabrication and Suitability; Turkish Standards Institution: Ankara, Turkey, 2002. [Google Scholar]
- Dilbas, H.; Çakır, Ö.; Atiş, C.D. Experimental investigation on properties of recycled aggregate concrete with optimized Ball Milling Method. Constr. Build. Mater. 2019, 212, 716–726. [Google Scholar] [CrossRef]
- ASTM. Standard Practice for Making and Curing Concrete Test Specimens in the Laboratory; C192/C192M-13; ASTM International: West Conshohocken, PA, USA, 2013. [Google Scholar]
- TS EN 12390-3. In Testing Hardened Concrete—Part 3: Compressive Strength of Test Specimens; Turkish Standards Institution: Ankara, Turkey, 2003.
- Shapiro, S.S.; Wilk, M.B. An Analysis of Variance Test for Normality (Complete Samples). Biometrika 1965, 52, 591. [Google Scholar] [CrossRef]
- Cantero, B.; Sáez del Bosque, I.F.; Matías, A.; Medina, C. Statistically significant effects of mixed recycled aggregate on the physical-mechanical properties of structural concretes. Constr. Build. Mater. 2018, 185, 93–101. [Google Scholar] [CrossRef]
- Dilbas, H.; Çakır, Ö. Fracture and Failure of Recycled Aggregate Concrete (RAC)–A Review. Int. J. Conc. Tech. 2016, 1, 31–48. [Google Scholar]
- Dilbas, H.; Çakır, Ö.; Şimşek, M. Recycled Aggregate Concretes (RACs) for Structural Use: An Evaluation on Elasticity Modulus and Energy Capacities. Int. J. Civil Eng. 2017, 15, 247–261. [Google Scholar] [CrossRef]
- Dilbas, H. An Examination on Mechanical Behaviour of a Cantilever Beam Produced with Recycled Aggregate Concrete. Master’ Thesis, Graduate School of Natural and Applied Science, Yildiz Technical University, Istanbul, Turkey, 2014. [Google Scholar]
- Duan, Z.H.; Poon, C.S. Properties of recycled aggregate concrete made with recycled aggregates with different amounts of old adhered mortars. Mater. Des. 2014, 58, 19–29. [Google Scholar] [CrossRef]
- Matias, D.; de Brito, J.; Rosa, A.; Pedro, D. Mechanical properties of concrete produced with recycled coarse aggregates—Influence of the use of superplasticizers. Constr. Build. Mater. 2013, 44, 101–109. [Google Scholar] [CrossRef]
- Wardeh, G.; Ghorbel, E. Mechanical Properties of Recycled Concrete: An Analytical Study. In Proceedings of the International Symposium on Eco-Crete, Reykjavik, Iceland, 13–15 August 2019; pp. 1–8. [Google Scholar]
- de Brito, J.; Saikia, N. Recycled Aggregate in Concrete Use of Industrial, Construction and Demolition Waste; Springer: Berlin, Germany, 2013. [Google Scholar] [CrossRef]
- Silva, R.V.; De Brito, J.; Dhir, R.K. Properties and composition of recycled aggregates from construction and demolition waste suitable for concrete production. Constr. Build. Mater. 2014, 65, 201–217. [Google Scholar] [CrossRef]
- Akça, K.; Çakır, Ö.; İpek, M.; Ipek, M. Properties of polypropylene fiber reinforced concrete using recycled aggregates. Constr. Build. Mater. 2015, 98, 620–630. [Google Scholar] [CrossRef]
- Xiao, J.; Li, W.; Poon, C. Recent studies on mechanical properties of recycled aggregate concrete in China—A review. Sci. China Technol. Sci. 2012, 55, 1463–1480. [Google Scholar] [CrossRef]
- Xiao, J.; Li, W.; Fan, Y.; Huang, X. An overview of study on recycled aggregate concrete in China (1996–2011). Constr. Build. Mater. 2012, 31, 364–383. [Google Scholar] [CrossRef]
- TS 500 (Turkish Standards Institution). Design and Construction Rules of Reinforced Concrete Structures; Turkish Standards Institution: Ankara, Turkey, 2000. [Google Scholar]
