The Evolution in Electrochemical Performance of Honeycomb-Like Ni(OH)2 Derived from MOF Template with Morphology as a High-Performance Electrode Material for Supercapacitors
Abstract
1. Introduction
2. Materials Procedures
2.1. Synthesis of Ni-MOF
2.2. Synthesis of Ni(OH)2 with Ni-MOF as the Template
2.3. Preparation of the Working Electrode
2.4. Structural Characterization
2.5. Electrochemical Measurement
3. Results and Discussions
3.1. Structure Characterization
3.2. Morphology Characterization
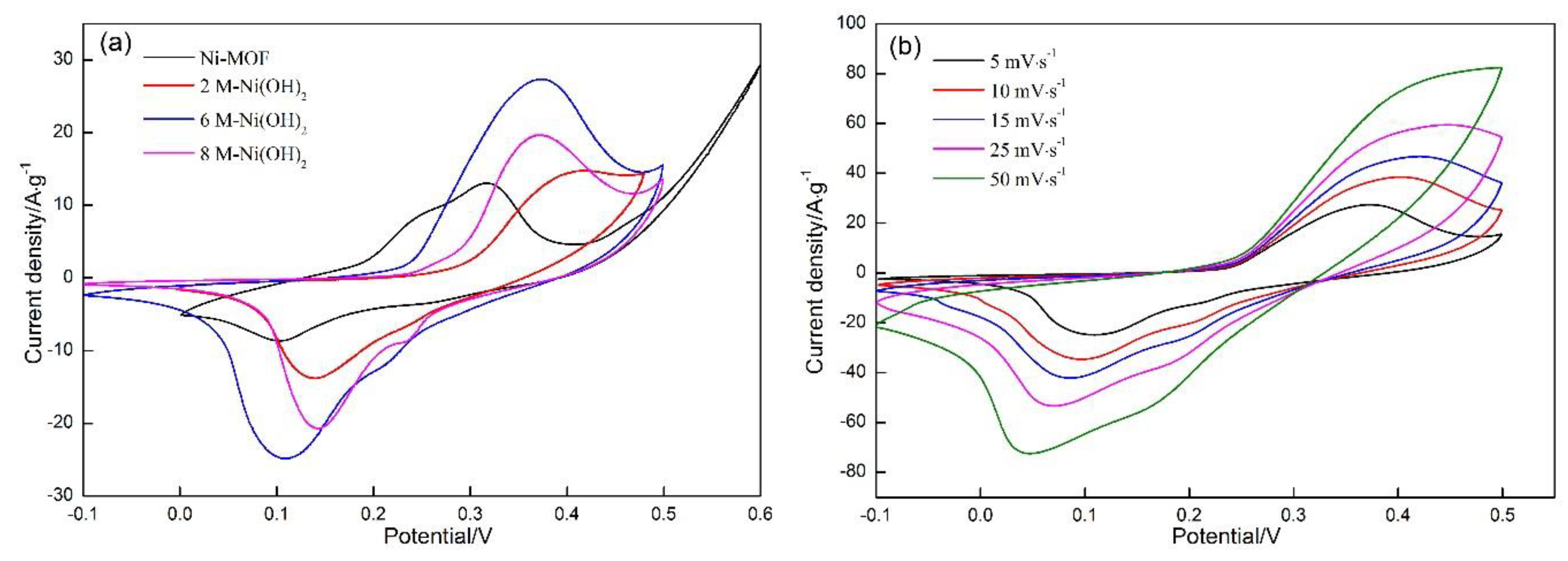
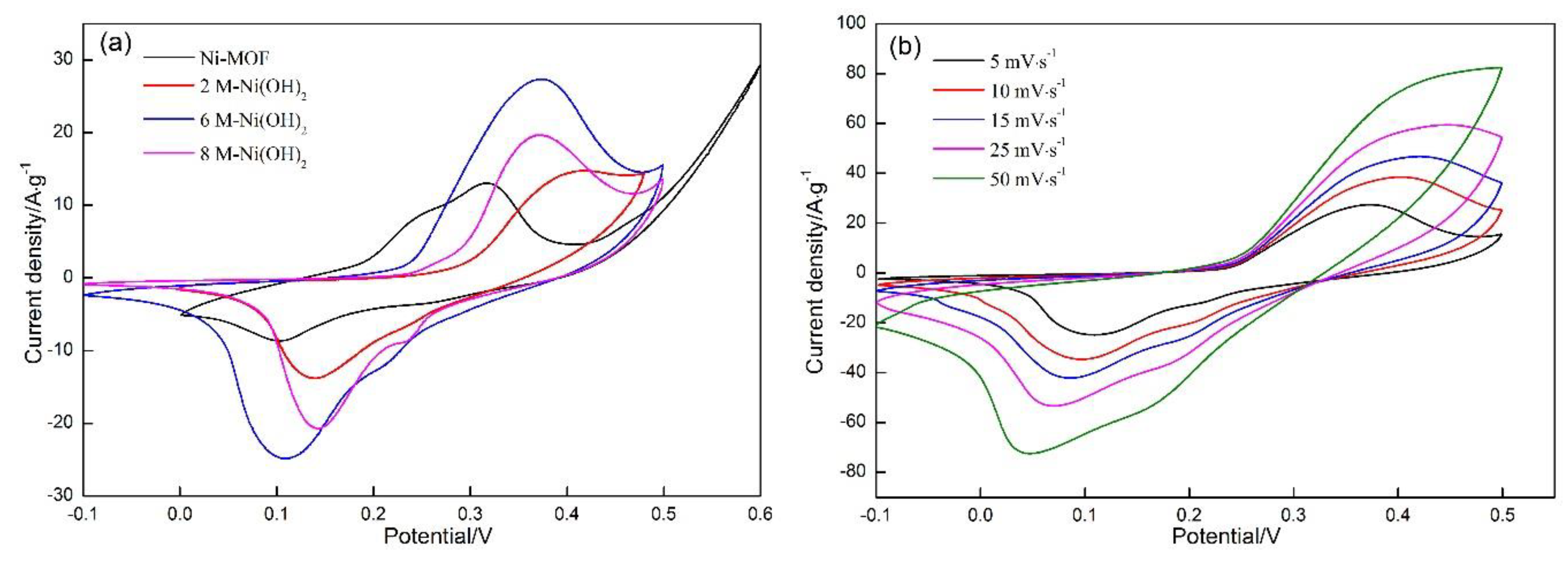
3.3. Electrochemical Measurements of Ni-MOF and Ni(OH)2 Samples
3.4. Electrochemical Measurements of 6 M-Ni(OH)2//AC HSC Device
4. Conclusions
Author Contributions
Funding
Conflicts of Interest
References
- Ma, X.; Zhang, L.; Xu, G.C.; Zhang, C.Y.; Song, H.J.; He, Y.T.; Zhang, C.; Jia, D.Z. Facile synthesis of NiS hierarchical hollow cubes via Ni formate frameworks for high performance supercapacitors. Chem. Eng. J. 2017, 320, 22–28. [Google Scholar] [CrossRef]
- Daglar, H.; Erucar, I.; Keskin, S. Exploring the performance limits of MOF/polymer MMMs for O2/N2 separation using computational screening. J. Membrane Sci. 2020, 618, 118555. [Google Scholar] [CrossRef]
- Zhang, L.Y.; Fan, C.; Liu, M.; Liu, F.J.; Bian, S.S.; Du, S.Y.; Zhu, S.Y. Biominerized Gold-Hemin@MOF Composites with Peroxidase-Like and Gold Catalysis Activities: A High-Throughput Colorimetric Immunoassay for Alpha-Fetoprotein in Blood by ELISA and Gold-Catalytic Silver Staining. Sens. Actuators B Chem. 2018, 266, 543–552. [Google Scholar] [CrossRef]
- Gan, Y.L.; Huang, K.R.; Li, Y.G.; Qin, D.P.; Zhang, D.M.; Zong, Z.A.; Cui, L.S. Synthesis, structure and fluorescent sensing for nitrobenzene of a Zn-based MOF. J. Mol. Struct. 2020, 1223, 129217. [Google Scholar] [CrossRef]
- Su, J.; He, W.; Li, X.M.; Sun, L.; Wang, H.Y.; Lan, Y.Q.; Ding, M.M.; Zuo, J.L. High Electrical Conductivity in a 2D MOF with Intrinsic Superprotonic Conduction and Interfacial Pseudo-capacitance. Matter 2020, 2, 711–722. [Google Scholar] [CrossRef]
- Yang, C.Y.; Li, X.Y.; Yu, L.; Liu, X.J.; Yang, J.; Wei, M.D. A new promising Ni-MOF superstructure for high-performance supercapacitors. Chem. Commun. 2020, 56, 1803–1806. [Google Scholar] [CrossRef]
- Cai, Z.M.; Deng, L.B.; Song, Y.H.; Li, D.M.; Hong, L.; Shen, Z.H. Facile synthesis of hierarchically self-assembled dandelion-like microstructures of bimetallic-MOF as a novel electrode material for high-rate supercapacitors. Mater. Lett. 2020, 281, 128616. [Google Scholar] [CrossRef]
