Evaluation of the Mechanical, Thermal and Rheological Properties of Recycled Polyolefins Rice-hull Composites
Abstract
1. Introduction
2. Materials and Methods
2.1. Materials
2.2. Composite Fabrication
2.3. Composite Characterization
2.3.1. Particle Size Measurement
2.3.2. Differential Scanning Calorimetry (DSC)
2.3.3. Melt Flow Rate
2.3.4. Thermogravimetric Analysis (TGA)
2.3.5. Thermomechanical Analysis (TMA)
2.3.6. Tensile Testing
2.3.7. Rheology
Dynamic Rotational Rheology
Capillary Rheology
2.3.8. Fourier-Transform Infrared Spectroscopy (FTIR)
2.3.9. Water Soak
2.4. Data Analysis
3. Results
3.1. Properties of Rice-Hull Particles
3.2. Density and Tensile Properties
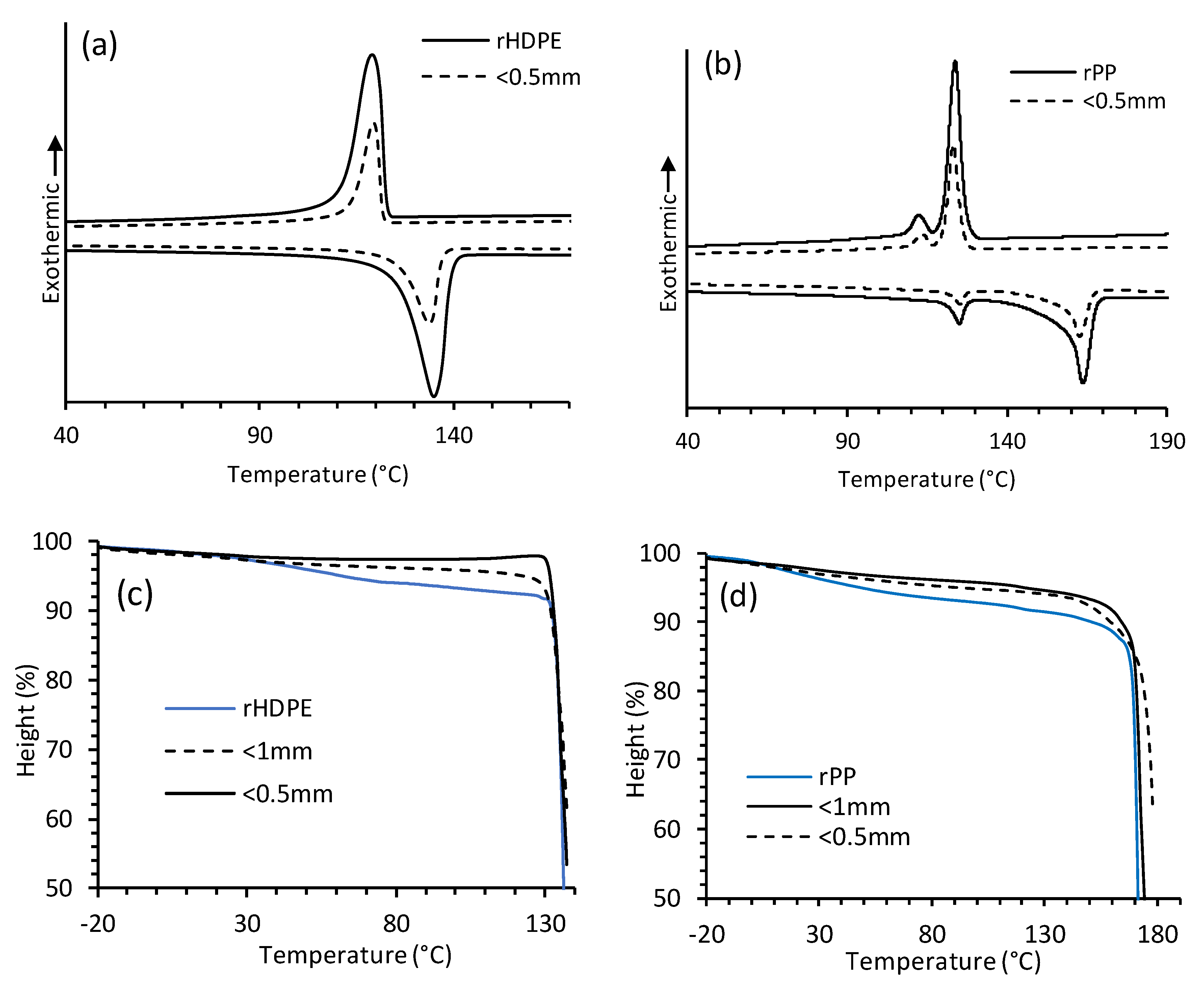
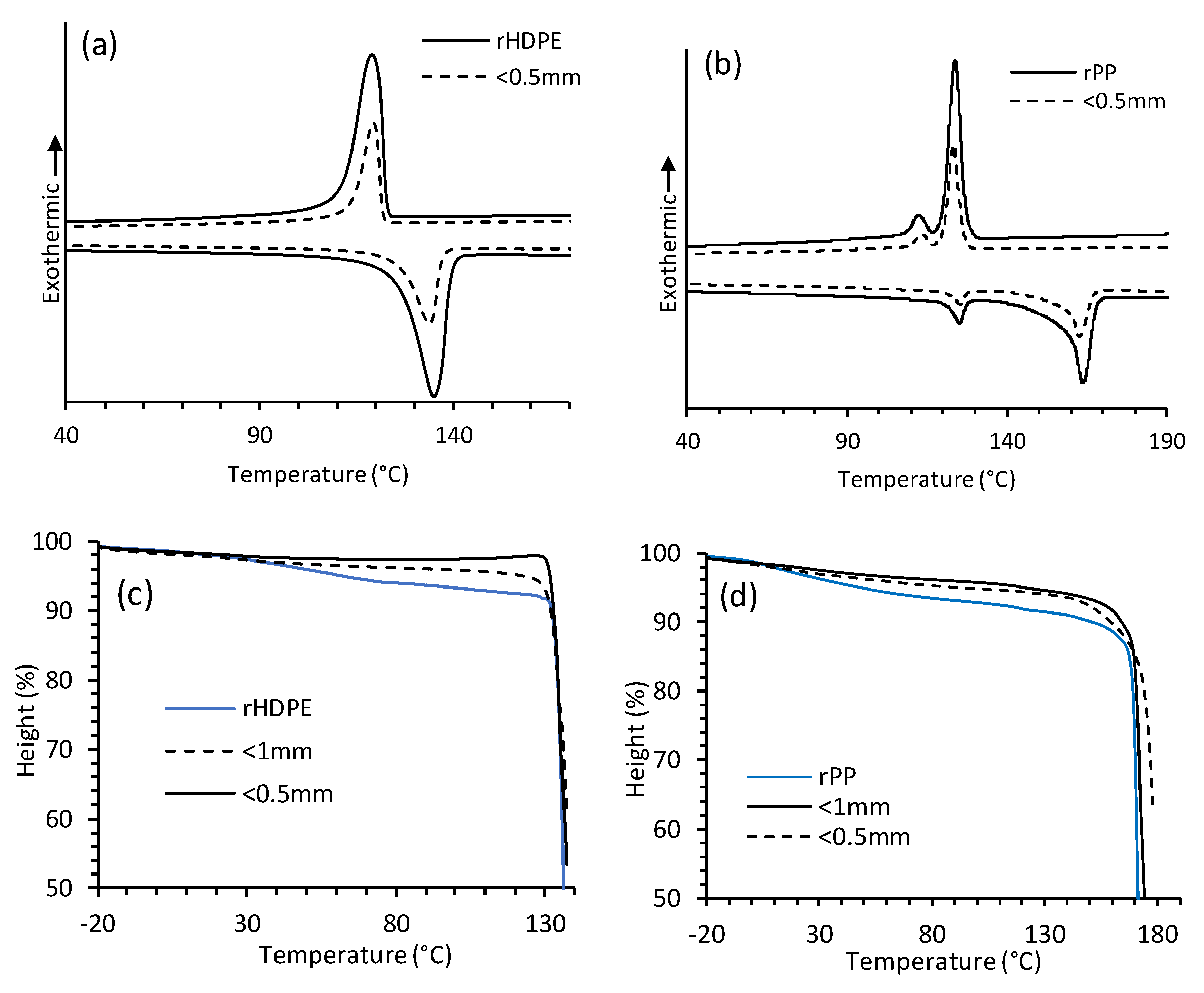
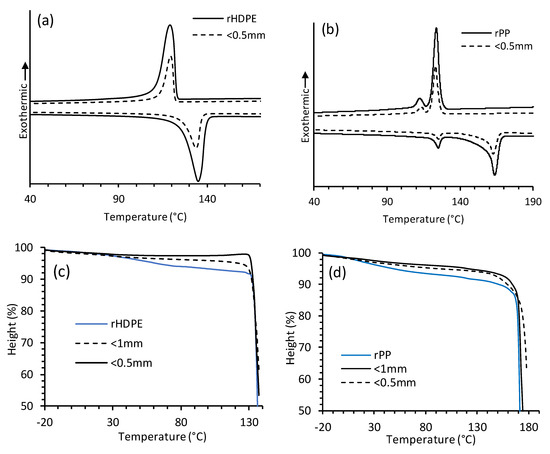
3.3. Thermal Analysis
3.4. FTIR Analysis
3.5. Melt Flow and Rheological Properties
3.6. Water Absorption
4. Conclusions
Author Contributions
