Optimizing the Caloric Properties of Cu-Doped Ni–Mn–Ga Alloys
Abstract
1. Introduction
2. Experimental Details
3. Results and Discussion
3.1. Structural and Magnetic Transitions
3.2. Transformation Entropy Changes and Hysteresis
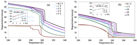
3.3. Magnetostructural Transition Under Applied Field
3.4. Optimization of Caloric Properties
4. Summary and Conclusions
- The evolution of the MT temperatures and the Curie temperature as a function of Cu content circumscribes between x = 5.5 and x = 7.5 the domain of compositions in which the magnetostructural transition Apara↔mferro takes place.
- Within this range of compositions, the measured transformation entropy is increased owing to the magnetic contribution to entropy; contrary to what happens in the case of alloys undergoing Aferro→mweak MT, when the MT produces a magnetization increase, the magnetic contribution adds—in absolute value—to the structural contribution. Interestingly, the highest transformation entropy is obtained for x = 6, for which the difference between the extrapolated Curie temperature of martensite and the MT temperatures, and thus the magnetic order of the martensite phase as it forms, is the largest of the set.
- The hysteresis of the MT displays a minimum within the Apara↔mferro window, located at x = 6. The structural determination made from XRD indicates that the structure of the martensite switches from 5M to NM with increasing x, with the singularity that, for x = 6, the first formed martensite is the orthorhombic 7M, although it transforms into NM by an IMT on further cooling. The middle eigenvalue of the transformation stretch matrix (λ2), computed from the lattice parameters of the identified structures, correlates perfectly with thermal hysteresis, with the closest to one λ2 being obtained for x = 6. Lattice compatibility is thus considered as the main cause of the low hysteresis displayed by this alloy.
- The effect of the applied magnetic field on the alloys undergoing Apara↔mferro MT is to raise the transformation temperatures, as expected for a positive magnetization jump. However, the dT/dB rate is low, around 1 K/T, which makes it difficult to induce MT with moderate magnetic fields.
- The alloys with 6 at% and 7 at% Cu show large and direct MCE, reaching peak values of isothermal magnetocaloric entropy of 36 J/(kg·K) and 20 J/(kg·K), respectively, for fields above 5 T. These bound values coincide with the transformation entropy change of each alloy.
- To ease the field-induced transformation under low magnetic fields, and also to increase the caloric performance, the effect of mechanical stress was studied for the alloy x = 6. A relatively large ECE (compared with other Heusler alloys) with isothermal entropy of 8.5 J/(kg·K) under 50 MPa is observed. Because MCE and ECE are both direct, their combination is expected to improve the overall refrigeration capacity of the alloy.
- As a concluding remark, the magnetostructural transition for alloy Ni50Mn19Cu6Ga25 is accompanied by large transformation entropy change, low thermal hysteresis, and giant MCE and ECE near room temperature, meeting some of the criteria for optimal caloric performance.
Author Contributions
Funding
Conflicts of Interest
References
- Kainuma, R.; Imano, Y.; Ito, W.; Sutou, Y.; Morito, H.; Okamoto, S.; Kitakami, O.; Kanomata, T.; Ishida, K. Magnetic-field-induced shape recovery by reverse phase transformation. Nature 2006, 439, 957–960. [Google Scholar] [CrossRef] [PubMed]
- Liu, J.; Scheerbaum, N.; Hinz, D.; Gutfleisch, O. Martensitic transformation and magnetic properties in Ni–Fe–Ga–Co magnetic shape memory alloys. Acta Mater. 2008, 56, 3177–3186. [Google Scholar] [CrossRef]
- Planes, A.; Mañosa, L.; Acet, M. Recent Progress and Future Perspectives in Magnetic and Metamagnetic Shape-Memory Heusler Alloys. Mater. Sci. Forum 2013, 738, 391–399. [Google Scholar] [CrossRef]
- Chernenko, V.A.; L’Vov, V.A.; Zagarodnyuk, S.P.; Takagi, T. Ferromagnetism of thermoelastic martensites: Theory and experiment. Phys. Rev. B 2003, 67, 064407. [Google Scholar] [CrossRef]
- Seguí, C.; Cesari, E. Composition and atomic order effects on the structural and magnetic transformations in ferromagnetic Ni-Co-Mn-Ga shape memory alloys. J. Appl. Phys. 2012, 111, 043914. [Google Scholar] [CrossRef]
- Seguí, C. Effects of the interplay between atomic and magnetic order on the properties of metamagnetic Ni-Co-Mn-Ga shape memory alloys. J. Appl. Phys. 2014, 115, 113903. [Google Scholar] [CrossRef]
- Mañosa, L.; Planes, A. Special issue on caloric materials. J. Phys. D Appl. Phys. 2018, 51, 070201. [Google Scholar] [CrossRef]
