Shear Performance of Reinforced Concrete Beams with Small Circular Openings Strengthened Using Rectangular and Octagonal-Shaped Reinforcement
Abstract
1. Introduction
2. Experimental Program
2.1. Material Properties
2.2. Details of the Web Opening Reinforcement
2.3. Specimen Details
2.4. Test Setup and Instrumentation
3. Test results and Discussions
3.1. Load Versus Drift Angle Relations
3.2. Crack Patterns and Failure Modes
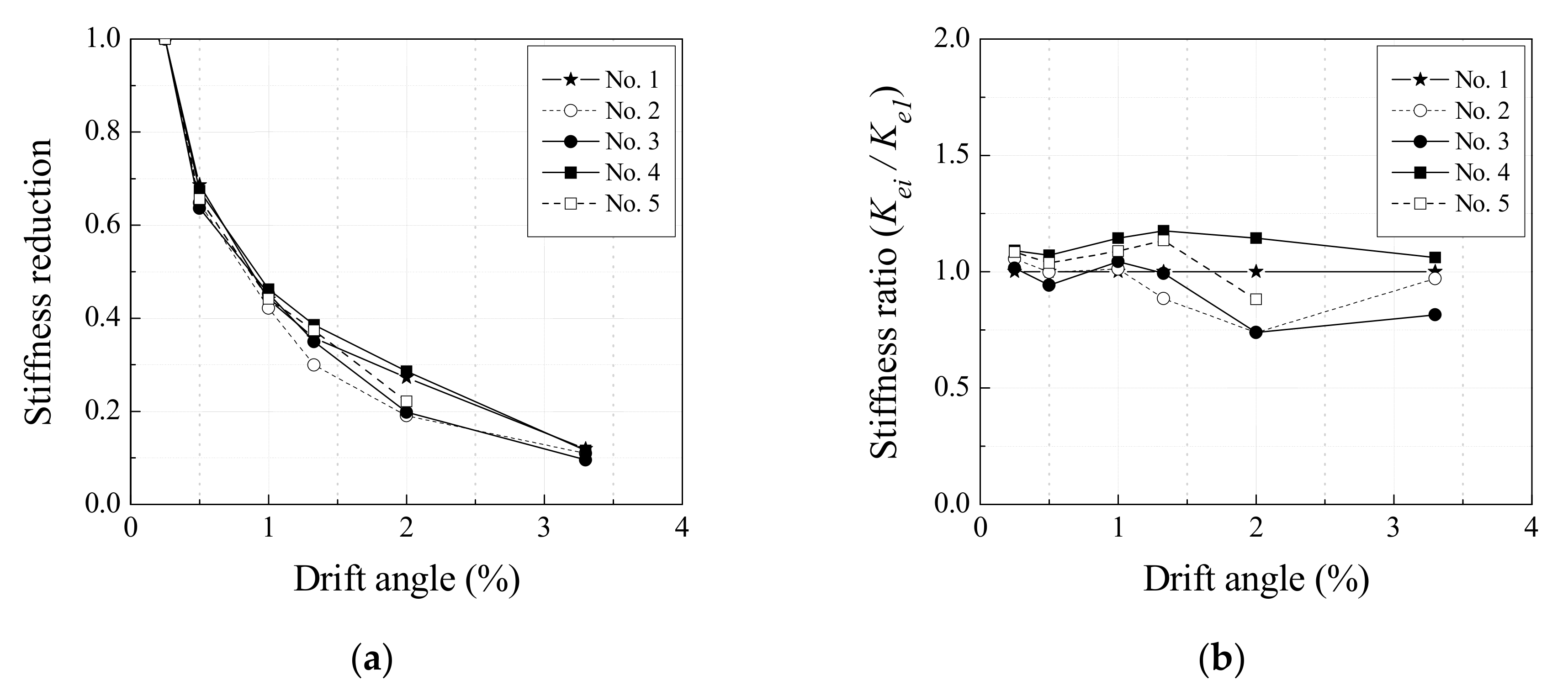
3.3. Effective Shear Stiffness
3.4. Effect of Shape of Web Opening Reinforcement
3.5. Effect of Web Opening Spacing
4. Prediction of Shear Strength of RC Beam with Small Web Openings
5. Conclusions
- With the proposed web opening reinforcement, the RC web opening beams had similar or better shear strength and shear behavior, compared to RC beams without web openings and RC web opening beams with the existing bent-type web opening reinforcement. They maintained an effective shear stiffness that was 11% higher on average, even with an increase in member deformation.