Funding
Conflicts of Interest
References
- Oza, S.; Wang, R.; Lu, N. Thermal and mechanical properties of recycled high-density polyethylene/hemp fiber composites. Int. J. Appl. Sci. Technol. 2011, 1, 31–36. [Google Scholar]
- Hong, H.; Li, X.; Liu, H.; Zhang, H.; He, H.; Xu, H.; Jia, D. Transform rice husk and recycled polyethylene into high performance composites: Using a novel compatibilizer to infiltratively enhance the interfacial interactions. Prog. Rubber Plast. Recycl. Technol. 2016, 32, 253–268. [Google Scholar] [CrossRef]
- Atikler, U.; Basalp, D.; Tihminlioğlu, F. Mechanical and morphological properties of recycled high-density polyethylene filled with calcium carbonate and fly ash. J. Appl. Polym. Sci. 2006, 102, 4460–4467. [Google Scholar] [CrossRef]
- Chirayil, C.J.; Joy, J.; Maria, H.J.; Krupa, I.; Thomas, S. Polyolefins in Automotive Industry. In Polyolefin Compounds and Materials; Springer: Cham, Switzerland, 2016; pp. 265–283. [Google Scholar] [CrossRef]
- Parmar, H.B.; Gupta, R.K.; Bhattacharya, S.N. Rheological and molecular properties of organic peroxide induced long chain branching of recycled and virgin high density polyethylene resin. Polym. Eng. Sci. 2009, 49, 1806–1813. [Google Scholar] [CrossRef]
- Zahavich, A.T.P.; Latto, B.; Takacs, E.; Vlachopoulos, J. The effect of multiple extrusion passes during recycling of high density polyethylene. Adv. Polym. Technol. J. Polym. Process. Inst. 1997, 16, 11–24. [Google Scholar] [CrossRef]
- Abad, M.J.; Ares, A.; Barral, L.; Cano, J.; Diez, F.J.; García-Garabal, S.; Ramirez, C. Effects of a mixture of stabilizers on the structure and mechanical properties of polyethylene during reprocessing. J. Appl. Polym. Sci. 2004, 92, 3910–3916. [Google Scholar] [CrossRef]
- Enpower Corp. Available online: https://www.enpowercorp.com/facilities/wadham-facility/ (accessed on 29 January 2020).