- Gao, S.W.; Sui, Y.W.; Wei, F.X.; Qi, J.Q.; Meng, Q.K.; Ren, Y.J.; He, Y.Z. Dandelion-like nickel/cobalt metal-organic framework based electrode materials for high performance supercapacitors. J. Colloid Interf. Sci. 2018, 531, 83–90. [Google Scholar] [CrossRef]
- Du, W.; Bai, Y.L.; Yang, Z.; Li, R.L.; Zhang, D.; Ma, Z.H.; Yuan, A.; Xu, J.Q. A conductive anionic Co-MOF cage with zeolite framework for supercapacitors. Chin. Chem. Lett. 2020, 31, 2309–2313. [Google Scholar] [CrossRef]
- Sundriyal, S.; Shrivastav, V.; Mishra, S.; Deep, A. Enhanced electrochemical performance of nickel intercalated ZIF-67/rGO composite electrode for solid-state supercapacitors. Int. J. Hydrogen Energy 2020, 45, 30859–30869. [Google Scholar] [CrossRef]
- Zhang, F.; Ma, J.J.; Yao, H. Ultrathin Ni-MOF nanosheet coated NiCo2O4 nanowire arrrays as a high performance binder-free electrode for flexible hybrid supercapacitors. Ceram. Int. 2019, 45, 24279–24287. [Google Scholar] [CrossRef]
- Li, Q.; Guo, H.; Xue, R.; Wang, M.Y.; Xu, M.N.; Yang, W.H.; Zhang, J.Y.; Yang, W. Self-assembled Mo doped Ni-MOF nanosheets based electrode material for high performance battery-supercapacitor hybrid device. Int. J. Hydrogen Energy 2020, 45, 20820–20831. [Google Scholar] [CrossRef]
- Gao, S.W.; Sui, Y.W.; Wei, F.X.; Qi, J.Q.; Meng, Q.K.; He, Y.Z. Facile synthesis of cuboid Ni-MOF for high performance supercapacitors. J. Mater. Sci. 2018, 53, 6807–6818. [Google Scholar] [CrossRef]
- Yang, J.; Zheng, C.; Xiong, P.X.; Li, Y.F.; Wei, M.D. Zn-doped Ni-MOF material with a high supercapacitive performance. J. Mater. Chem. A 2014, 2, 19005–19010. [Google Scholar] [CrossRef]
- Han, Y.; Zhang, S.; Shen, N.; Li, D.J.; Li, X.F. MOF-derived porous NiO nanoparticl architecture for high performance supercapacitors. Mater. Lett. 2017, 188, 1–4. [Google Scholar] [CrossRef]
- Yang, J.; Xiong, P.X.; Zheng, C.; Qiu, H.Y.; Wei, M.D. Metal–organic frameworks: A new promising class of materials for a high performance supercapacitor electrode. J. Mater. Chem. A 2014, 39, 16640–16644. [Google Scholar] [CrossRef]
- Zhang, S.Y.; Yang, Z.D.; Gong, K.; Xu, B.; Mei, H.; Zhang, H.B.; Zhang, J.X.; Kang, Z.X.; Yan, Y.G.; Sun, D.F. Temperature controlled diffusion of hydroxide ions in 1D channels of Ni-MOF-74 for its complete conformal hydrolyzing to hierarchical Ni(OH)2 suprecapacitor electrodes. Nanoscale 2019, 11, 9598–9607. [Google Scholar] [CrossRef]
