Effect of Phase Changes on the Axial Modulus of an FeMnSi-Shape Memory Alloy
Abstract
:1. Introduction
2. Materials and Methods
2.1. Test Procedure for Determining ESMA(κ0) before Pre-Straining and ESMA(κ1) after Pre-Straining
2.2. Test Procedure for the Determination of ESMA(κ) during Activation
2.3. Mechanisms Governing the Value of ESMA(κ)
3. Results and Discussion
3.1. The ESMA(κ) before and after Pre-Straining
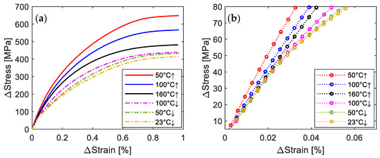
3.2. The ESMA (50 °C ↑) and ESMA (50 °C ↓) in Activation
3.3. The ESMA(κ) during the Activation
4. Conclusions and Outlook
- The ESMA(κ) is mainly determined by phase transformation, plastic deformation and temperature.
- The axial modulus during the re-loading after pre-straining is larger than that during the pre-straining. This is because the amount of unstable γ-austenite is less in the pre-strained specimen compared to the as-received alloy, resulting in less γ→ɛ phase transformation in the pre-strained specimen at the beginning of the stress-strain curve, and accordingly, a larger ESMA(κ1) than ESMA(κ0).
- The evolution of ESMA(κ) during the activation process of the specimens initially pre-strained to 2% and 4% keeps decreasing as the activation process proceeds until the thermal cycle is done. At the later stage of the activation process and during the tensile loading for ESMA(κ) evaluation, more γ→ɛ phase transformation and plastic deformation can occur, and therefore lead to a smaller ESMA(κ).
- The values of ESMA(κ) for the specimens initially pre-strained to 4% are slightly larger than those for the specimens initially pre-strained to 2% at the same heating temperature. This is because pre-straining to 4% can result in a larger extent of γ→ɛ phase transformation (and plastic deformation) in comparison to 2% pre-straining, and therefore lead to less γ→ɛ phase transformation during the tensile loading at the ESMA testing point, i.e., a higher ESMA(κ).
- Microstructure investigation (e.g., electron backscattered diffraction and X-ray diffraction) is recommended in future work to characterize the phase transformation during the pre-straining and activation process.
Author Contributions
Funding
Institutional Review Board Statement
Informed Consent Statement
Data Availability Statement
Acknowledgments
Conflicts of Interest
References
- Stoeckel, D. Shape memory actuators for automotive applications. Mater. Des. 1990, 11, 302–307. [Google Scholar] [CrossRef]
- Sawaguchi, T.; Sahu, P.; Kikuchi, T.; Ogawa, K.; Kajiwara, S.; Kushibe, A.; Higashino, M.; Ogawa, T. Vibration mitigation by the reversible fcc/hcp martensitic transformation during cyclic tension–compression loading of an Fe–Mn–Si-based shape memory alloy. Scr. Mater. 2006, 54, 1885–1890. [Google Scholar] [CrossRef]
- Kim, B.; Lee, M.G.; Lee, Y.P.; Kim, Y.; Lee, G. An earthworm-like micro robot using shape memory alloy actuator. Sens. Actuators A Phys. 2006, 125, 429–437. [Google Scholar] [CrossRef]
