Micro-Structure Modelling and Electrical Properties Analysis of PZT Matrix Ferroelectric Composites
Abstract
1. Introduction
2. Simulation Process
2.1. The Overall Approach
2.2. Generating 3D Random Close Packing of Spheres
2.3. Generating Grain Structure
2.4. Automatic Mesh Subdivision
2.5. Finite Unit Calculation
3. Results
4. Conclusions
- According to X-ray (micro-) diffraction microscopy provides 3D microstructural phase representations, and the inputs (such as the number of spheres in unit volume, the duty ratio per unit volume, the radius of the generated sphere and distribution pattern) were obtained by stereological techniques. The inputs can be adjusted to simulate the PZT matrix ferroelectric composites model’s characteristics in different conditions.
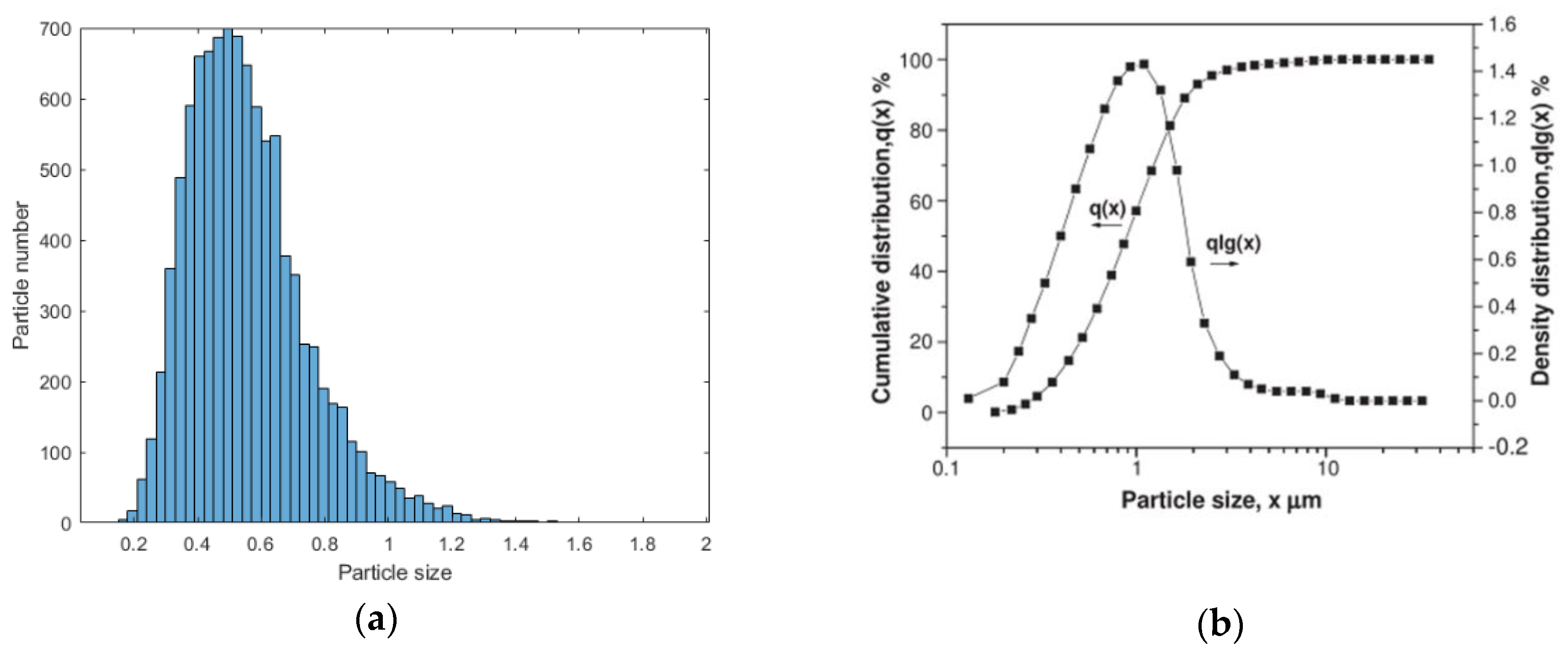
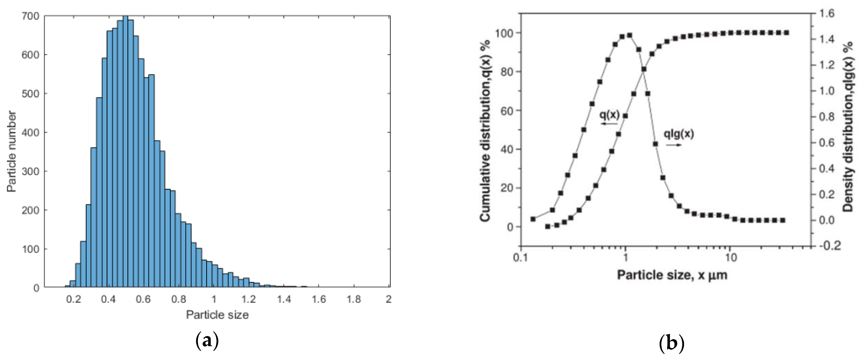
- The ferrite/PZT dual-phase composite model generated by the proposed method is similar to the SEM observation results. This article makes a comparison between simulated particle size and actual particle size (i.e., Figure 1 and Figure 2) to increase persuasion. 3. The 3D model generated by the proposed technique, and the comparison of the effective dielectric constant with experimental and numerical results from the literature (i.e., Figure 8) can be accounted as promising indicators for the resemblance of the model with the real materials.