- Wang, Z.F.; Liu, Y.S.; Gao, C.W.; Jiang, H.; Zhang, J.M. A porous Co(OH)2 material derived from MOF template and its supeior energy storage performance for supercapacitor. J. Mater. Chem. A 2015, 3, 20658–20663. [Google Scholar] [CrossRef]
- Yue, L.G.; Wang, X.; Sun, T.T.; Liu, H.; Li, Q.; Wu, N.; Guo, H.; Yang, W. Ni-MOF coating MoS2 structures by hydrothermal intercalation as high performance electrodes for asymmetric supercapacitors. Chem. Eng. J. 2019, 375, 121959. [Google Scholar] [CrossRef]
- Rahmanifar, M.S.; Hesari, H.; Noori, A.; Masoomi, M.Y.; Morsali, A.; Mousavi, M.F. A dual Ni/Co-MOF-reduced graphene oxide nanocomposite as a high performance supercapacitor electrode material. Electrochim. Acta 2018, 275, 76–86. [Google Scholar] [CrossRef]
- Li, J.B.; Cao, W.; Zhou, N.; Xu, F.; Chen, N.; Liu, Y.; Du, G.P. Hierarchically nanostructured Ni(OH)2-MnO2@C ternary composites derived from Ni-MOFs grown on nickel foam as high-performance integrated electrodes for hybrid supercapacitors. Electrochim. Acta 2020, 343, 136139. [Google Scholar] [CrossRef]
- Hao, J.Y.; Zou, X.F.; Feng, L.; Li, W.P.; Xiang, B.; Hu, Q.; Liang, X.Y.; Wu, Q.B. Facile fabrication of core-shell structured Ni(OH)2/Ni(PO3)2 composite via one-step electrodeposition for high performance asymmetric supercapacitor. J. Colloid Interface Sci. 2021, 583, 243–254. [Google Scholar] [CrossRef]
- Zhao, S.F.; Zeng, L.Z.; Cheng, G.; Yu, L.; Zeng, H.Q. Ni/Co-based metal-organic frameworks as electrode material for high performance supercapacitors. Chin. Chem. Lett. 2019, 30, 605–609. [Google Scholar] [CrossRef]
- Liu, Y.X.; Wang, Y.Z.; Chen, Y.J.; Wang, C.; Guo, L. NiCo-MOF nanosheets wrapping polypyrrole nanotubes for highperformance supercapacitors. Appl. Surf. Sci. 2020, 507, 145089. [Google Scholar] [CrossRef]
- Li, X.M.; Qiao, Y.Q.; Wang, C.H.; Shen, T.D.; Zhang, X.Y.; Wang, H.C.; Li, Y.S.; Gao, W.M. MOF-derived Co/C nanocomposites encapsulated by Ni(OH)2 ultrathin nanosheets shell for high performance supercapacitors. J. Alloys Compd. 2019, 770, 803–812. [Google Scholar] [CrossRef]
- Rawool, C.R.; Karna, S.P.; Srivastava, A.K. Enhancing the supercapacitive performance of Nickel based metal organic framework-carbon nanofibers composite by changing the ligands. Electrochim. Acta 2019, 294, 345–356. [Google Scholar] [CrossRef]
- Zhang, X.; Qu, N.; Yang, S.X.; Fan, Q.Y.; Lei, D.; Liu, A.; Chen, X. Shape-controlled synthesis of Ni-based metal-organic frameworks with albizia flower-like spheres@nanosheets structure for high performance supercapacitors. J. Colloid Interface Sci. 2020, 575, 347–355. [Google Scholar] [CrossRef]