- It was observed that the crack patterns around openings strengthened using the existing and proposed web opening reinforcements are almost identical, although the proposed web opening reinforcement has an advantage, compared to the existing method, of reducing the time for arranging reinforcement. However, unlike the existing bent-type web opening reinforcement, the proposed web opening reinforcement tends to resist tension for drift angles in both the positive and negative directions. The proposed web opening reinforcement did not experience concrete crushing around the web openings, even under extreme conditions, thanks to outstanding crack control, and served as a shear resistance component in place of the concrete cross-section lost due to web openings.
- If the spacing between web openings is smaller than three times the opening diameter, the decrease in concrete cross-section that is needed for stress transfer of beams by arch action can cause a rapid decline in member strength.
- Compared to the equation by Mansur (1998), the AIJ standard 2010 provided more rational predictions for the shear strength of the RC web opening beams using the proposed web opening reinforcement. However, Mansur’s equation is expected to present sufficiently rational and stable predictions if a strength reduction coefficient is introduced to reflect the decrease in the bond stress of the tensile reinforcement in relation to web opening position, the size effect of members, and the loss of concrete cross-section caused by web openings.
- The results of experiments and analysis showed that the diameter of circular openings should be less than one-third of the effective depth of the RC beams, and openings should be in the section (L-2D) excluding the distance from the critical section for shear (D) to the support to prevent the decrease in the shear strength of the beams with web openings. Moreover, it is recommended that the spacing between web openings should be determined based on the structural calculation results but should be at least three times the opening diameter when multiple openings are installed.
Author Contributions
Funding
Conflicts of Interest
References
- Lerenstren, M. Holes in Reinforced Concrete Girders. Byggmdstren 1962, 41, 141–152. [Google Scholar]
- Nasser, K.W.; Acavalos, A.; Daniel, H.R. Behavior and Design of Large Openings in Reinforced Concrete Beams. ACI Struct. J. Proc. 1967, 64, 25–33. [Google Scholar]
- Prentzas, E.G. Behaviour and Reinforcement of Concrete Beams with Large Rectangular Apertures. Ph.D. Thesis, University of Sheffield, Sheffield, UK, 1968. [Google Scholar]
- Mansur, M.A. Combined Bending and Torsion in reinforced Concrete Beams with Rectangular openings. ACI Concr. Int. 1983, 5, 51–58. [Google Scholar]
- Mansur, M.A.; Tan, K.H.; Lee, S.L. Collapse loads of R/C beams with large openings. J. Struct. Eng. (ASCE) 1984, 110, 2602–2610. [Google Scholar] [CrossRef]
- Mansur, M.A.; Tan, K.H.; Lee, S.L. Design Method for Reinforced Concrete Beams with Large Openings. ACI Struct. J. Proc. 1985, 82, 517–524. [Google Scholar]