- Dilbas, H.; Erkılıç, E.; Saraylı, S.; Haktanır, T. Beton Mukavemet Deneyleri Değerlendirmesi için Bir İstatistiksel Çalışma (A Statistical Study for the Evaluation of Concrete Strength Tests). Yapı Dünyası Dergisi 2011, 178, 25–31. (In Turkish) [Google Scholar]
- Brand, A.S.; Roesler, J.R.; Salas, A. Initial moisture and mixing effects on higher quality recycled coarse aggregate concrete. Constr. Build. Mater. 2015, 79, 83–89. [Google Scholar] [CrossRef]
- Güneyisi, E.; Gesoğlu, M.; Kareem, Q.; İpek, S. Effect of different substitution of natural aggregate by recycled aggregate on performance characteristics of pervious concrete. Mater. Struc. 2016, 49, 521–536. [Google Scholar] [CrossRef]
- Carneiro, J.A.; Lima, P.R.L.; Leite, M.B.; Toledo Filho, R.D. Compressive stress–strain behavior of steel fiber reinforced-recycled aggregate concrete. Cem. Concr. Comp. 2014, 46, 65–72. [Google Scholar] [CrossRef]



| Contents | Cement | SF |
|---|---|---|
| SiO2 (%) | 18.9 | 91.42 |
| CaO (%) | 64.7 | 0.52 |
| SO3 (%) | 3.42 | 0.37 |
| Al2O3 (%) | 4.8 | 0.72 |
| Fe2O3 (%) | 3.4 | 1.66 |
| MgO (%) | 1.4 | 0.92 |
| K2O (%) | 0.4 | 1.21 |
| Na2O (%) | 0.7 | 0.38 |
| Density (g/cm3) | 3.11 | 0.642 |
| Chlorine ratio (%) | 0.0241 | 0.04 |
| Specific surface area (m2/kg) | 3840 | 21290 |
| Loss on ignition (%) | 1.82 | 1.72 |
| Activity index (%) | - | 118 |
| Notation | Density, g/cm3 | Water Absorption, % | LA Abrasion value, % | Residual Content, % |
|---|---|---|---|---|
| Sand | 2.81 | 1.31 | - | - |
| NA (11.2–22.4 mm) | 2.70 | 0.75 | 24 | - |
| NA (4–11.2 mm) | 2.73 | 0.72 | - | - |
| RA (11.2–22.4 mm) | 2.00 | 8.95 | 55 | 52.5 |
| RA (4–11.2 mm) | 2.06 | 8.80 | - | 39.2 |
| Content | Super Plasticizer |
|---|---|
| Structure of material | Polycarboxylic ether |
| Color | Amber |
| Density (kg/l) | 1.08–1.14 |
| Alkaline ratio (%) | <3 |
| Chlorine ratio (%) | <0.1 |
| Components | NAC | RAC | RAC-SF | RAC-EMV |
|---|---|---|---|---|
| Cement, kg/m3 | 340 | 340 | 323 | 255 |
| Silica fume, kg/m3 | - | - | 17 | - |
| Water, kg/m3 | 163 | 163 | 163 | 123 |
| Super plasticizer, % | 0.75 | 0.85 | 0.95 | 1.55 |
| Sand, kg/m3 | 806 | 806 | 806 | 608 |
| Aggregate 4–11.2 mm, kg/m3 | 392 | - | - | - |
| Recycled aggregate 4–11.2 mm, kg/m3 | - | 296 | 296 | 368 |
| Aggregate 11–22.4 mm, kg/m3 | 775 | - | - | - |
| Recycled aggregate 11–22.4 mm, kg/m3 | - | 574 | 574 | 774 |
| Number of Specimen | NAC | RAC | RAC-SF | RAC-EMV |
|---|---|---|---|---|
| 1 | 36.73 | 31.05 | 34.20 | 48.00 |
| 2 | 35.98 | 34.87 | 35.78 | 42.89 |
| 3 | 35.70 | 34.59 | 32.53 | 40.94 |
| 4 | 35.16 | 35.29 | 37.01 | 38.37 |
| 5 | 35.56 | 31.33 | 34.42 | 38.26 |
| 6 | 38.07 | 23.83 | 36.32 | 42.73 |
| 7 | 37.59 | 31.88 | 36.99 | 40.21 |
| 8 | 35.46 | 29.14 | 36.32 | 41.43 |
| 9 | 38.25 | 31.63 | 36.57 | 48.35 |
| 10 | 37.20 | 35.52 | 37.33 | 49.02 |
| 11 | 39.15 | 36.41 | 35.72 | 43.64 |
| 12 | 37.84 | 33.33 | 37.40 | 45.20 |
| 13 | 36.76 | 30.91 | 35.33 | 40.30 |
| 14 | 39.96 | 35.75 | 36.76 | 40.19 |
| 15 | 37.22 | 36.18 | 32.80 | 46.84 |
| 16 | 41.04 | 31.86 | 37.29 | 42.74 |
| 17 | 39.36 | 34.02 | 36.78 | 44.97 |
| 18 | 36.20 | 33.86 | 33.84 | 39.98 |
| 19 | 38.71 | 30.34 | 36.60 | 41.89 |
| 20 | 30.70 | 36.50 | 36.60 | 48.22 |
| 21 | 39.47 | 33.24 | 35.12 | 40.81 |
| 22 | 36.78 | 31.83 | 28.96 | 45.62 |
| 23 | 38.69 | 30.52 | 35.17 | 39.86 |
| 24 | 35.54 | 33.84 | 37.08 | 45.29 |
| 25 | 39.50 | 31.98 | 38.60 | 45.71 |
| 26 | 32.78 | 34.87 | 36.37 | 41.45 |