- Xu, S.S.; Li, X.L.; Yang, Z.; Wang, T.; Xu, M.H.; Zhang, L.L.; Yang, C.; Hu, N.T.; He, D.N.; Zhang, Y.F. A novel Ni@Ni(OH)2 coaxial core-sheath nanowire membrane for electrochemical energy storage electrodes with high volumetric capacity and excellent rate capability. Electrochim. Acta 2015, 182, 464–473. [Google Scholar] [CrossRef]
- Feng, C.; Lv, C.P.; Li, Z.Q.; Zhao, H.; Huang, H.H. A porous 2D Ni-MOF material with a high supercapacitive performance. J. Solid State Chem. 2018, 265, 244–247. [Google Scholar] [CrossRef]
- Du, P.C.; Dong, Y.M.; Liu, C.; Wei, W.L.; Liu, D.; Liu, P. Fabrication of hierarchical porous nickel based metal-organic framework (Ni-MOF) constructed with nanosheets as novel pseudo-capacitive material for asymmetric supercapacitor. J. Colloid Interface Sci. 2018, 518, 57–68. [Google Scholar] [CrossRef]
- Wang, J.; Zhong, Q.; Xiong, Y.H.; Cheng, D.Y.; Zeng, Y.Q.; Bu, Y.F. Fabrication of 3D Co-doped Ni-based MOF hierarchical micro-flowers as a high-performance electrode material for supercapacitors. Appl. Surf. Sci. 2019, 483, 1158–1165. [Google Scholar] [CrossRef]
- Zhang, Z.G.; Huo, H.; Gao, J.L.; Yu, Z.J.; Ran, F.T.; Guo, L.; Lou, S.F.; Mu, T.S.; Yin, X.C.; Wang, Q.; et al. Ni-MOF derived NiO/C nanospheres grown in situ on reduced graphene oxide towards high performance hybrid supercapacitor. J. Alloys Compd. 2019, 801, 158–165. [Google Scholar] [CrossRef]
- Zhang, C.R.; Zhang, Q.; Zhang, K.; Xiao, Z.Y.; Yang, Y.; Wang, L. Facile synthesis of a two-dimensional layered Ni-MOF electrode material for high performance supercapacitors. RSC Adv. 2018, 8, 17747–17753. [Google Scholar] [CrossRef]
- Wang, B.L.; Li, W.; Liu, Z.L.; Duan, Y.J.; Zhao, B.; Wang, Y.; Liu, J.H. Incorporating Ni-MOF structure with polypyrrole: Enhanced capacitive behavior as electrode material for supercapacitor. RSC Adv. 2020, 10, 12129–12134. [Google Scholar] [CrossRef]
- Zhou, Y.J.; Mao, Z.M.; Wang, W.; Yang, Z.K.; Liu, X. In-Situ Fabrication of Graphene Oxide Hybrid Ni-Based Metal-Organic Framework (Ni-MOF@GO) with Ultraihgh Capacitance as Electrchemical Pseudocapacitor Materials. ACS Appl. Mater. Interfaces 2016, 8, 28904–28916. [Google Scholar] [CrossRef]
- Gao, S.W.; Sui, Y.W.; Wei, F.X.; Qi, J.Q.; Meng, Q.K.; Ren, Y.J.; He, Y.Z. Hydrothermal synthesis of Ni-MOF vulcanized derivatives for high performance supercapacitors. Nano 2019, 14, 1950032. [Google Scholar] [CrossRef]
