Radiation Tolerance and Charge Trapping Enhancement of ALD HfO2/Al2O3 Nanolaminated Dielectrics
Abstract
1. Introduction
2. Materials and Methods
3. Results and Discussions
3.1. Initial Oxide Charges, C-V Hysteresis and Density of Interface States
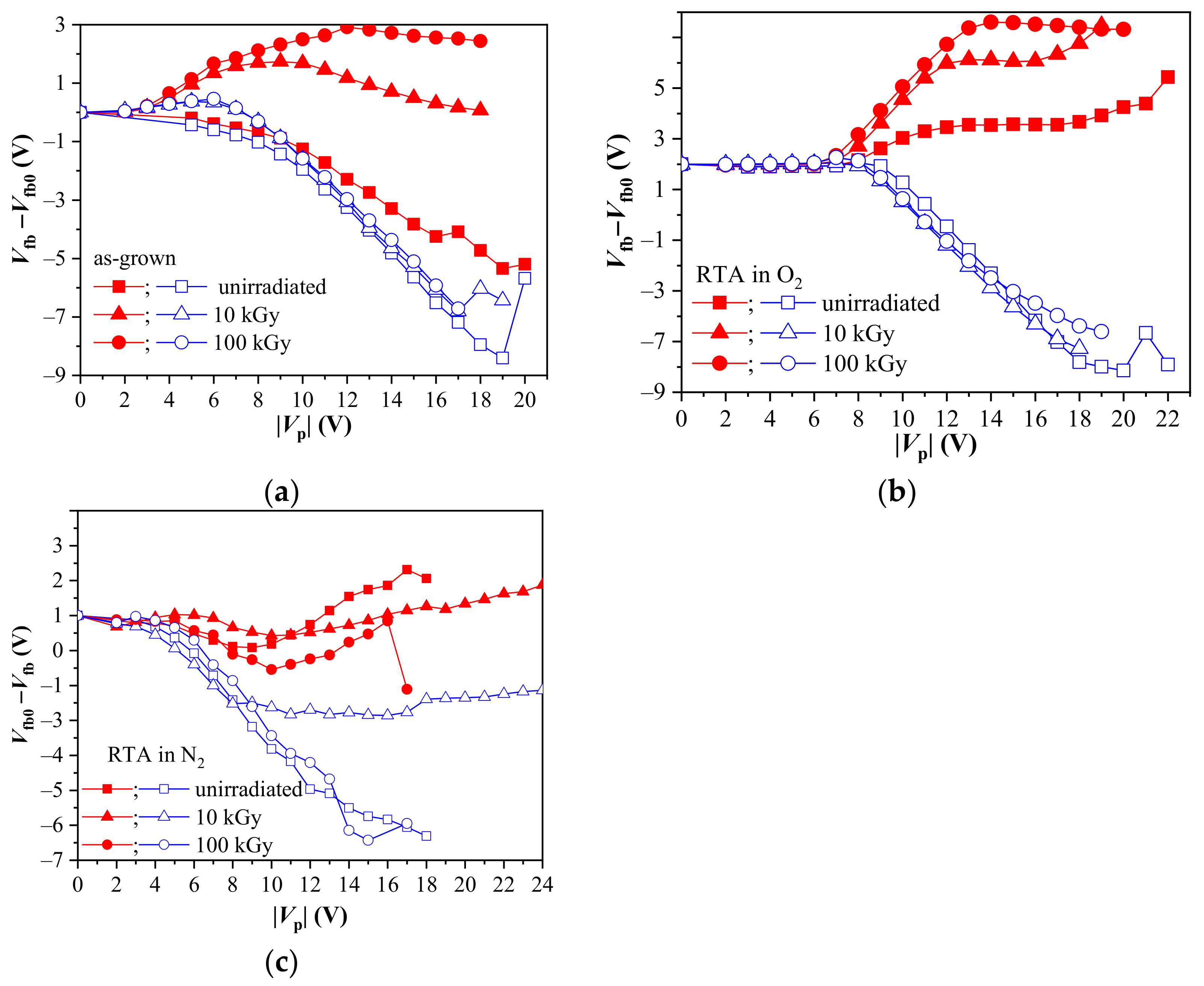
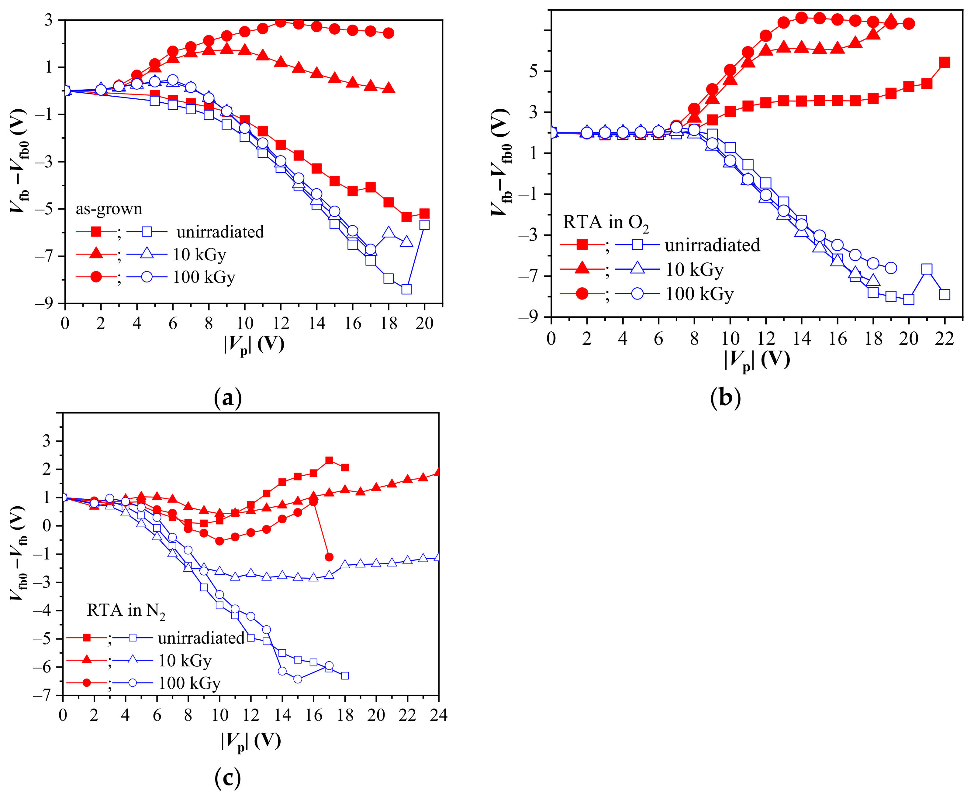
3.2. Memory Windows
- (1)
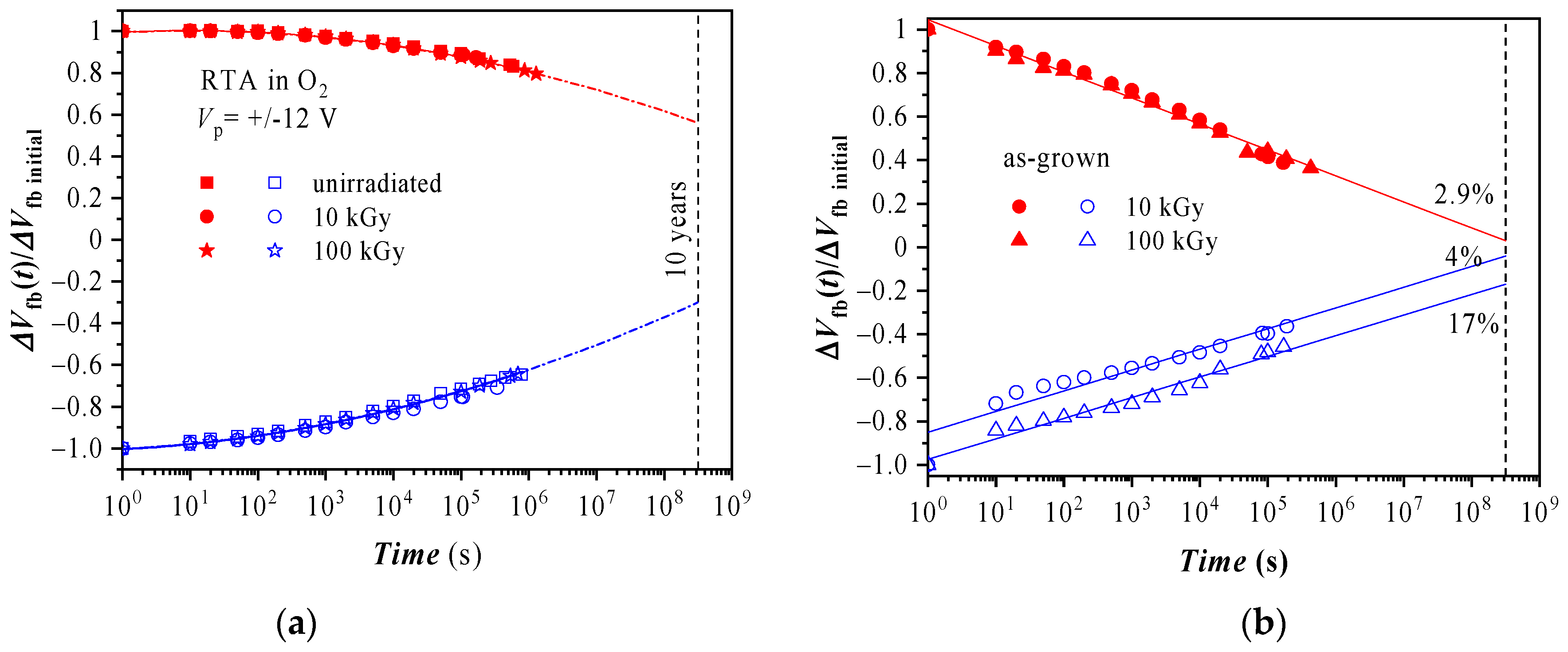
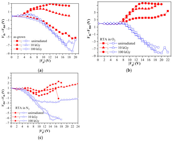
- The positive charge trapping is almost unaffected by irradiation for the as-grown and oxygen treated samples. Indeed, the irradiation slightly decreases the positive charge build-up in the as-grown stacks, and for the O2 annealed ones it is somewhat enhanced at Vp > 10–15 V. Though, the observed effects are small and it can be assumed that irradiation does not generate any new hole traps and does not change the positive charge build-up behavior for these structures. The case of the N2 treatment, however, is different. The 10 kGy irradiation slightly increases the positive charge trapping for Vp < 8 V, but for the higher Vp the magnitude of the Vfb shift saturates. For the 100 kGy irradiation the flat-band shift under negative Vp is almost the same as that for non-irradiated films. Therefore, the behavior of the positive charge build-up at γ exposure seems to correlate somehow with the effect of the irradiation on Qox for these samples. In other words, the high negative Qox at 10 kGy results in the reduced hole trapping, which is restored after the 100 kGy irradiation in accordance with the recovery of Qox to its non-irradiated values.
- (2)