- Tan, K.H.; Mansur, M.A.; Huang, L.M. Reinforced concrete T-beams with large web openings in positive and negative moment regions. ACI Struct. J. 1996, 93, 277–289. [Google Scholar]
- Mansur, M.A. Effect of openings on the behaviour and strength of R/C beams in shear. Cem. Concr. Compos. 1998, 20, 477–486. [Google Scholar] [CrossRef]
- Mansur, M.A.; Tan, K.H. Concrete Beams with Openings: Analysis and Design, 1st ed.; CRC Press: Boca Raton, FL, USA, 1999; pp. 7–35. [Google Scholar]
- Mansur, M.A.; Huang, L.M.; Tan, K.H.; Lee, S.L. Deflections of reinforced concrete beams with web openings. ACI Struct. J. 1992, 89, 381–389. [Google Scholar]
- Hasnat, A.; Akhtanizzamam, A.A. Beams with small rectangular opening under torsion, bending, and shear. J. Struct. Eng. 1987, 113, 2253–2270. [Google Scholar] [CrossRef]
- Tian, Z.S.; Liu, J.S.; Fang, B. Stress-analyses of solids with rectangular holes by 3-D special hybrid stress elements. Struct. Eng. Mech. 1995, 3, 193–199. [Google Scholar] [CrossRef]
- Ashour, A.F.; Rishi, G. Tests of reinforced concrete continuous deep beams with web openings. ACI Struct. J. 2000, 97, 418–426. [Google Scholar]
- Torunbalci, N. Behaviour and design of small square openings in reinforced concrete beams. Archit. Sci. Rev. 2000, 43, 201–210. [Google Scholar] [CrossRef]
- Torunbalci, N. Behaviour and design of large rectangular openings in reinforced concrete beams. Archit. Sci. Rev. 2002, 45, 91–96. [Google Scholar] [CrossRef]
- Yang, K.H.; Eun, H.C.; Chung, H.S. The influence of web openings on the structural behavior of reinforced high-strength concrete deep beams. Eng. Struct. 2006, 28, 1825–1834. [Google Scholar] [CrossRef]
- Campione, G.; Minafò, G. Behaviour of concrete deep beams with openings and low shear span-to-depth ratio. Eng. Struct. 2012, 41, 294–306. [Google Scholar] [CrossRef]
- Aykac, B.; Kalkan, I.; Aykac, S.; Egriboz, Y.E. Flexural behavior of RC beams with regular square or circular web openings. Eng. Struct. 2013, 56, 2165–2174. [Google Scholar] [CrossRef]
- Abodalla, H.A.; Torkey, A.M.; Haggag, H.A.; Abu-Amira, A.F. Design against cracking at openings in reinforced concrete beams strengthened with composite sheets. Compos. Struct. 2003, 60, 197–204. [Google Scholar] [CrossRef]
- Kim, G.; Sim, J.; Oh, H. Shear strength of strengthened RC beams with FRPs in shear. Constr. Build. Mater. 2008, 22, 1261–1270. [Google Scholar] [CrossRef]
- Maaddawy, T.E.; Sherif, S. FRP composites for shear strengthening of reinforced concrete deep beams with openings. Compos. Struct. 2009, 89, 60–69. [Google Scholar] [CrossRef]
- Pimanmas, A. Strengthening R/C beams with opening by externally installed FRP rods: Behavior and analysis. Compos. Struct. 2010, 92, 1957–1976. [Google Scholar] [CrossRef]
- Chin, S.; Shafiq, N.; Nuruddin, M. Strengthening of RC beams containing large opening at flexure with CFRP Laminates. Int. J. Civil Environ. Eng. 2011, 5, 743–749. [Google Scholar]
- Hawileh, R.A.; El-Maaddawy, T.A.; Naser, M.Z. Nonlinear finite element modeling of concrete deep beams with openings strengthened with externally bonded composites. Mater. Des. 2012, 42, 378–387. [Google Scholar] [CrossRef]