- He, S.H.; Li, Z.P.; Wang, J.Q.; Wen, P.; Gao, J.C.; Ma, L.M.; Yang, Z.G.; Yang, S.R. MOF-derived NixCo1-x(OH)2 composite microspheres for high-performance supercapacitors. RSC Adv. 2016, 6, 49478. [Google Scholar] [CrossRef]
- Bai, R.L.; Luo, X.H.; Zhen, D.S.; Ci, C.G.; Zhang, J.; Wu, D.W.; Cao, M.Q.; Liu, Y.L. Facial fabrication of Comb-like porous NiCo2O4 nanoneedles on Ni foam as an advanced electrode for high-performance supercapacitor. Int. J. Hydrogen Energy 2020. [Google Scholar] [CrossRef]
- Yedluri, A.K.; Kulurumotlakatla, D.S.; Sangaraju, S.; Obaidat, I.M.; Kim, H.J. Facile synthesis of novel and highly efficient CoNi2S4-Ni(OH)2 nanosheet arrays as pseudocapacitive-type electrode material for high-performance electrochemical supercapacitors. J. Energy Storage 2020, 31, 101623. [Google Scholar] [CrossRef]
- Hong, Y.W.; Xu, J.L.; Chuang, J.S.; Choi, W.M. Graphene quantum dots/Ni(OH)2 nanocomposites on carbon cloth as a binder-free electrode for supercapacitors. J. Mater. Sci. Technol. 2020, 58, 73–79. [Google Scholar] [CrossRef]
- Zonzalez, R.P.; Araujo, E.; Ge, W.; Cherepanov, S.; Zakhidov, A.; Gonzalez, V.R.; Encinas, A.; Oliva, J. Carbon nanotube anodes decorated with Ag NWs/Ni(OH)2 NWs for efficient semitransparent flexible solid state supercapacitors. Electrochim. Acta 2020, 354, 136684. [Google Scholar]
- Tian, D.; Lu, X.F.; Zhu, Y.; Li, M.X.; Wang, C. Fabrication of two-dimensional metal-organic frameworks on electrospun nanofibers and their derived metal doped carbon nanofibers for an advanced asymmetric supercapacitor with a high energy density. J. Power Source 2019, 413, 50–58. [Google Scholar] [CrossRef]
- Ranjbar, H.G.; Soleimani, M.; Nader, H.R. Application of Ni/Co-based metal organic frameworks (MOFs) as an advanced electrode material for supercapacitors. New J. Chem. 2016, 40, 9187–9193. [Google Scholar] [CrossRef]
- Cao, F.F.; Gan, M.Y.; Ma, L.; Li, X.R.; Yan, F.B.; Ye, M.H.; Zhai, Y.F.; Zhou, Y. Hierarchical sheet-like Ni–Co layered double hydroxide derived from a MOF template for high-performance supercapacitors. Synth. Met. 2017, 234, 154–160. [Google Scholar] [CrossRef]
- Cheng, C.; Xu, J.T.; Gao, W.; Jiang, S.X.; Guo, R.H. Preparation of flexible supercapacitor with RGO/Ni-MOF film on Ni coated polyester fabric. Electrochim. Acta 2019, 318, 23–31. [Google Scholar] [CrossRef]
- Chen, Y.X.; Ni, D.; Yang, X.W.; Liu, C.C.; Yin, J.L.; Cai, K.F. Microwave-assisted synthesis of honeycomblike hierarchical spherical Zn-doped Ni-MOF as a high-performance battery-type supercapacitor electrode material. Electrochim. Acta 2018, 278, 114–123. [Google Scholar] [CrossRef]