- The data clearly indicate that γ-radiation boosts significantly electron trapping in both the O2 annealed stacks and the stacks without PDA. The 10 kGy irradiation of the as-deposited stack results in a noticeable Vfb shift due to the electron trapping which initially increases with voltage pulse magnitude up to ~9 V, and for higher Vp the flat-band voltage shift turns-around. Most likely, this kind of dependence is a consequence of interplay between positive charge accumulation and electron trapping at radiation-generated by traps with the domination of the first process. Moreover, a part of the positive charge is probably stress generated, as indicated by the results for non-irradiated stacks [31]. Since the generated electron traps increase with the dose, the turn-around effect for 100 kGy is weakly pronounced and begins at higher Vp. For the O2 annealed samples the flat-band voltage shift corresponding to electron trapping tends to saturate at level which increases with the γ-exposure dose. Hence, radiation-induced electron traps play a major role in the charge trapping while the effects of high field stress-induced positive charge are negligible. More complicated response to the radiation is found for stacks annealed in N2. The 10 kGy exposure increases electron trapping and negative charge accumulation, respectively up to Vp = 10 V. For higher Vp, the Vfb shift is smaller than the observed in non-irradiated layers. The dose of 100 kGy results in the same behavior of the flat-band voltage shift as for the pristine stacks, but with reduced electron trapping. The Vfb shift corresponding to the electron trapping for the N2 treated samples before and after irradiation exhibits a drop at about 9–10 V. This drop is the smallest for the 10 kGy dose and its location coincides with the beginning of the saturation of the positive charge build-up. Thus, the decrease of the electron related Vfb shift can be attributed to the electric stress-generated positive charge. With the further increase of electric field new electron traps might be created leading as well to an increase of the Vfb shift under positive Vp.