Author Contributions
Funding
Conflicts of Interest
References
- Lysne, P.C. Dielectric properties of shock-wave-compressed PZT 95/5. J. Appl. Phys. 1977, 48, 1020–1023. [Google Scholar] [CrossRef]
- Mallmann, E.J.J.; Silva, M.A.S.; Sombra, A.S.B.; Botelho, M.A.; Mazzetto, S.E.; De Menezes, A.S.; Almeida, A.F.L.; Fechine, P.B.A. Dielectric properties of Ca0.7Bi0.3Ti0.7Cr0.3O3 (CBTC)-CaCu3Ti4O12 (CCTO) composite. J. Electron. Mater. 2015, 44, 295–302. [Google Scholar] [CrossRef]
- Chen, Y.F.; Guo, H.Y.; Cai, M.Z.; Geng, C.B.; Yue, C.Y.; Teng, C.J. Effect of polyether sulfone resin on micromorphology, thermal, mechanical, and dielectric properties of epoxy-bismaleimide composite material. J. Electron. Mater. 2018, 47, 6021–6027. [Google Scholar] [CrossRef]
- Castro, J.; de los Rios, T.; Fuentes, L. Synthesis and characterization of Nb-doped PZT ferro-piezoelectric ceramics. Mater. Manuf. Process. 2000, 15, 301–310. [Google Scholar] [CrossRef]
- Guiffard, B.; Boucher, E.; Eyraud, L.; Lebrun, L.; Guyomar, D. Influence of donor co-doping by niobium or fluorine on the conductivity of Mn doped and Mg doped PZT ceramics. J. Eur. Ceram. Soc. 2005, 25, 2487–2490. [Google Scholar] [CrossRef]
- Salem, M.M.; Morchenko, A.T.; Panina, L.V.; Kostishyn, V.G.; Andreev, V.G.; Bibikov, S.B.; Nikolaev, A.N. Dielectric and magnetic properties of two-phase composite system: Mn-Zn or Ni-Zn ferrites in dielectric matrices. Phys. Procedia 2015, 75, 1360–1369. [Google Scholar] [CrossRef]
- Wang, Z.; Wang, T.; Fang, M.R.; Wang, C.; Xiao, Y.J.; Pu, Y.P. Enhancement of dielectric and electrical properties in BFN/Ni/PVDF three-phase composites. Compos. Sci. Technol. 2017, 146, 139–146. [Google Scholar] [CrossRef]
- Inui, T.; Koga, H.; Nogi, M.; Komoda, N.; Suganuma, K. A miniaturized flexible antenna printed on a high dielectric constant nanopaper composite. Adv. Mater. 2015, 27, 1112–1116. [Google Scholar] [CrossRef]
- Ma, P.P.; Liu, X.Q.; Zhang, F.Q.; Xing, J.J.; Chen, X.M. Sr(Ga0.5Nb0.5)(1-x)TixO3 low-loss microwave dielectric ceramics with medium dielectric constant. J. Am. Ceram. Soc. 2015, 98, 2534–2540. [Google Scholar] [CrossRef]
- Hamar, R.; Trnka, P. Permittivity determination of composite materials based on a 3D electric field model. In Proceedings of the International Conference 2016 Conference on Diagnostics in Electrical Engineering (Diagnostika), Pilsen, Czech Republic, 6–8 September 2016; pp. 158–161. [Google Scholar]
- Niyonzima, I.; Jiao, Y.; Fish, J. Modeling and simulation of nonlinear electro-thermo-mechanical continua with application to shape memory polymeric medical devices. Comput. Methods Appl. Mech. Eng. 2019, 350, 511–534. [Google Scholar] [CrossRef]
- Tarasov, Y.S.; Skripalenko, M.M.; Radyuk, A.G.; Titlyanov, A.E. Computer simulation of thermal and stress-strain state of blast furnace tuyeres. Metallurgist+ 2019, 62, 1083–1091. [Google Scholar] [CrossRef]
- Chen, X.; Moore, J.E.; Zekarias, M.; Jensen, L. Atomistic electrodynamics simulations of bare and ligand-coated nanoparticles in the quantum size regime. Nat. Commun. 2015, 6, 8921. [Google Scholar] [CrossRef] [PubMed]
- Andreassen, E.; Andreasen, C.S. How to determine composite material properties using numerical homogenization. Comput. Mater. Sci. 2014, 83, 488–495. [Google Scholar] [CrossRef]
- Nurkanov, E.Y.; Kadushnikov, R.M.; Kamenin, I.G.; Alievskii, D.M.; Kartashov, V.V. Investigation of the density characteristics of three-dimensional stochastic packs of spherical particles using a computer model. Powder Metall. Met. C+ 2001, 40, 229–235. [Google Scholar]