- Jiao, Y.; Pei, J.; Chen, D.S.; Yan, C.S.; Hu, Y.Y.; Zhang, Q.; Chen, G. Mixed-metallic MOF based electrode materials for high performance hybrid supercapacitor. J. Mater. Chem. A 2017, 5, 1094–1102. [Google Scholar] [CrossRef]
- Kang, L.; Sun, S.X.; Kong, L.B.; Lang, J.W.; Luo, Y.C. Investigating metal-organic framework as a new pseudo-capacitive meterial for supercapacitors. Chin. Chem. Lett. 2014, 25, 957–961. [Google Scholar] [CrossRef]
- Wang, J.; Zhong, Q.; Zeng, Y.Q.; Cheng, D.Y.; Xiong, Y.H.; Bu, Y.F. Rational construction of triangle-like nickel-cobalt bimetallic metal-organic framework nanosheets arrays as battery-type electrodes for hybrid supercapacitors. J. Colloid Interface Sci. 2019, 555, 42–52. [Google Scholar] [CrossRef]
- Ma, Q.; Hu, W.M.; Peng, D.C.; Shen, R.H.; Xia, X.H.; Chen, H.; Chen, Y.X.; Liu, H.B. Freestanding core-shell Ni(OH)2@MnO2 structure with enhanced energy density and cyclic performance for asymmetric supercapacitors. J. Alloys Compd. 2019, 803, 866–874. [Google Scholar] [CrossRef]
- Tan, Y.T.; Meng, L.; Wang, Y.Q.; Dong, W.J.; Kong, L.B.; Kang, L.; Ran, F. Negative electrode materials of molybdenum nitride/N-doped carbon nano-fiber via electrospinning method for high-performance supercapacitors. Electrochim. Acta 2018, 277, 41–49. [Google Scholar] [CrossRef]
- Ruan, Y.J.; Lv, L.; Li, Z.S.; Wang, C.D.; Jiang, J.J. Ni nanoparticles@Ni-Mo nitride nanorod arrays: A novel 3D-network hierarchical structure for high areal capacitance hybrid supercapacitors. Nanaoscale 2017, 9, 18032–18041. [Google Scholar] [CrossRef] [PubMed]
- Tian, J.; Shan, Q.; Yin, X.L.; Wu, W. A facile preparation of graphene/reduced graphene oxide/Ni(OH)2 two dimension nanocamposites for high performance supercapacitors. Adv. Powder Technol. 2019, 30, 3118–3126. [Google Scholar] [CrossRef]
- Yan, Y.; Gu, P.; Zheng, S.S.; Zheng, M.B.; Pang, H.; Xue, H.G. Facile synthesis of accordion-like Ni-MOF superstructure for high-performance flexible supercapacitors. J. Mater. Chem. A 2016, 4, 19078–19085. [Google Scholar] [CrossRef]











| Samples | BET Surface Area (m2·g−1) | Total Pore Volume (cm3·g−1) | Average Pore Size (nm) | 
|---|---|---|---|
| Ni-MOF | 67 | 0.121 | 8.55 | 
| 2 M-Ni(OH)2 | 130 | 0.447 | 13.62 | 
| 6 M-Ni(OH)2 | 118 | 0.443 | 15.11 | 
| 8 M-Ni(OH)2 | 98 | 0.390 | 15.87 | 
| Sample | 2 M-Ni(OH)2 | 6 M-Ni(OH)2 | 8 M-Ni(OH)2 | Ni-MOF | 
|---|---|---|---|---|