| 27 | 36.50 | 35.34 | 37.15 | 49.05 |
| 28 | 37.61 | 34.84 | 33.30 | 45.43 |
| 29 | 34.85 | 30.90 | 33.01 | 44.44 |
| 30 | 37.36 | 32.15 | 38.23 | 45.82 |
| Parameters | NAC | RAC | RAC-SF | RAC-EMV |
|---|---|---|---|---|
| Average compressive strength, MPa | 44.12 | 39.20 | 42.44 | 51.89 |
| Minimum compressive strength, MPa | 36.55 | 28.37 | 34.48 | 45.55 |
| Std. deviation of compressive strength, MPa | 2.63 | 2.52 | 1.49 | 3.95 |
| Strength class of concrete | C30/37 | C25/30 | C30/37 | C35/45 |
| Concretes | Mean | Std. Deviation | Std. Error | 95% Confidence Interval | ||
|---|---|---|---|---|---|---|
| Lower Bound | Upper Bound | |||||
| NAC | 44.08 | 2.63 | 0.49 | 43.06 | 45.10 | |
| RAC | 39.63 | 2.52 | 0.47 | 38.65 | 40.61 | |
| RAC-SF | 42.70 | 1.97 | 0.37 | 41.93 | 43.46 | |
| RAC-EMV | 51.84 | 3.95 | 0.74 | 50.30 | 53.37 | |
![]() (NAC) | ![]() (RAC) | |||||
![]() (RAC-SF) | ![]() (RAC-EMV) | |||||
| Evaluations | CONCRETES | |||
|---|---|---|---|---|
| NAC | RAC | RAC-SF | RAC-EMV | |
| Skewness to std. Error ratio | −1.73 | −0.31 | −1.39 | 0.38 |
| Kurtosis to std. Error ratio | 1.59 | −1.41 | −0.64 | −1.38 |
| Shapiro-Wilk p-value | 0.302 | 0.154 | 0.058 | 0.119 |
| Interactions | Sum of Squares | df | Mean Square | F | Sig. |
|---|---|---|---|---|---|
| Between Groups | 2267.729 | 3 | 755.910 | 91.849 | 0.000 |
| Within Groups | 888.833 | 108 | 8.230 | ||
| Total | 3156.561 | 111 | |||
![]() | ![]() | ||||
| (I) kod | (J) kod | Mean Difference (I–J) | Std. Error | Sig. | 95% Confidence Interval | |
|---|---|---|---|---|---|---|
| Lower Bound | Upper Bound | |||||
| NAC | RAC | 40.45 * | 0.69 | 0.000 | 20.62 | 60.28 |
| RAC-SF | 10.38 | 0.62 | 0.131 | −00.27 | 30.03 | |
| RAC-EMV | −70.75 * | 0.89 | 0.000 | −100.15 | −50.36 | |
| RAC | NAC | −40.45 * | 0.69 | 0.000 | −60.28 | −20.62 |
| RAC-SF | −30.06 * | 0.60 | 0.000 | −40.67 | −10.45 | |
| RAC-EMV | −120.20 * | 0.88 | 0.000 | −140.57 | −90.84 | |
| RAC-SF | NAC | −10.38 | 0.62 | 0.131 | −30.03 | 00.27 |
| RAC | 30.06 * | 0.60 | 0.000 | 10.45 | 40.67 | |
| RAC-EMV | −90.14 * | 0.83 | 0.000 | −110.38 | −60.89 | |
| RAC-EMV | NAC | 70.75 * | 0.89 | 0.000 | 50.36 | 100.15 |
| RAC | 120.20 * | 0.88 | 0.000 | 90.84 | 140.57 | |
| RAC-SF | 90.14 * | 0.83 | 0.000 | 60.89 | 110.38 | |
![]() * The mean difference is significant at the 0.05 level. | ||||||
Publisher’s Note: MDPI stays neutral with regard to jurisdictional claims in published maps and institutional affiliations. |
© 2021 by the authors. Licensee MDPI, Basel, Switzerland. This article is an open access article distributed under the terms and conditions of the Creative Commons Attribution (CC BY) license (http://creativecommons.org/licenses/by/4.0/).
Share and Cite
Dilbas, H.; Güneş, M.Ş. Mineral Addition and Mixing Methods Effect on Recycled Aggregate Concrete. Materials 2021, 14, 907. https://doi.org/10.3390/ma14040907
Dilbas H, Güneş MŞ. Mineral Addition and Mixing Methods Effect on Recycled Aggregate Concrete. Materials. 2021; 14(4):907. https://doi.org/10.3390/ma14040907
Chicago/Turabian StyleDilbas, Hasan, and Mehmet Şamil Güneş. 2021. "Mineral Addition and Mixing Methods Effect on Recycled Aggregate Concrete" Materials 14, no. 4: 907. https://doi.org/10.3390/ma14040907
APA StyleDilbas, H., & Güneş, M. Ş. (2021). Mineral Addition and Mixing Methods Effect on Recycled Aggregate Concrete. Materials, 14(4), 907. https://doi.org/10.3390/ma14040907