- Rahman, M.R.; Islam, M.N.; Huque, M.M.; Hamdan, S.; Ahmed, A.S. Effect of chemical treatment on rice husk (RH) reinforced polyethylene (PE) composites. BioResources 2010, 5, 854–869. [Google Scholar] [CrossRef]
- Arjmandi, R.; Hassan, A.; Majeed, K.; Zakaria, Z. Rice husk filled polymer composites. Int. J. Polym. Sci. 2015. [Google Scholar] [CrossRef]
- Chen, R.S.; Ab Ghani, M.H.; Ahmad, S.; Salleh, M.N.; Tarawneh, M.A.A. Rice husk flour biocomposites based on recycled high-density polyethylene/polyethylene terephthalate blend: Effect of high filler loading on physical, mechanical and thermal properties. J. Compos. Mater. 2015, 49, 1241–1253. [Google Scholar] [CrossRef]
- Freire, C.S.R.; Silvestre, A.J.D.; Neto, C.P.; Belgacem, M.N.; Gandini, A. Controlled heterogeneous modification of cellulose fibers with fatty acids: Effect of reaction conditions on the extent of esterification and fiber properties. J. Appl. Polym. Sci. 2006, 100, 1093–1102. [Google Scholar] [CrossRef]
- Gao, H.; Xie, Y.; Ou, R.; Wang, Q. Grafting effects of polypropylene/polyethylene blends with maleic anhydride on the properties of the resulting wood–plastic composites. Compos. Part A: Appl. Sci. Manuf. 2012, 43, 150–157. [Google Scholar] [CrossRef]
- Zhou, X.; Yu, Y.; Lin, Q.; Chen, L. Effects of maleic anhydride-grafted polypropylene (MAPP) on the physico-mechanical properties and rheological behavior of bamboo powder-polypropylene foamed composites. BioResources 2013, 8, 6263–6279. [Google Scholar] [CrossRef]
- Hornsby, P.R. Rheology, Compounding and Processing of Filled Thermoplastics. In Mineral Fillers in Thermoplastics I; Springer: Berlin/Heidelberg, Germany, 1999; pp. 155–217. [Google Scholar] [CrossRef]
- Habibi, M.; Najafi, S.K.; Ghasemi, I. Rheological and mechanical properties of composites made from wood flour and recycled LDPE/HDPE blend. Iran. Polym. J. 2017, 26, 949–956. [Google Scholar] [CrossRef]
- Sewda, K.; Maiti, S.N. Effect of bark flour on melt rheological behavior of high density polyethylene. J. Appl. Polym. Sci. 2012, 123, 2122–2130. [Google Scholar] [CrossRef]
- Ogah, A.O.; Afiukwa, J.N.; Nduji, A.A. Characterization and comparison of rheological properties of agro fiber filled high-density polyethylene bio-composites. Open J. Polym. Chem. 2014, 4, 12–19. [Google Scholar] [CrossRef]
- Oblak, P.; Gonzalez-Gutierrez, J.; Zupančič, B.; Aulova, A.; Emri, I. Processability and mechanical properties of extensively recycled high density polyethylene. Polym. Degrad. Stab. 2015, 114, 133–145. [Google Scholar] [CrossRef]
- Da Costa, H.M.; Ramos, V.D.; Rocha, M.C. Rheological properties of polypropylene during multiple extrusion. Polym. Test. 2005, 24, 86–93. [Google Scholar] [CrossRef]
- Jin, H.; Gonzalez-Gutierrez, J.; Oblak, P.; Zupančič, B.; Emri, I. The effect of extensive mechanical recycling on the properties of low density polyethylene. Polym. Degrad. Stab. 2012, 97, 2262–2272. [Google Scholar] [CrossRef]