- Mofidi, A.; Chaalla, O.; Shao, Y. Analytical design model for reinforced-concrete beams strengthened in shear using L-shaped CFRP plates. J. Compos. Constr. 2014, 18, 04013024. [Google Scholar] [CrossRef]
- Nie, X.F.; Zhang, S.S.; Teng, J.G.; Chen, G.M. Experimental study on RC T-section beams with an FRP-strengthened web opening. Compos. Struct. 2018, 185, 273–285. [Google Scholar] [CrossRef]
- Mansur, M.A. Ultimate strength design of beams with large openings. Int. J. Struct. 1988, 8, 107–125. [Google Scholar]
- Tan, K.H.; Mansur, M.A.; Weng, W. Design of Reinforced Concrete Beams with Circular Openings. ACI Struct. J. 2001, 98, 407–415. [Google Scholar]
- Mansur, M.A.; Tan, K.H.; Weng, W. Analysis of concrete beams with circular web openings using strut-and-tie models. Malays. J. Civil Eng. 2006, 18, 89–98. [Google Scholar]
- ACI Committee 318. Building Code Requirements for Structural Concrete (ACI 318-19) and Commentary (ACI 318R-19); American Concrete Institute: Farmington Hills, MI, USA, 2019; p. 519. [Google Scholar]
- Architectural Institute of Japan. AIJ Standard for Structural Calculation of Reinforced Concrete Structures; Architectural Institute of Japan: Tokyo, Japan, 2010; pp. 355–362. [Google Scholar]
- ASTM International. ASTM C39/C39M-12 Standard Test Method for Compressive Strength of Cylindrical Concrete Specimens; American Society for Testing Materials: West Conshohocken, PA, USA, 2010. [Google Scholar]
- Kim, S.W.; Lee, B.S.; Kim, M.J.; Jung, S.W.; Lee, J.Y.; Kim, K.H. Structural performance of RC beams with web openings reinforced with quadrilateral spirals. Eur. J. Environ. Civil Eng. 2019. [Google Scholar] [CrossRef]
- Hanson, J.M. Square Openings in Webs of Continuous Joints. In PCA Research and Development Bulletin RD 100.01D; CRC Press: Boca Raton, FL, USA, 1969; pp. 1–14. [Google Scholar]
- Somes, N.F.; Corley, W.G. Circular Openings in Webs of Continuous Beams. ACI Struct. J. 1974, 42, 359–398. [Google Scholar]
- Kim, S.W.; Kim, Y.S.; Kim, M.J.; Lee, J.S.; Kim, K.H. Evaluation of Bond Performance of RC Beams with U-shaped Reinforcement. J. Struct. Eng. 2014, 24, 330–340. [Google Scholar] [CrossRef]
- American Society of Civil Engineers. Seismic Rehabilitation of Existing Buildings (ASCE Standard ASCE/SEI 41-06); ASCE Publication: Reston, VA, USA, 2007; pp. 50–51. [Google Scholar]












| fck | Gmax | W/C | S/a | Unit Weight (kg/m3) | ||||
|---|---|---|---|---|---|---|---|---|
| (MPa) | (mm) | (%) | (%) | W | C | S | G | AD |
| 24 | 25 | 49.7 | 48.5 | 82 | 214 | 872 | 936 | 69.3 |
| Bars | Diameter (mm2) | As (mm2) | fy (MPa) | fu (MPa) | εy (-) | εu (-) | Position of Steel Bars |
|---|---|---|---|---|---|---|---|
| D6 | 6.53 | 31.6 | 300 | 320 | 0.0015 | 0.0371 | Web opening reinforcement |
| D10 | 9.53 | 71.3 | 540 | 639 | 0.0027 | 0.0823 | Shear rebar and U-shaped bar |
| D25 | 22.2 | 387.1 | 610 | 750 | 0.0031 | 0.0792 | Longitudinal reinforcement |