- (3)
- Because of the intensified electron trapping, the as-deposited and O2 annealed stacks demonstrate improved memory windows ΔV after irradiation. It is illustrated in Table 1, where ΔV values measured at |Vp| = 15 V are given. As is seen, the radiation-induced enhancement of the memory windows is larger for the as-grown films which is a result of a very weak electron trapping in the non-irradiated stacks. Since the irradiation (especially at higher doses) tends to level out the memory windows of the as-deposited and O2 annealed stacks, it might be suggested that the traps induced by oxygen annealing and by radiation have the same origin. This is further supported by the radiation response of the N2 annealed samples for which γ-radiation shrinks the memory windows due to the reduced electron trapping (and also hole trapping at 10 kGy). The behavior of these samples suggests that the defects developed by PDA in N2 are different compared to the as-grown and O2 annealed layers.
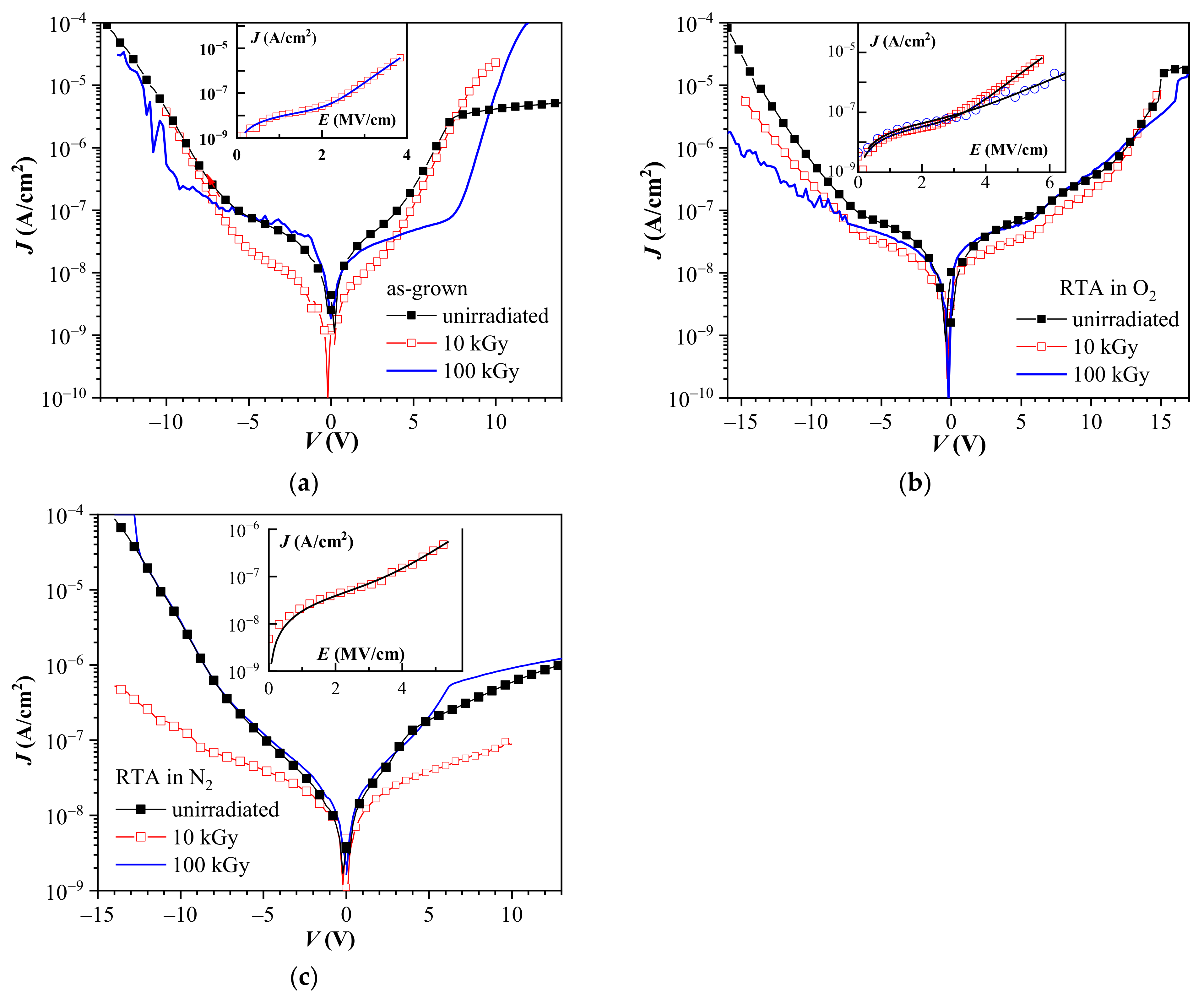
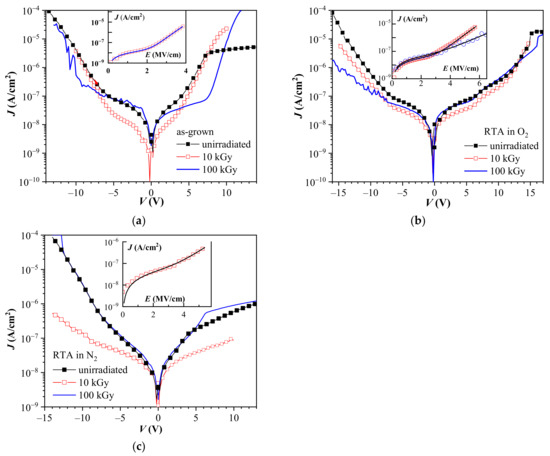
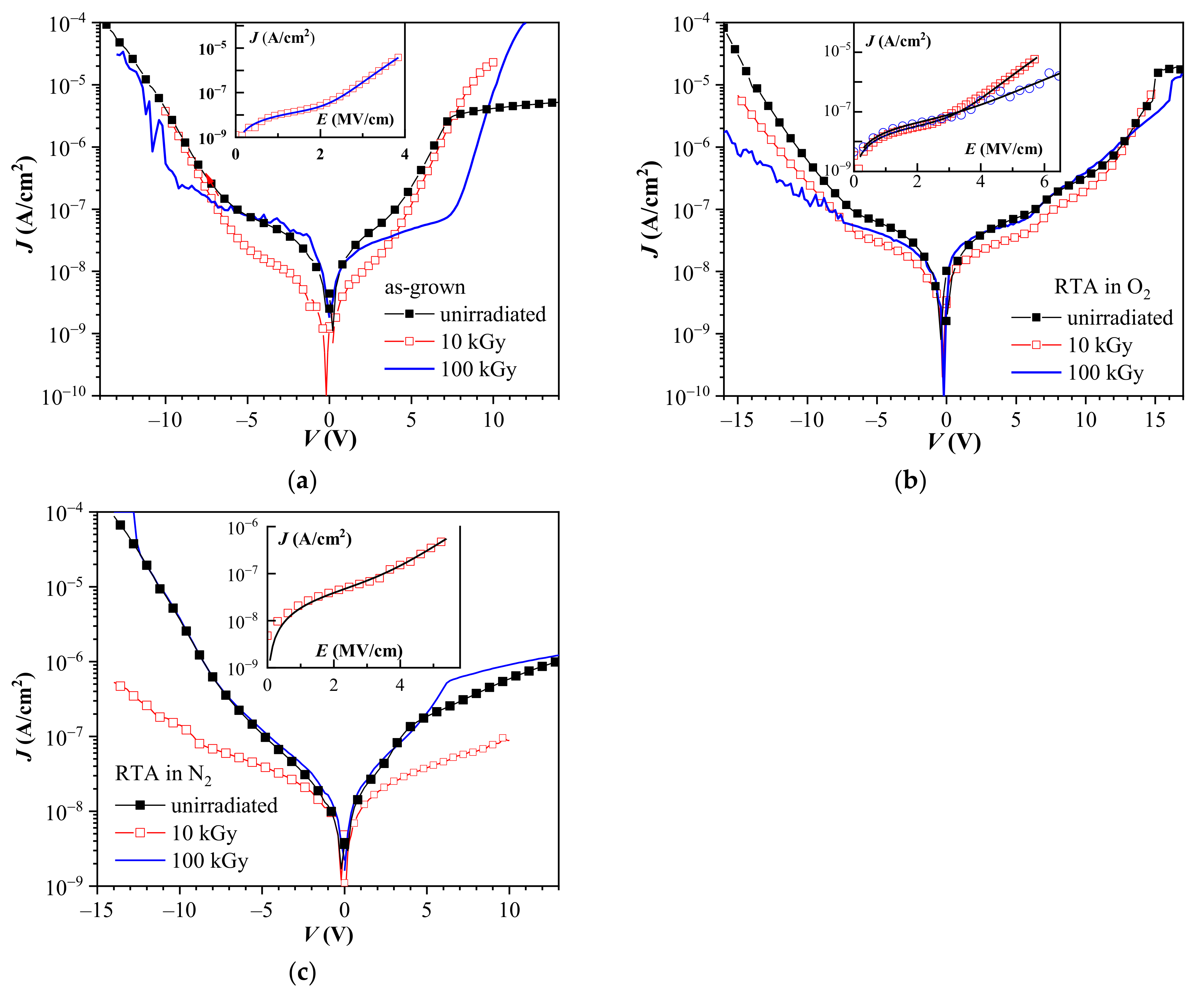
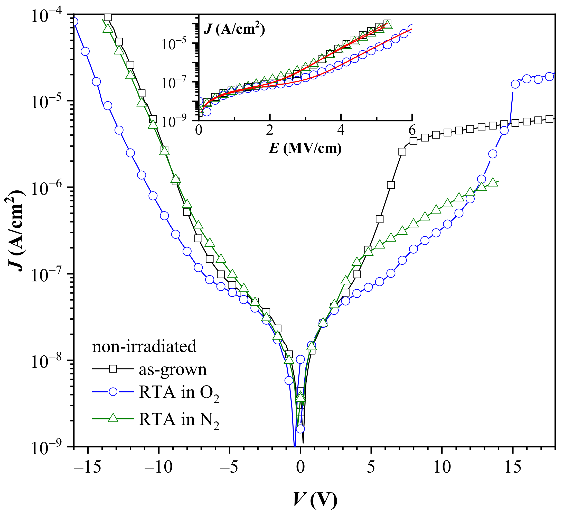
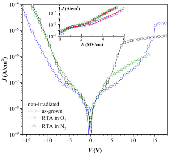
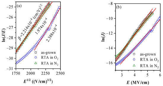
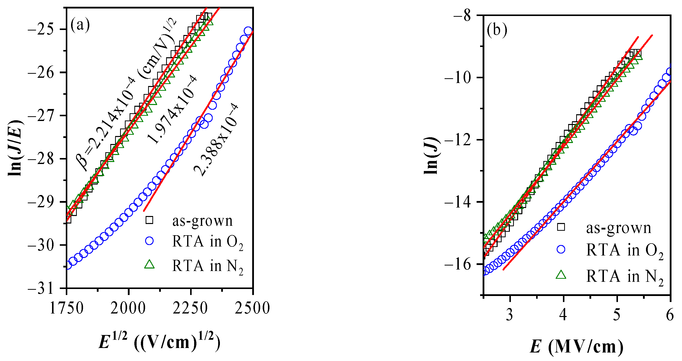
3.3. Leakage Currents and Conduction Mechanisms
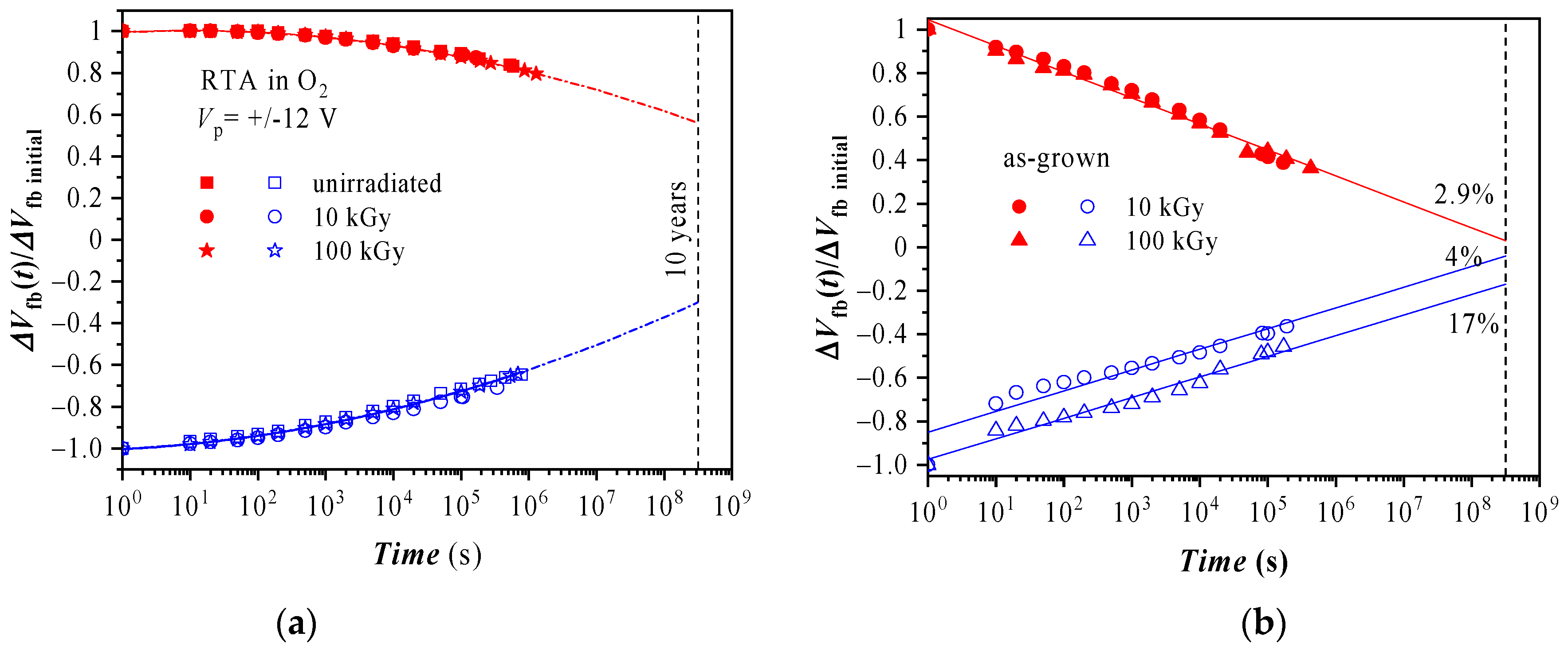
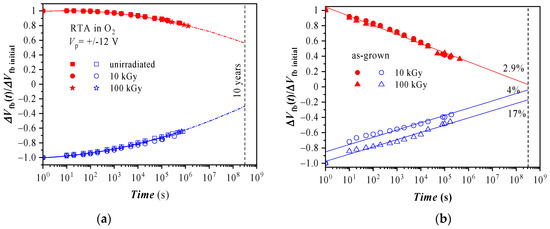
3.4. Retention Characteristics
4. Conclusions
Supplementary Materials
Author Contributions
Funding
Institutional Review Board Statement
Informed Consent Statement
Data Availability Statement
Acknowledgments
Conflicts of Interest
References
- Ji, H.; Wei, Y.; Ma, P.; Jiang, R. Improvement of Charge Injection by Using Separated SiN as Charge Trapping Layer in MONOS Charge Trap Flash Memory. IEEE J. Electron. Devices Soc. 2018, 6, 81–84. [Google Scholar] [CrossRef]
- Wei, C.Y.; Shen, B.; Ding, P.; Li1, A.D.; Xia, Y.D.; Xu, B.; Yin, J.; Liu, Z.G. Ta2O5-TiO2 Composite Charge-trapping Dielectric for the Application of the Nonvolatile Memory. Sci. Rep. 2017, 7, 5988. [Google Scholar] [CrossRef] [PubMed]
- Bing, B.; Wang, H.; Li, Y.; Hao, Y.; Zhang, B.; Wang, B.; Wang, Z.; Yang, H.; Gao, Q.; Lu, C.; et al. Charge trapping memory device based on the Ga2O3 films as trapping and blocking layer. Phys. B 2019, 28, 106802. [Google Scholar]
- Yang, T.; Wang, H.; Zhang, B.; Yan, X. Enhanced memory characteristics of charge trapping memory by employing graphene oxide quantum dots. Appl. Phys. Lett. 2020, 116, 103501. [Google Scholar] [CrossRef]
- Kadoshima, M.; Inoue, M.; Maruyama, T.; Matsuura, M. Large initial flatband voltage shifts in HfSiO2 high-kcharge trapping memory. J. Appl. Phys. 2019, 58, SBBA10. [Google Scholar] [CrossRef]