- Hartl, D.J.; Lagoudas, D.C. Aerospace applications of shape memory alloys. Proc. Inst. Mech. Eng. Part G J. Aerosp. Eng. 2007, 221, 535–552. [Google Scholar] [CrossRef] [Green Version]
- Schranz, B.; Michels, J.; Czaderski, C.; Motavalli, M.; Vogel, T.; Shahverdi, M. Strengthening and prestressing of bridge decks with ribbed iron-based shape memory alloy bars. Eng. Struct. 2021, 241, 112467. [Google Scholar] [CrossRef]
- Yang, Y.; Arabi-Hashemi, A.; Leinenbach, C.; Shahverdi, M. Influence of thermal treatment conditions on recovery stress formation in an FeMnSi-SMA. Mater. Sci. Eng. A 2021, 802, 140694. [Google Scholar] [CrossRef]
- Yang, Y.; Arabi-Hashemi, A.; Leinenbach, C.; Shahverdi, M. Improvement of FeMnSi Based Shape Memory Alloys Yield Stress by Heat Treatment. In Proceedings of the 5th SMAR Conference, Potsdam, Germany, 27–29 August 2019. [Google Scholar]
- Arabi-Hashemi, A.; Polatidis, E.; Smid, M.; Panzner, T.; Leinenbach, C. Grain orientation dependence of the forward and reverse fcc↔ hcp transformation in FeMnSi-based shape memory alloys studied by in situ neutron diffraction. Mater. Sci. Eng. A 2020, 782, 139261. [Google Scholar] [CrossRef]
- Arabi-Hashemi, A.; Lee, W.; Leinenbach, C. Recovery stress formation in FeMnSi based shape memory alloys: Impact of precipitates, texture and grain size. Mater. Des. 2018, 139, 258–268. [Google Scholar] [CrossRef]
- Kajiwara, S. Characteristic features of shape memory effect and related transformation behavior in Fe-based alloys. Mater. Sci. Eng. A 1999, 273, 67–88. [Google Scholar] [CrossRef]
- Cladera, A.; Weber, B.; Leinenbach, C.; Czaderski, C.; Shahverdi, M.; Motavalli, M. Iron-based shape memory alloys for civil engineering structures: An overview. Constr. Build. Mater. 2014, 63, 281–293. [Google Scholar] [CrossRef]
- Czaderski, C.; Shahverdi, M.; Ghafoori, E.; Motavalli, M.; Leinenbach, C.; Arabi-Hashemi, A.; Michels, J.; Scherer, J. The development of memory steel at Empa. In Proceedings of the 5th International Conference on Smart Monitoring, Assessment and Rehabilitation of Civil Structures (SMAR), Potsdam, Germany, 27–29 August 2019. [Google Scholar]
- Re-fer Strengthening Solutions. Available online: www.re-fer.eu (accessed on 18 April 2020).
- Schranz, B.; Czaderski, C.; Vogel, T.; Shahverdi, M. Bond investigations of prestressed, near-surface-mounted, ribbed memory-steel bars with full bond length. Mater. Des. 2020, 196, 109145. [Google Scholar] [CrossRef]
- Abouali, S.; Shahverdi, M.; Ghassemieh, M.; Motavalli, M. Nonlinear simulation of reinforced concrete beams retrofitted by near-surface mounted iron-based shape memory alloys. Eng. Struct. 2019, 187, 133–148. [Google Scholar] [CrossRef]
- Dolatabadi, N.; Shahverdi, M.; Ghassemieh, M.; Motavalli, M. RC Structures Strengthened by an Iron-Based Shape Memory Alloy Embedded in a Shotcrete Layer—Nonlinear Finite Element Modeling. Materials 2020, 13, 5504. [Google Scholar] [CrossRef]
- Schranz, B.; Czaderski, C.; Vogel, T.; Shahverdi, M. Bond behaviour of ribbed near-surface-mounted iron-based shape memory alloy bars with short bond lengths. Mater. Des. 2020, 191, 108647. [Google Scholar] [CrossRef]