| 5 mV·s−1 | 875 F·g−1 | 1550 F·g−1 | 796 F·g−1 | 750 F·g−1 | 
| 5 mV·s−1 | 10 mV·s−1 | 15 mV·s−1 | 25 mV·s−1 | 50 mV·s−1 | 
|---|---|---|---|---|
| 1550 F·g−1 | 1069.27 F·g−1 | 875.86 F·g−1 | 649.22 F·g−1 | 597.99 F·g−1 | 
| Current Density | Ni-MOF | 2 M-Ni(OH)2 | 6 M-Ni(OH)2 | 8 M-Ni(OH)2 | 
|---|---|---|---|---|
| 1 A·g−1 | 631 F·g−1 | 1380 F·g−1 | 1865 F·g−1 | 989 F·g−1 | 
| 2 A·g−1 | 565 F·g−1 | 1187 F·g−1 | 1750 F·g−1 | 950 F·g−1 | 
| 3 A·g−1 | 530 F·g−1 | 1024 F·g−1 | 1657 F·g−1 | 817 F·g−1 | 
| 4 A·g−1 | 503 F g−1 | 895 F·g−1 | 1570 F·g−1 | 713 F·g−1 | 
| 6 A·g−1 | 466 F·g−1 | 681 F·g−1 | 1418 F·g−1 | 562 F·g−1 | 
| 8 A·g−1 | 437 F·g−1 | 487 F·g−1 | 1262 F·g−1 | 437 F·g−1 | 
| 10 A·g−1 | 411 F·g−1 | 346 F·g−1 | 1109 F·g−1 | 334 F·g−1 | 
| Sample | Rs (Ω) | Rct (Ω) | W0-R (Ω) | 
|---|---|---|---|
| Ni-MOF | 0.524 | 2.75 | 2.549 | 
| 6M-Ni(OH)2 | 0.59 | 0.72 | 0.86 | 
| Publisher’s Note: MDPI stays neutral with regard to jurisdictional claims in published maps and institutional affiliations. | 
© 2020 by the authors. Licensee MDPI, Basel, Switzerland. This article is an open access article distributed under the terms and conditions of the Creative Commons Attribution (CC BY) license (http://creativecommons.org/licenses/by/4.0/).
Share and Cite
Li, X.; Li, J.; Zhang, Y.; Zhao, P.; Lei, R.; Yuan, B.; Xia, M. The Evolution in Electrochemical Performance of Honeycomb-Like Ni(OH)2 Derived from MOF Template with Morphology as a High-Performance Electrode Material for Supercapacitors. Materials 2020, 13, 4870. https://doi.org/10.3390/ma13214870
Li X, Li J, Zhang Y, Zhao P, Lei R, Yuan B, Xia M. The Evolution in Electrochemical Performance of Honeycomb-Like Ni(OH)2 Derived from MOF Template with Morphology as a High-Performance Electrode Material for Supercapacitors. Materials. 2020; 13(21):4870. https://doi.org/10.3390/ma13214870
Chicago/Turabian StyleLi, Xiao, Jun Li, Ying Zhang, Peng Zhao, Ruyan Lei, Baige Yuan, and Manman Xia. 2020. "The Evolution in Electrochemical Performance of Honeycomb-Like Ni(OH)2 Derived from MOF Template with Morphology as a High-Performance Electrode Material for Supercapacitors" Materials 13, no. 21: 4870. https://doi.org/10.3390/ma13214870
APA StyleLi, X., Li, J., Zhang, Y., Zhao, P., Lei, R., Yuan, B., & Xia, M. (2020). The Evolution in Electrochemical Performance of Honeycomb-Like Ni(OH)2 Derived from MOF Template with Morphology as a High-Performance Electrode Material for Supercapacitors. Materials, 13(21), 4870. https://doi.org/10.3390/ma13214870
 
        
 
       