- Lehikoinen, A.; Davidsson, T.; Arkkio, A.; Belahcen, A. A high-performance open-source finite element analysis library for magnetics in MATLAB. In Proceedings of the 2018 XIII International Conference on Electrical Machines (ICEM), Alexandroupoli, Greece, 3–6 September 2018; pp. 486–492. [Google Scholar]
- Bilotta, A.; Garcea, G.; Leonetti, L. A composite mixed finite element model for the elasto-plastic analysis of 3D structural problems. Finite Elem. Anal. Des. 2016, 113, 43–53. [Google Scholar] [CrossRef]
- Ko, B.H.; Kim, D.; Park, N.C.; Park, Y.P. Study on effective piezoelectric coefficient for finite element analysis of multi-layer ceramic capacitor. In Proceedings of the 2015 Joint IEEE International Symposium on the Applications of Ferroelectric, International Symposium on Integrated Functionalities and Piezoelectric Force Microscopy Workshop (ISAF/ISIF/PFM), Singapore, 24–27 May 2015; pp. 64–66. [Google Scholar]
- Sun, Y.X.; Qian, J.Z.; Wang, J.L.; Zhang, M. The calculation of equivalent electromagnetic parameters in multilayer composite materials. In Proceedings of the 2017 International Applied Computational Electromagnetics Society Symposium—Italy (Aces), Florence, Italy, 36–30 March 2017. [Google Scholar]
- Isaac, F.; Marques, F.; Dourado, N.; Flores, P. A finite element model of a 3D dry revolute joint incorporated in a multibody dynamic analysis. Multibody Syst. Dyn. 2019, 45, 293–313. [Google Scholar] [CrossRef]
- Zhao, X.H.; Wu, Y.G.; Fan, Z.G.; Li, F. Three-dimensional simulations of the complex dielectric properties of random composites by finite element method. J. Appl. Phys. 2004, 95, 8110–8117. [Google Scholar] [CrossRef]
- Guo, X.G.; Li, Y.; Jin, Z.J.; Kang, R.K. Modeling and simulating of high chromium alloy based on molecular dynamics. J. Nanosci. Nanotechnol. 2019, 19, 4671–4676. [Google Scholar] [CrossRef]
- Sheikholeslami, M.; Jafaryar, M.; Shafee, A.; Li, Z.X. Analyze of entropy generation for NEPCM melting process inside a heat storage system. Microsyst. Technol. 2019, 25, 3203–3211. [Google Scholar] [CrossRef]
- Zhou, W.B.; Wu, Y.G. An effective method to determine the probability density function of spherical second-phase particles. Scripta Mater. 2009, 61, 1024–1027. [Google Scholar] [CrossRef]
- Nersisyan, H.H.; Yang, B.S.; Kim, B.B.; Lee, J.H.; Won, C.W. Combustion synthesis and characterization of spherical PZT powder. Mater. Lett. 2005, 59, 1066–1070. [Google Scholar] [CrossRef]
- Wensrich, C.M. Boundary structure in dense random packing of monosize spherical particles. Powder Technol. 2012, 219, 118–127. [Google Scholar] [CrossRef]
- Labra, C.; Onate, E. High-density sphere packing for discrete element method simulations. Commun. Numer. Methods Eng. 2009, 25, 837–849. [Google Scholar] [CrossRef]
- Niemiec, P.; Bochenek, D.; Chrobak, A.; Guzdek, P.; Blachowski, A. Ferroelectric-ferromagnetic ceramic composites based on PZT with added ferrite. Int. J. Appl. Ceram. Technol. 2015, 12, E82–E89. [Google Scholar] [CrossRef]
- Clabel, H.J.L.; Ferri, F.A.; Zabotto, F.L.; Rivera, V.A.G.; Nogueira, I.C.; Garcia, D.; de Lima, O.F.; Leite, E.R.; Pereira-da-Silva, M.A.; Cardoso, C.A. Grain size and interfacial interdiffusion influence on the magnetic and dielectric properties of magnetoelectric La0.7Ba0.3MnO3-BaTiO3 composites. J. Magn. Magn. Mater. 2016, 407, 160–166. [Google Scholar] [CrossRef]