- Kuram, E.; Ozcelik, B.; Yilmaz, F. The effects of recycling process on thermal, chemical, rheological, and mechanical properties of PC/ABS binary and PA6/PC/ABS ternary blends. J. Elastomers Plast. 2016, 48, 164–181. [Google Scholar] [CrossRef]
- Adefisan, O.O.; McDonald, A.G. Evaluation of Wood Plastic Composites Produced from Mahogany and Teak. Int. J. Adv. Eng. Res. Sci. 2017, 4. [Google Scholar] [CrossRef]
- Zykova, A.A.; Pantyukhov, P.A.; Kolesnikova, N.; Monakhova, T.; Popov, A.A. Influence of filler particle size on physical properties and biodegradation of biocomposites based on low-density polyethylene and lignocellulosic fillers. J. Polym. Environ. 2018, 26, 1343–1354. [Google Scholar] [CrossRef]
- Raghu, N.; Kale, A.; Chauhan, S.; Aggarwal, P. Rice husk reinforced polypropylene composites: Mechanical, morphological and thermal properties. J. Indian Acad. Wood Sci. 2018, 15, 96–104. [Google Scholar] [CrossRef]
- Rahman, W.A.W.A.; Isa, N.M.; Rahmat, A.R.; Adenan, N.; Ali, R.R. Rice Husk/High Density Polyethylene Bio-Composite: Effect of Rice Husk Filler Size and Composition on Injection Molding Processability with Respect to Impact Property. Adv. Mater. Res. 2010, 83, 367–374. [Google Scholar] [CrossRef]
- Wang, X.; Yu, Z.; McDonald, A.G. Effect of Different Reinforcing Fillers on Properties, Interfacial Compatibility and Weatherability of Wood-plastic Composites. J. Bionic Eng. 2019, 16, 337–353. [Google Scholar] [CrossRef]
- Yang, H.S.; Kim, H.J.; Son, J.; Park, H.J.; Lee, B.J.; Hwang, T.S. Rice-husk flour filled polypropylene composites; mechanical and morphological study. Compos. Struct. 2004, 63, 305–312. [Google Scholar] [CrossRef]
- Cui, Y.H.; Tao, J.; Noruziaan, B.; Cheung, M.; Lee, S. DSC Analysis and Mechanical Properties of Wood—Plastic Composites. J. Reinf. Plast. Compos. 2010, 29, 278–289. [Google Scholar] [CrossRef]
- Ndiaye, D.; Diop, B.; Thiandoume, C.; Fall, P.A.; Farota, A.K.; Tidjani, A. Morphology and thermo mechanical properties of wood/polypropylene composites. Polypropylene 2012, 4, 730–738. [Google Scholar]
- Kim, H.-S.; Yang, H.-S.; Kim, H.-J.; Park, H.-J. Thermogravimetric analysis of rice husk flour filled thermoplastic polymer composites. J. Therm. Anal. Calorim. 2004, 76, 395–404. [Google Scholar] [CrossRef]
- Chen, D.; Zhou, J.; Zhang, Q. Effects of Torrefaction on the Pyrolysis Behavior and Bio-Oil Properties of Rice Husk by Using TG-FTIR and Py-GC/MS. Energy Fuels 2014, 28, 5857–5863. [Google Scholar] [CrossRef]
- Lin-Vien, D.; Colthup, N.B.; Fateley, W.G.; Grasselli, J.G. The Handbook of Infrared and Raman Characteristic Frequencies of Organic Molecules; Academic Press: San Diego, CA, USA, 1991. [Google Scholar]
- Adefisan, O.O.; McDonald, A.G. Evaluation of the Flexural Strength, Sorption, Rheological and Thermal Properties of Corncob Plastic Composites. Int. J. Adv. Eng. Res. Sci. 2001, 5, 268260. [Google Scholar] [CrossRef]