- Ramkumar, K. Materials and Device Reliability in SONOS Memories. In Book Charge-Trapping Non-Volatile Memories Volume 2—Emerging Materials and Structures; Dimitrakis, P., Ed.; Springer International Publishing AG: Cham, Switzerland, 2017; pp. 1–54. [Google Scholar]
- Zhao, C.; Zhao, C.Z.; Taylor, S.; Chalker, P.R. Review on Non-Volatile Memory with High-k Dielectrics: Flash for Generation Beyond 32 nm. Materials 2014, 7, 5117–5145. [Google Scholar] [CrossRef]
- You, H.W.; Cho, W.J. Charge trapping properties of the HfO2 layer with various thicknesses for charge trap flash memory applications. Appl. Phys. Lett. 2010, 96, 093506. [Google Scholar] [CrossRef]
- Zhu, C.; Huo, Z.; Xu, Z.; Zhang, M.; Wang, Q.; Liu, J.; Long, S.; Liu, M. Performance enhancement of multilevel cell nonvolatile memory by using a bandgap engineered high-k, trapping layer. Appl. Phys. Lett. 2010, 97, 253503. [Google Scholar] [CrossRef]
- Lan, X.; Ou, X.; Cao, Y.; Tang, S.; Gong, C.; Xu, B.; Xia, Y.; Yin, J.; Li, A.; Yan, F.; et al. The effect of thermal treatment induced inter-diffusion at the interfaces on the charge trapping performance of HfO2/Al2O3 nanolaminate-based memory devices. J. Appl. Phys. 2013, 114, 044104. [Google Scholar] [CrossRef]
- Paskaleva, A.; Rommel, M.; Hutzler, A.; Spassov, D.; Bauer, A.J. Tailoring the electrical properties of HfO2 MOS-devices by aluminum doping. ACS Appl. Mater. Interfaces 2015, 7, 17032–17043. [Google Scholar] [CrossRef] [PubMed]
- Felix, A.; Schwank, J.R.; Fleetwood, D.M.; Shaneyfelt, M.R.; Gusev, E.P. Effects of radiation and charge trapping on the reliability of high-k gate dielectrics. Microelectron. Reliab. 2004, 44, 563–575. [Google Scholar] [CrossRef]
- Dixit, S.K.; Zhou, X.J.; Schrimpf, R.D.; Fleetwood, D.M.; Pantelides, S.T.; Choi, R.; Bersuker, G.; Feldman, L.C. Radiation induced charge trapping in ultrathin HfO2-based MOSFETs. IEEE Trans. Nucl. Sci. 2007, 54, 1883–1890. [Google Scholar] [CrossRef]
- Kaya, S.; Jaksič, A.; Yilmaz, E. Co-60 gamma irradiation effects on electrical characteristics of HfO2 MOSFETs and specification of basic radiation-induced degradation mechanism. Radiat. Phys. Chem. 2018, 149, 7–13. [Google Scholar] [CrossRef]
- Suria, A.J.; Chiamori, H.C.; Shankar, A.; Senesky, D.G. Capacitance-voltage characteristics of gamma irradiated Al2O3, HfO2, and SiO2 thin films grown by plasma-enhanced atomic layer deposition. In Proceedings of the SPIE 9491 Sensors for Extreme Harsh Environments II, Baltimore, MD, USA, 13 May 2015; p. 949105. [Google Scholar]
- Dasgupta, A.; Fleetwood, D.M.; Reed, R.A.; Weller, R.A.; Mendenhall, M.H.; Sierawski, B.D. Dose enhancement and reduction in SiO2 and high-k MOS insulators. IEEE Trans. Nucl. Sci. 2010, 57, 3463–3469. [Google Scholar]