- Peterson, R.C.; Jimack, P.K.; Kelmanson, M.A. The solution of two-dimensional free-surface problems using automatic mesh generation. Int. J. Numer. Methods Fludis 1999, 31, 937–960. [Google Scholar] [CrossRef]
- Shut, V.N.; Laletin, V.M.; Syrtsov, S.R.; Trublovsky, V.L.; Medvedeva, Y.V.; Yanushkevich, K.I.; Bushinskii, M.V.; Petlitskaya, T.V. Structure, ferroelectric, and magnetoelectric properties of bulk pzt-nife1.9co0.02?(4-) composites. Phys. Solid State+ 2018, 60, 1744–1751. [Google Scholar] [CrossRef]
- Liu, Y.; Saputra, A.A.; Wang, J.C.; Tin-Loi, F.; Song, C.M. Automatic polyhedral mesh generation and scaled boundary finite element analysis of STL models. Comput. Methods Appl. Mech. Eng. 2017, 313, 106–132. [Google Scholar] [CrossRef]
- Yu, W.Y.; Zhang, K.; Li, X. Recent algorithms on automatic hexahedral mesh generation. In Proceedings of the 2015 10th International Conference on Computer Science & Education (ICCSE), Cambridge, UK, 22–24 July 2015; pp. 697–702. [Google Scholar]
- Pochet, A.; Celes, W.; Lopes, H.; Gattass, M. A new quadtree-based approach for automatic quadrilateral mesh generation. Eng. Comput. Ger. 2017, 33, 275–292. [Google Scholar] [CrossRef]
- Yamakawa, S.; Shimada, K. Converting a tetrahedral mesh to a prism-tetrahedral hybrid mesh for FEM accuracy and efficiency. Int. J. Numer. Methods Eng. 2009, 80, 74–102. [Google Scholar] [CrossRef]
- Nooman, M.A.A.; Khan, M.N.I.; Flossain, S.D.; Hossain, M.F.; Samad, M.A.; Ahmed, M.R. Study the physical, electrical and dielectric properties of calcium doped Ni-Zn ferrites. Mod. Phys. Lett. B 2019, 33, 1950145. [Google Scholar] [CrossRef]
- Bar-haim, N.; Brunstein, M.; Grunberg, J.; Seidamn, A. Electric field dependence of the dielectric constant of PZT ferroelectric ceramics. J. Appl. Phys. 1974, 45, 2398–2405. [Google Scholar] [CrossRef]
- Dong, L.J.; Xiong, C.X.; Quan, H.Y.; Zhao, G.H. Polyvinyl-butyral/lead zirconate titanates composites with high dielectric constant and low dielectric loss. Scripta Mater. 2006, 55, 835–837. [Google Scholar] [CrossRef]
- Brockman, F.G.; Dowling, P.H.; Steneck, W.G. Dimensional effects resulting from a high dielectric constant found in a ferromagnetic ferrite. Phys. Rev. 1950, 77, 85–93. [Google Scholar] [CrossRef]
- Hsiang, H.I.; Chen, T.H. Electrical properties of low-temperature-fired ferrite-dielectric composites. Ceram. Int. 2009, 35, 2035–2039. [Google Scholar] [CrossRef]








© 2020 by the authors. Licensee MDPI, Basel, Switzerland. This article is an open access article distributed under the terms and conditions of the Creative Commons Attribution (CC BY) license (http://creativecommons.org/licenses/by/4.0/).
Share and Cite
Zhou, W.; Fan, J.; Xin, Z.; You, G. Micro-Structure Modelling and Electrical Properties Analysis of PZT Matrix Ferroelectric Composites. Materials 2020, 13, 448. https://doi.org/10.3390/ma13020448
Zhou W, Fan J, Xin Z, You G. Micro-Structure Modelling and Electrical Properties Analysis of PZT Matrix Ferroelectric Composites. Materials. 2020; 13(2):448. https://doi.org/10.3390/ma13020448
Chicago/Turabian StyleZhou, Weibin, Jinbo Fan, Zhenchao Xin, and Guodong You. 2020. "Micro-Structure Modelling and Electrical Properties Analysis of PZT Matrix Ferroelectric Composites" Materials 13, no. 2: 448. https://doi.org/10.3390/ma13020448
APA StyleZhou, W., Fan, J., Xin, Z., & You, G. (2020). Micro-Structure Modelling and Electrical Properties Analysis of PZT Matrix Ferroelectric Composites. Materials, 13(2), 448. https://doi.org/10.3390/ma13020448