- Yokozeki, T.; Carolin Schulz, S.; Buschhorn, S.T.; Schulte, K. Investigation of shear thinning behavior and microstructures of MWCNT/epoxy and CNF/epoxy suspensions under steady shear conditions. Eur. Polym. J. 2012, 48, 1042–1049. [Google Scholar] [CrossRef]
- Yin, S.; Tuladhar, R.; Shi, F.; Shanks, R.A.; Combe, M.; Collister, T. Mechanical reprocessing of polyolefin waste: A review. Polym. Eng. Sci. 2015, 55, 2899–2909. [Google Scholar] [CrossRef]
- Kajaks, J.; Kalnins, K.; Matvejs, J. Rheological Properties of Wood-Plastic Composites Based on Polypropylene and Birch Wood Plywood Production Residues. In Key Engineering Materials; Trans Tech Publications Ltd.: Zurich, Switzerland, 2018; Volume 762, pp. 226–230. [Google Scholar] [CrossRef]
- Mazzanti, V.; Mollica, F.; El Kissi, N. Rheological and mechanical characterization of polypropylene-based wood plastic composites. Polym. Compos. 2016, 37, 3460–3473. [Google Scholar] [CrossRef]
- Premalal, H.G.; Ismail, H.; Baharin, A. Comparison of the mechanical properties of rice husk powder filled polypropylene composites with talc filled polypropylene composites. Polym. Test. 2002, 21, 833–839. [Google Scholar] [CrossRef]
- Adefisan, O.O.; McDonald, A.G. Evaluation of the strength, sorption and thermal properties of bamboo plastic composites. Maderas. Cienc. Y Tecnol. 2019, 21, 3–14. [Google Scholar] [CrossRef]
- Bouafif, H.; Koubaa, A.; Perré, P.; Cloutier, A.; Riedl, B. Wood particle/high-density polyethylene composites: Thermal sensitivity and nucleating ability of wood particles. J. Appl. Polym. Sci. 2009, 113, 593–600. [Google Scholar] [CrossRef]
- Luo, S.; Cao, J.; McDonald, A.G. Esterification of industrial lignin and its effect on the resulting poly (3-hydroxybutyrate-co-3-hydroxyvalerate) or polypropylene blends. Ind. Crops Prod. 2017, 97, 281–291. [Google Scholar] [CrossRef]










| Polyolefin | Composite Particles | Density kg/m3 | Strength (MPa) | Modulus (GPa) | EAB (J) |
|---|---|---|---|---|---|
| rHDPE | - | 978 (0.002) c | 26.0 (0.5) b | 1.1 (0.1) b | 3.64 (0.4) c |
| <1 mm | 1157.4 (3.1) a | 25.1 (2.9) b | 2.7 (0.1) a | 0.65 (0.22) a | |
| <0.5 mm | 1109.9 (1.1) b | 26.3 (2.0) a | 3.1 (0.5) a | 0.64 (0.16) b | |
| rPP | - | 912 (0.001) b | 14.3 (1.9) b | 1.7 (0.2) b | 0.16 (0.06) c |
| <1 mm | 1122.6 (5.9) c | 14.5 (0.3) a | 2.9 (0.5) a | 0.12 (0.02) b | |
| <0.5 mm | 1109.3 (1.7) a | 16.7 (0.5) a | 3.5 (0.2) a | 0.19 (0.05) a |
| DSC | TMA | |||||
|---|---|---|---|---|---|---|
| Polyolefin | Composite Particles | Tm (°C) | Tc (°C) | Xc (%) | ΔHc (J/g) | Tm or Ts (°C) |
| rHDPE | - | 135.1 (0.14) | 118.9 (0.16) | 143.7 (2.09) | 203.2 (2.65) | 130.1 |
| <1 mm | 134.0 (0.09) | 119.3 (0.04) | 71.6 (0.89) | 99.2 (2.76) | 130.2 | |
| <0.5 mm | 133.0 (0.73) | 119.6 (0.21) | 61.9 (0.82) | 85.4 (1.42) | 131.3 | |