| Specimen | b (mm) | h (mm) | a/d (-) | Longitudinal Reinf. | Diameter of Opening, Φ (mm) | Opening Space | Type of Web Reinf. |
|---|---|---|---|---|---|---|---|
| No. 1 | 300 | 375 | 3.08 | 8D-25 | - | - | - |
| No. 2 | 8D-25 | 125 (h/3) | 3Φ | - | |||
| No. 3 | 8D-25 | 125 (h/3) | 3Φ | Type A (D6) | |||
| No. 4 | 8D-25 | 125 (h/3) | 3Φ | Type B (D6) | |||
| No. 5 | 8D-25 | 125 (h/3) | 2Φ | Type B (D6) |
| Specimen | Yielding of Web Reinf. | Yielding of Shear Reinf. | Peak Load | Failure Mode | |||
|---|---|---|---|---|---|---|---|
| Load (kN) | Drift Angle (%) | Load (kN) | Drift Angle (%) | Load (kN) | Drift Angle (%) | ||
| No. 1 | - | - | - | - | 183.2 | 2.0 | Shear |
| −186.5 | −2.0 | ||||||
| No. 2 | - | - | −140.2 | −1.3 | 151.9 | 1.0 | Shear |
| −179.8 | −2.0 | ||||||
| No. 3 | 146.0 | 1.1 | 112.3 | 3.0 | 173.5 | 1.6 | Shear |
| −175.1 | −2.1 | ||||||
| No. 4 | 155.5 | 1.3 | 159.3 | 2.6 | 208.5 | 1.9 | Shear |
| −155.4 | −2.0 | ||||||
| No. 5 | −148.6 | −1.3 | 187.1 | 1.8 | 193.7 | 1.7 | Shear |
| −158.2 | −1.4 | ||||||
| Specimen | Experimental Results | Analytical Results | Vn.E/Vn.M | Vn.E/Vn.AIJ | ||
|---|---|---|---|---|---|---|
| Drift Angle (%) | Vn.E (kN) | Vn.M (kN) | Vn.AIJ (kN) | |||
| No. 1 | 2.0 | 183.2 | 215.5 | 161.1 | 0.85 | 1.14 |
| −2.0 | −186.5 | 0.87 | 1.16 | |||
| No. 2 | 1.0 | 151.9 | 187.0 | 126.1 | 0.81 | 1.20 |
| −2.0 | −179.8 | 0.96 | 1.43 | |||
| No. 3 | 1.6 | 173.5 | 200.4 | 180.1 | 0.87 | 0.96 |
| −2.1 | −175.1 | 0.87 | 0.97 | |||
| No. 4 | 1.9 | 208.5 | 219.3 | 199.4 | 0.95 | 1.05 |
| −2.0 | −155.4 | 0.71 | 0.78 | |||
| No. 5 | 1.7 | 193.7 | 219.3 | 199.4 | 0.88 | 0.97 |
| −1.4 | −158.2 | 0.72 | 0.79 | |||
| Ave. | - | 0.85 | 1.05 | |||
| CV | - | 0.10 | 0.19 | |||
Publisher’s Note: MDPI stays neutral with regard to jurisdictional claims in published maps and institutional affiliations. |
© 2020 by the authors. Licensee MDPI, Basel, Switzerland. This article is an open access article distributed under the terms and conditions of the Creative Commons Attribution (CC BY) license (http://creativecommons.org/licenses/by/4.0/).
Share and Cite
Kim, H.-G.; Lee, J.-Y.; Kim, K.-H. Shear Performance of Reinforced Concrete Beams with Small Circular Openings Strengthened Using Rectangular and Octagonal-Shaped Reinforcement. Materials 2020, 13, 5804. https://doi.org/10.3390/ma13245804
Kim H-G, Lee J-Y, Kim K-H. Shear Performance of Reinforced Concrete Beams with Small Circular Openings Strengthened Using Rectangular and Octagonal-Shaped Reinforcement. Materials. 2020; 13(24):5804. https://doi.org/10.3390/ma13245804
Chicago/Turabian StyleKim, Hyeong-Gook, Jung-Yoon Lee, and Kil-Hee Kim. 2020. "Shear Performance of Reinforced Concrete Beams with Small Circular Openings Strengthened Using Rectangular and Octagonal-Shaped Reinforcement" Materials 13, no. 24: 5804. https://doi.org/10.3390/ma13245804
APA StyleKim, H.-G., Lee, J.-Y., & Kim, K.-H. (2020). Shear Performance of Reinforced Concrete Beams with Small Circular Openings Strengthened Using Rectangular and Octagonal-Shaped Reinforcement. Materials, 13(24), 5804. https://doi.org/10.3390/ma13245804