- Stanković, S.; Nikolić, D.; Kržanović, N.; Nadjdjerdj, L.; Davidović, V. Comparison of radiation characteristics of HfO2 and SiO2 incorporated in MOS capacitor in field of gamma and X radiation. In Proceedings of the IEEE 31st International Conference on Microelectronics (MIEL), Nis, Serbia, 16–18 September 2019; pp. 181–184. [Google Scholar]
- Bi, J.S.; Xu, Y.N.; Xu, G.; Wang, H.; Chen, L.; Liu, M. Total ionization dose effects on charge-trapping memory with Al2O3/HfO2/Al2O3 trilayer structure. IEEE Trans. Nucl. Sci. 2018, 65, 200–205. [Google Scholar] [CrossRef]
- Cao, S.; Ke, X.; Ming, S.; Wang, D.; Li, T.; Liu, B.; Ma, Y.; Li, Y.; Yang, Z.; Gong, M.; et al. Study of γ-ray radiation influence on SiO2/HfO2/Al2O3/HfO2/Al2O3 memory capacitor by C–V and DLTS. J. Mater. Sci. Mater. Electron. 2019, 30, 11079–11085. [Google Scholar] [CrossRef]
- Zhu, H.P.; Zheng, Z.S.; Li, B.; Li, B.H.; Zhang, G.P.; Li, D.L.; Gao, J.T.; Yang, L.; Cui, Y.; Liang, C.P.; et al. Total dose effect of Al2O3-based metal–oxide–semiconductor structures and its mechanism under gamma-ray irradiation. Semicond. Sci. Technol. 2018, 33, 115010. [Google Scholar] [CrossRef]
- Rafí, J.M.; Campabadal, F.; Ohyama, H.; Takakura, K.; Tsunoda, I.; Zabala, M.; Beldarrain, O.; González, M.B.; García, H.; Castán, H.; et al. 2 MeV electron irradiation effects on the electrical characteristics of metal–oxide–silicon capacitors with atomic layer deposited Al2O3, HfO2 and nanolaminated dielectrics. Solid State Electron. 2013, 79, 65–74. [Google Scholar] [CrossRef]
- Zhang, X.; Chen, L.; Wang, Z.S.; Zheng, H.P.; Zhu, B.L.; Gao, J.T.; Li, D.L.; Luo, J.J.; Han, Z.S.; Song, C.; et al. Studies of radiation effects in Al2O3-based metal-oxide-semiconductor structures induced by Si heavy ions. J. Appl. Phys. 2019, 125, 115701. [Google Scholar] [CrossRef]
- García, H.; González, M.B.; Mallol, M.M.; Castán, H.; Dueñas, S.; Campabadal, F.; Acero, M.C.; Salomone, L.S.; Faigón, A. Electrical Characterization of Defects Created by γ-Radiation in HfO2-Based MIS Structures for RRAM Applications. J. Electron. Mater. 2018, 47, 5013–5018. [Google Scholar] [CrossRef]
- Li, Y.; Ma, Y.; Lin, W.; Dong, P.; Yang, Z.; Gong, M.; Bi, J.; Li, B.; Xi, K.; Xu, G. Study of γ-ray irradiation influence on TiN/HfO2/Si MOS capacitor by C-V and DLTS. Superlattices Microstruct. 2018, 120, 313–318. [Google Scholar] [CrossRef]
- Kang, A.Y.; Lenahan, P.M.; Conley, J.F. The radiation response of the high dielectric-constant hafnium oxide/silicon system. IEEE Trans. Nucl. Sci. 2002, 49, 2636–2642. [Google Scholar] [CrossRef]
- Maurya, S. Effect of zero bias Gamma ray irradiation on HfO2 thin films. J. Mater. Sci. Mater. Electron. 2016, 27, 12796–12802. [Google Scholar] [CrossRef]
- Maurya, S. Interface modification by irradiation with alpha particles. J. Mater. Sci. Mater. Electron. 2017, 28, 17442–17447. [Google Scholar] [CrossRef]