- Michels, J.; Shahverdi, M.; Czaderski, C. Flexural strengthening of structural concrete with iron-based shape memory alloy strips. Struct. Concr. 2018, 19, 876–891. [Google Scholar] [CrossRef]
- Shahverdi, M.; Czaderski, C.; Motavalli, M. Iron-based shape memory alloys for prestressed near-surface mounted strengthening of reinforced concrete beams. Constr. Build. Mater. 2016, 112, 28–38. [Google Scholar] [CrossRef]
- Lee, W.; Weber, B.; Leinenbach, C. Recovery stress formation in a restrained Fe–Mn–Si-based shape memory alloy used for prestressing or mechanical joining. Constr. Build. Mater. 2015, 95, 600–610. [Google Scholar] [CrossRef]
- Yang, Y.; Breveglieri, M.; Shahverdi, M. Axial stiffness of an Fe-SMA during the activation process. In Proceedings of the SMAR 2019—Fifth Conference on Smart Monitoring, Assessment and Rehabilitation of Civil Structures, Potsdam, Germany, 27–29 August 2019; pp. 1–8. [Google Scholar]
- Shahverdi, M.; Michels, J.; Czaderski, C.; Motavalli, M. Iron-based shape memory alloy strips for strengthening RC members: Material behavior and characterization. Constr. Build. Mater. 2018, 173, 586–599. [Google Scholar] [CrossRef]
- Leinenbach, C.; Arabi-Hashemi, A.; Lee, W.; Lis, A.; Sadegh-Ahmadi, M.; Van Petegem, S.; Panzner, T.; Van Swygenhoven, H. Characterization of the deformation and phase transformation behavior of VC-free and VC-containing FeMnSi-based shape memory alloys by in situ neutron diffraction. Mater. Sci. Eng. A 2017, 703, 314–323. [Google Scholar] [CrossRef]
- Brooks, J.; Loretto, M.; Smallman, R. Direct observations of martensite nuclei in stainless steel. Acta Metall. 1979, 27, 1839–1847. [Google Scholar] [CrossRef]
- Gardner, L.; Insausti, A.; Ng, K.; Ashraf, M. Elevated temperature material properties of stainless steel alloys. J. Constr. Steel Res. 2010, 66, 634–647. [Google Scholar] [CrossRef] [Green Version]
- Leinenbach, C.; Lee, W.; Lis, A.; Arabi-Hashemi, A.; Cayron, C.; Weber, B. Creep and stress relaxation of a FeMnSi-based shape memory alloy at low temperatures. Mater. Sci. Eng. A 2016, 677, 106–115. [Google Scholar] [CrossRef] [Green Version]
- Ledbetter, H. Dynamic vs. static Young’s moduli: A case study. Mater. Sci. Eng. A 1993, 165, L9–L10. [Google Scholar] [CrossRef]
- Zhang, Q.; Zhang, J.; Zhao, P.; Huang, Y.; Yu, Z.; Fang, X. Low-cycle fatigue behaviors of a new type of 10% Cr martensitic steel and welded joint with Ni-based weld metal. Int. J. Fatigue 2016, 88, 78–87. [Google Scholar] [CrossRef]
- Li, X.; Holdsworth, S.R.; Mazza, E.; Hosseini, E. Comparison of primary creep regeneration and anelastic recovery behaviour of 316H austenitic and 10% Cr martensitic steels. Mech. Mater. 2020, 148, 103474. [Google Scholar] [CrossRef]
- Li, X.; Holdsworth, S.; Kalácska, S.; Balogh, L.; Park, J.-S.; Dasilva, Y.A.R.; Maeder, X.; Cocks, A.; Mazza, E.; Hosseini, E. In-situ and ex-situ microstructure studies and dislocation-based modelling for primary creep regeneration response of 316H stainless steel. Acta Mater. 2021, 216, 117130. [Google Scholar] [CrossRef]