| rPP | - | 125.1 (0.08) a | 112.3 (0.04) a | - | - | - |
| 163.8 (0.06) b | 123.8 (0.06) b | 65.5 (0.26) | 67.0 (0.41) | 156.4 | ||
| <1 mm | 125.3 (0.05) a | 113.6 (0.02) a | - | - | - | |
| 162.9 (0.04) b | 123.2 (0.05) b | 33.3 (0.29) | 33.7 (0.39) | 157.7 | ||
| <0.5 mm | 125.4 (0.11) a | 113.9 (0.03) a | - | - | - | |
| 163.2 (0.09) b | 123.4 (0.09) b | 32.2 (0.27) | 32.1 (0.72) | 161.2 | ||
| Polyolefin | Composite Particles | Onset (°C) | 1st Peak (°C) | 2nd Peak (°C) | 3rd Peak (°C) | Final Decomposition (°C) |
|---|---|---|---|---|---|---|
| rHDPE | <1 mm | 278 | 299 | 380 | 502 | 512 |
| <0.5 mm | 276 | 303 | 383 | 493 | 525 | |
| rPP | <1 mm | 322 | - | - | - | 472 |
| <0.5 mm | 320 | - | - | - | 493 |
| Dynamic | Capillary | |||||
|---|---|---|---|---|---|---|
| Polyolefin | Composite Particles | MFR (g/10 min) | Apparent Viscosity (kPa.s) | η* at 1.06 Hz (kPa.s) | Apparent Viscosity at 30 s−1 (Pa.s) | True Viscosity at 30 s−1 (Pa.s) |
| rHDPE | - | 0.961 (0.023) c | 10.91 (0.260) c | 3.17 (1.32) c | 2387 | 1621 |
| <1 mm | 4.592 (0.021) b | 15.91 (0.073) a | 8.95 (0.816) b | 7091 | 1580 | |
| <0.5 mm | 3.919 (0.010) a | 18.65 (0.039) b | 13.34 (1.56) a | 6148 | 3548 | |
| rPP | - | 25.0 (2.318) c | 0.38 (0.032) b | 0.39 (0.014) c | 376 | 263 |
| <1 mm | 124.9 (1.278) a | 0.35 (0.004) b | 2.09 (0.300) a | 850 | 557 | |
| <0.5 mm | 109.4 (0.062) b | 0.41 (0.006) a | 2.48 (0.240) b | 808 | 1544 | |
| WA (%) | Diffusion Coefficient | |||
|---|---|---|---|---|
| Polyolefin | Composite Particles | 2 Days | 100 Days | m2/s (10−11) |
| rHDPE | <1 mm | 1.3 (0.3) a | 9.9 (5.5) b | 3.2 |
| <0.5 mm | 1.1 (0.3) a | 7.8 (0.9) a | 3.5 | |
| rPP | <1 mm | 2.6 (1.1) a | 13.2 (0.6) a | 6.1 |
| <0.5 mm | 1.2 (1.1) a | 11.7 (1.3) b | 7.0 | |
© 2020 by the authors. Licensee MDPI, Basel, Switzerland. This article is an open access article distributed under the terms and conditions of the Creative Commons Attribution (CC BY) license (http://creativecommons.org/licenses/by/4.0/).
Share and Cite
Orji, B.O.; McDonald, A.G. Evaluation of the Mechanical, Thermal and Rheological Properties of Recycled Polyolefins Rice-hull Composites. Materials 2020, 13, 667. https://doi.org/10.3390/ma13030667
Orji BO, McDonald AG. Evaluation of the Mechanical, Thermal and Rheological Properties of Recycled Polyolefins Rice-hull Composites. Materials. 2020; 13(3):667. https://doi.org/10.3390/ma13030667
Chicago/Turabian StyleOrji, Berlinda O., and Armando G. McDonald. 2020. "Evaluation of the Mechanical, Thermal and Rheological Properties of Recycled Polyolefins Rice-hull Composites" Materials 13, no. 3: 667. https://doi.org/10.3390/ma13030667
APA StyleOrji, B. O., & McDonald, A. G. (2020). Evaluation of the Mechanical, Thermal and Rheological Properties of Recycled Polyolefins Rice-hull Composites. Materials, 13(3), 667. https://doi.org/10.3390/ma13030667