- Shashank, V.S.; Sharma, S.K.; Shekhawat, R.S.; Kumar, D.; Nahar, R.K. Frequency dependence studies on the interface trap density and series resistance of HfO2 gate dielectric deposited on Si substrate: Before and after 50 MeV Li3+ ions irradiation. Nucl. Instrum. Methods Phys. Res. Sect. B 2011, 269, 2765–2770. [Google Scholar]
- Ding, M.; Cheng, Y.; Liu, X.; Li, X. Total Dose Response of Hafnium Oxide based Metal-Oxide-Semiconductor Structure under Gamma-ray Irradiation. IEEE Trans. Dielectr. Electr. Insul. 2014, 21, 1792–1800. [Google Scholar] [CrossRef]
- Lin, S.; Wu, Y.L.; Hwang, Y.H.; Lin, J.J. Study of radiation hardness of HfO2-based resistive switching memory at nanoscale by conductive atomic force microscopy. Microelectron. Reliab. 2015, 55, 2224–2228. [Google Scholar] [CrossRef]
- Spassov, D.; Paskaleva, A.; Krajewski, T.A.; Guziewicz, E.; Luka, G.; Ivanov, T. Al2O3/HfO2 Multilayer High-k Dielectric Stacks for Charge Trapping Flash Memories. Phys. Status Solidi A 2018, 215, 1700854. [Google Scholar] [CrossRef]
- Spassov, D.; Paskaleva, A.; Krajewski, T.A.; Guziewicz, E.; Luka, G. Hole and electron trapping in HfO2/Al2O3 nanolaminated stacks for emerging non-volatile flash memories. Nanotechnology 2018, 29, 505206. [Google Scholar] [CrossRef]
- Yoo, J.; Kim, S.; Jeon, W.; Park, A.; Choi, D.; Choi, B. A Study on the Charge Trapping Characteristics of High-k Laminated Traps. IEEE Electron. Device Lett. 2019, 40, 1427–1430. [Google Scholar] [CrossRef]
- Simon, D.K.; Jordan, P.M.; Mikolajick, T.; Dirnstorfer, I. On the Control of the Fixed Charge Densities in Al2O3-Based Silicon Surface Passivation Schemes. ACS Appl. Mater. Interfaces 2015, 7, 28215–28222. [Google Scholar] [CrossRef] [PubMed]
- Pawlik, M.; Vilcot, J.P.; Halbwax, M.; Aureau, D.; Etcheberry, A.; Slaoui, A.; Schutz-Kuchly, T.; Cabl, R. Electrical and Chemical studies on Al2O3 passivation activation process. Energy Procedia 2014, 60, 85–89. [Google Scholar] [CrossRef]
- Cho, M.; Moon, D.; Park, S.; Kim, Y.K.; Jeong, K.; Kang, S.; Ko, D.H.; Doh, S.; Lee, J.; Lee, N. Interfacial characteristics of N-incorporated HfAlO high-k thin films. Appl. Phys. Lett. 2004, 84, 5243–5245. [Google Scholar] [CrossRef]
- Materlik, R.; Künneth, C.; Falkowski, M.; Mikolajick, T.; Kersch, A. Al-, Y-, and La-doping effects favoring intrinsic and field induced ferroelectricity in HfO2: A first principles study. J. Appl. Phys. 2018, 123, 164101. [Google Scholar] [CrossRef]
- Chandreswar, M.; Sungjun, K. Modified resistive switching performance by increasing Al concentration in HfO2 on transparent indium tin oxide electrode. Ceram. Int. 2021, 47, 1199–1207. [Google Scholar]
- Hino, S.; Nakayama, M.; Takashi, K.; Funakubo, H.; Tokumitsu, E. Characterization of Hafnium Oxide Thin Films by Source Gas Pulse Introduced Metalorganic Chemical Vapor Deposition Using Amino-Family Hf Precursors. J. Appl. Phys. 2003, 42, 6015–6018. [Google Scholar] [CrossRef]