- Li, X.; Holdsworth, S.R.; Kalácska, S.; Balogh, L.; Park, J.-S.; Sologubenko, A.; Maeder, X.; Kabra, S.; Mazza, E.; Hosseini, E. Primary creep regeneration in 10% Cr martensitic steel: In-situ and ex-situ microstructure studies. Mater. Des. 2021, 199, 109405. [Google Scholar] [CrossRef]












| Process | Interrupted Temperature [°C] | Symbol | Pre-Straining [%] | Experiment Number | 
|---|---|---|---|---|
| Heating | 50 | 50 °C ↑ | 2 | 2 | 
| 100 | 100 °C ↑ | 2 | 2 | |
| 4 | 1 | |||
| 160 | 160 °C ↑ | 2 | 2 | |
| 4 | 1 | |||
| Cooling | 100 | 100 °C ↓ | 2 | 2 | 
| 4 | 1 | |||
| 50 | 50 °C ↓ | 2 | 2 | |
| 4 | 1 | |||
| 23 | 23 °C ↓ | 2 | 2 | 
| Pre-Straining to 2% | Pre-Straining to 4% | ||||||
|---|---|---|---|---|---|---|---|
| ESMA(κ0) [GPa] | ESMA(κ0) [GPa] | ESMA(κ0) [GPa] | ESMA(κ0) [GPa] | ||||
| 175 | 0.9998 | 170 | 0.9999 | 184 | 1.0000 | 173 | 0.9999 | 
| 174 | 0.9999 | 188 | 1.0000 | 182 | 1.0000 | 183 | 0.9998 | 
| 182 | 1.0000 | 184 | 0.9999 | 171 | 0.9999 | 188 | 0.9999 | 
| 189 | 0.9998 | 184 | 1.0000 | 182 | 1.0000 | 185 | 1.0000 | 
| 178 | 0.9999 | 173 | 1.0000 | 178 | 1.0000 | ||
| Pre-Straining [%] | Temperature [°C] | σ0 [MPa] | ESMAκ [GPa] | R2 | 
|---|---|---|---|---|
| 2 | 50 °C ↑ | 29 | 239 | 0.999 | 
| 2 | 24 | 232 | 0.998 | |
| 2 | 100 °C ↑ | 68 | 202 | 1.000 A | 
| 2 | 71 | 201 | 0.999 | |
| 4 | 75 | 220 | 0.998 | |
| 2 | 160 °C ↑ | 92 | 182 | 1.000 A | 
| 2 | 93 | 186 | 0.999 | |
| 4 | 100 | 207 | 0.999 | |
| 2 | 100 °C ↓ | 217 | 157 | 0.995 | 
| 2 | 219 | 155 | 0.985 | |
| 4 | 225 | 166 | 0.994 | |
| 2 | 50 °C ↓ | 286 | 128 | 0.962 | 
| 2 | 281 | 145 | 0.997 | |
| 4 | 287 | 131 | 0.958 | |
| 2 | 23 °C ↓ | 312 | 133 | 0.983 | 
| 2 | 311 | 134 | 0.983 | 
| Publisher’s Note: MDPI stays neutral with regard to jurisdictional claims in published maps and institutional affiliations. | 
© 2021 by the authors. Licensee MDPI, Basel, Switzerland. This article is an open access article distributed under the terms and conditions of the Creative Commons Attribution (CC BY) license (https://creativecommons.org/licenses/by/4.0/).
Share and Cite
Yang, Y.; Breveglieri, M.; Shahverdi, M. Effect of Phase Changes on the Axial Modulus of an FeMnSi-Shape Memory Alloy. Materials 2021, 14, 4815. https://doi.org/10.3390/ma14174815
Yang Y, Breveglieri M, Shahverdi M. Effect of Phase Changes on the Axial Modulus of an FeMnSi-Shape Memory Alloy. Materials. 2021; 14(17):4815. https://doi.org/10.3390/ma14174815
Chicago/Turabian StyleYang, Yajiao, Matteo Breveglieri, and Moslem Shahverdi. 2021. "Effect of Phase Changes on the Axial Modulus of an FeMnSi-Shape Memory Alloy" Materials 14, no. 17: 4815. https://doi.org/10.3390/ma14174815
APA StyleYang, Y., Breveglieri, M., & Shahverdi, M. (2021). Effect of Phase Changes on the Axial Modulus of an FeMnSi-Shape Memory Alloy. Materials, 14(17), 4815. https://doi.org/10.3390/ma14174815
 
         
                                                



 
       