- Park, I.S.; Lee, T.; Choi, D.K.; Ahn, J. Metal Precursor Effects on Deposition and Interfacial Characteristics of HfO2 Dielectrics Grown by Atomic Layer Deposition. J. Phys. Soc. 2006, 49, S544–S547. [Google Scholar]
- Yang, Y.L.; Zhang, W.; Cheng, C.Y.; Huang, Y.P.; Chen, P.T.; Hsu, C.W.; Chin, L.K.; Lin, C.T.; Hsu, C.H.; Lai, C.M.; et al. Reliability Improvement of 28-nm High-k /Metal Gate-Last MOSFET Using Appropriate Oxygen Annealing. IEEE Electron. Device Lett. 2012, 33, 1183–1185. [Google Scholar] [CrossRef]
- Lemberger, M.; Paskaleva, A.; Zürcher, S.; Bauer, A.J.; Frey, L.; Ryssel, H. Electrical properties of hafnium silicate films obtained from a single-source MOCVD precursor. Microelectron. Reliab. 2005, 45, 819–822. [Google Scholar] [CrossRef]
- Kukli, K.; Pilvi, T.; Ritala, M.; Sajavaara, T.; Lu, J.; Leskelä, M. Atomic layer deposition of hafnium dioxide thin films from hafnium tetrakis (dimethylamide) and water. Thin Solid Films 2005, 491, 328–338. [Google Scholar] [CrossRef]
- García, H.; Castán, H.; Dueñas, S.; Bailón, L.; Campabadal, F.; Beldarrain, O.; Zabala, M.; González, M.B.; Rafí, J.M. Electrical characterization of atomic-layer-deposited hafnium oxide films from hafnium tetrakis(dimethylamide) and water/ozone: Effects of growth temperature, oxygen source, and postdeposition annealing. J. Vac. Sci. Technol. A 2013, 31, 01A127. [Google Scholar] [CrossRef]
- Kumar, A.; Mondal, S.; Koteswara Rao, K.S.R. Structural, electrical, band alignment and charge trapping, analysis of nitrogen-annealed Pt/HfO2/p-Si (100) MIS devices. Appl. Phys. A 2016, 122, 1027. [Google Scholar] [CrossRef]
- Zhu, W.; Ma, T.P. HfO2 and HfAlO for CMOS: Thermal Stability and Current Transport. IEDM Tech. Digest 2001, 20.4.1–20.4.4. [Google Scholar] [CrossRef]
- Simmons, J.G. Poole-Frenkel effect and Schottky effect in Metal-Insulator-Metal systems. Phys. Rev. 1966, 155, 657. [Google Scholar] [CrossRef]
- Yeargan, J.R.; Taylor, H.L. The Poole-Frenkel Effect with Compensation Present. J. Appl. Phys. 1968, 39, 5600–5604. [Google Scholar] [CrossRef]
- Harrell, W.R.; Cordella, T.; Poole, K. Implications of non-linearPoole–Frenkel plots on high-kdielectric leakage. ECS Trans. 2006, 1, 705–716. [Google Scholar] [CrossRef]
- Sukham, J.; Takayama, O.; Mahmoodi, M.; Sychev, S.; Bogdanov, A.; Tavassoli, S.H.; Lavrinenko, A.V.; Malureanu, R. Investigation of effective media applicability for ultrathin multilayer structures. Nanoscale 2019, 11, 12582–12588. [Google Scholar] [CrossRef]
- Kruschwitz, J.D.T.; Pawlewicz, W.T. Optical and durability properties of infrared transmitting thin films. Appl. Optics 1997, 36, 2157–2159. [Google Scholar] [CrossRef]
- Gervais, F. Aluminum Oxide (Al2O3). In Book Handbook of Optical Constants of Solids; Palik, E.D., Ed.; Academic Press: London, UK, 1991; Volume 2, pp. 761–775. [Google Scholar]
- De Salvo, B.; Ghibaudo, G.; Pananakakis, G.; Guillaumot, B.; Reimbold, G. A general bulk-limited transport analysis of a 10 nm-thick oxide stress-induced leakage current. Solid State Electron. 2000, 44, 895–903. [Google Scholar] [CrossRef]
- Schroeder, H. Poole-Frenkel-effect as dominating current mechanism in thin oxide films—An illusion? J. Appl. Phys. 2015, 117, 215103. [Google Scholar] [CrossRef]
- Lehovec, K.; Fedotowsky, A. Charge retention of MNOS devices limited by Frenkel-Poole detrapping. Appl. Phys. Lett. 1978, 32, 335–338. [Google Scholar] [CrossRef]
- McWhorter, P.J.; Miller, S.L.; Miller, W.M. Modeling the anneal of radiation-induced trapped holes in a varying thermal environment. IEEE Trans. Nucl. Sci. 1990, 37, 1682–1689. [Google Scholar] [CrossRef]
- Kamohara, S.; Okumura, T. New physical model to explain logarithmic time dependence of data, retention in flash EEPROM. Appl. Surf. Sci. 2008, 254, 6174–6176. [Google Scholar] [CrossRef]







| Dose | Memory Window, ΔV (V) | ||
|---|---|---|---|
| As-Deposited | RTA in O2 | RTA in N2 | |
| Before Irradiation | 1.8 | 6.8 | 6.5 |
| 10 kGy | 5.8 | 9.7 | 2.7 |
| 100 kGy | 7.7 | 10.6 | 5.9 |
Publisher’s Note: MDPI stays neutral with regard to jurisdictional claims in published maps and institutional affiliations. |
© 2021 by the authors. Licensee MDPI, Basel, Switzerland. This article is an open access article distributed under the terms and conditions of the Creative Commons Attribution (CC BY) license (http://creativecommons.org/licenses/by/4.0/).
Share and Cite
Spassov, D.; Paskaleva, A.; Guziewicz, E.; Davidović, V.; Stanković, S.; Djorić-Veljković, S.; Ivanov, T.; Stanchev, T.; Stojadinović, N. Radiation Tolerance and Charge Trapping Enhancement of ALD HfO2/Al2O3 Nanolaminated Dielectrics. Materials 2021, 14, 849. https://doi.org/10.3390/ma14040849
Spassov D, Paskaleva A, Guziewicz E, Davidović V, Stanković S, Djorić-Veljković S, Ivanov T, Stanchev T, Stojadinović N. Radiation Tolerance and Charge Trapping Enhancement of ALD HfO2/Al2O3 Nanolaminated Dielectrics. Materials. 2021; 14(4):849. https://doi.org/10.3390/ma14040849
Chicago/Turabian StyleSpassov, Dencho, Albena Paskaleva, Elżbieta Guziewicz, Vojkan Davidović, Srboljub Stanković, Snežana Djorić-Veljković, Tzvetan Ivanov, Todor Stanchev, and Ninoslav Stojadinović. 2021. "Radiation Tolerance and Charge Trapping Enhancement of ALD HfO2/Al2O3 Nanolaminated Dielectrics" Materials 14, no. 4: 849. https://doi.org/10.3390/ma14040849
APA StyleSpassov, D., Paskaleva, A., Guziewicz, E., Davidović, V., Stanković, S., Djorić-Veljković, S., Ivanov, T., Stanchev, T., & Stojadinović, N. (2021). Radiation Tolerance and Charge Trapping Enhancement of ALD HfO2/Al2O3 Nanolaminated Dielectrics. Materials, 14(4), 849. https://doi.org/10.3390/ma14040849