- Roy, S.B.; Chaddah, P.; Pecharsky, V.K.; Gschneidner, K.A. Overview No. 145 Metamagnetic transitions, phase coexistence and metastability in functional magnetic materials. Acta Mater. 2008, 56, 5895. [Google Scholar] [CrossRef]
- Liu, J.; Gottschall, T.; Skokov, K.P.; Moore, J.D.; Gutfleisch, O. Giant magnetocaloric effect driven by structural transitions. Nat. Mater. 2012, 11, 620. [Google Scholar] [CrossRef]
- Moya, X.; Kar-Narayan, S.; Mathur, N.D. Caloric materials near ferroic phase transitions. Nat. Mater. 2014, 13, 439. [Google Scholar] [CrossRef]
- Mañosa, L.; Planes, A. Materials with Giant Mechanocaloric Effects: Cooling by Strength. Adv. Mater. 2017, 29, 1603607. [Google Scholar] [CrossRef] [PubMed]
- Wu, Y.; Ertekin, E.; Sehitoglu, H. Elastocaloric cooling capacity of shape memory alloys—Role of deformation temperatures, mechanical cycling, stress hysteresis and inhomogeneity of transformation. Acta Mater. 2017, 135, 158–176. [Google Scholar] [CrossRef]
- Castillo-Villa, P.O.; Soto-Parra, D.E.; Matutes-Aquino, J.A.; Ochoa-Gamboa, R.A.; Planes, A.; Mañosa, L.; Gonzalez-Alonso, D.; Stipcich, M.; Romero, R.; Rios-Jara, D.; et al. Caloric effects induced by magnetic and mechanical fields in Ni50Mn25−xGa25Cox magnetic shape memory alloy. Phys. Rev. B 2011, 83, 17410. [Google Scholar] [CrossRef]
- Seguí, C.; Cesari, E. Contributions to the Transformation Entropy Change and Influencing Factors in Metamagnetic Ni-Co-Mn-Ga Shape Memory Alloys. Entropy 2014, 16, 5560–5574. [Google Scholar] [CrossRef]
- Sandeman, K.G. Magnetocaloric materials: The search for new systems. Scr. Mater. 2012, 67, 566–571. [Google Scholar] [CrossRef]
- Franco, V.; Blázquez, J.S.; Ipus, J.J.; Law, J.Y.; Moreno-Ramírez, L.M.; Conde, A. Magnetocaloric effect: From materials research to refrigeration devices. Prog. Mater. Sci. 2018, 93, 112–232. [Google Scholar] [CrossRef]
- Sokolovskiy, V.; Buchelnikov, V.; Skokov, K.; Gutfleisch, O.; Karpenkov, D.; Koshkid’ko, Y.; Miki, H.; Dubenko, I.; Ali, N.; Stadler, S.; et al. Magnetocaloric and Magnetic Properties of Ni2Mn1−xCuxGa Heusler alloys: An Insight from the Direct Measurements and ab initio and Montecarlo Calculations. J. Appl. Phys. 2013, 114, 183913. [Google Scholar] [CrossRef]
- Kataoka, M.; Endo, K.; Kudo, N.; Kanomata, T.; Nishihara, H.; Shishido, T.; Umetsu, R.Y.; Nagasako, M.; Kainuma, R. Martensitic transition, ferromagetic transition, and their interplay in the shape memory alloys Ni2Mn1−xCuxGa. Phys. Rev. B 2010, 82, 214423. [Google Scholar] [CrossRef]
- Stadler, S.; Khan, M.; Mitchell, J.; Ali, N.; Gomes, A.M. Magnetocaloric properties of Ni2Mn1−xCuxGa. Appl. Phys. Lett. 2006, 88, 92511. [Google Scholar] [CrossRef]
- Dubenko, I.; Khan, M.; Pathak, A.K.; Gautam, B.R.; Stadler, S.; Ali, N. Magnetocaloric effects in Ni-Mn-X based Heusler alloys with X=Ga, Sb, and In. J. Magn. Magn. Mater. 2009, 321, 754–757. [Google Scholar] [CrossRef]
- Álvarez-Alonso, P.; López-García, J.; Daniel-Perez, G.; Salazar, D.; Lázpita, P.; Camarillo, J.P.; Flores-Zuñiga, H.; Rios-Jara, D.; Sánchez-Llamazares, J.L.; Chernenko, V.A. Simple Set-Up for Adiabatic Measurements of Magnetocaloric Effect. Key Eng. Mater. 2015, 644, 215–218. [Google Scholar] [CrossRef]
- Recarte, V.; Pérez-Landazábal, J.I.; Sánchez-Alarcos, V.; Zablotskii, V.; Cesari, E.; Kustov, S. Entropy change linked to the martensitic transformation in metamagnetic shape memory alloys. Acta Mater. 2012, 60, 3168–3175. [Google Scholar] [CrossRef]
- Gutfleisch, O.; Gottschall, T.; Fries, M.; Benke, D.; Radulov, I.; Skokov, K.P.; Wende, H.; Gruner, M.; Acet, M.; Entel, P.; et al. Mastering hysteresis in magnetocaloric materials. Philos. Trans. R. Soc. A 2016, 374, 20150308. [Google Scholar] [CrossRef] [PubMed]
- Zhang, Z.; James, R.D.; Müller, S. Energy barriers and hysteresis in martensític phase transformations. Acta Mater. 2009, 57, 4332–4352. [Google Scholar] [CrossRef]
- Seguí, C.; Chernenko, V.A.; Pons, J.; Cesari, E.; Khovailo, V.; Takagi, T. Low temperature-induced intermartensitic phase transformations in Ni-Mn-Ga single crystal. Acta Mater. 2005, 53, 111–120. [Google Scholar] [CrossRef]
- Ding, Z.; Liu, D.; Qi, Q.; Zhang, J.; Yao, Y.; Zhang, Y.; Cong, D.Y.; Zhu, J. Multistep superelasticity of Ni-Mn-Ga and Ni-Mn-Ga-Co-Cu microwires under stress-temperature coupling. Acta Mater. 2017, 140, 326–336. [Google Scholar] [CrossRef]
- Kanomata, T.; Endo, K.; Kudo, N.; Umetsu, R.Y.; Nishihara, H.; Kataoka, M.; Nagasako, M.; Kainuma, R.; Ziebeck, K.R.A. Magnetic Moment of Cu-Modified Ni2MnGa Magnetic Shape Memory Alloys. Metals 2013, 3, 114–122. [Google Scholar] [CrossRef]
- Khan, M.; Stadler, S.; Ali, N. Magnetocaloric properties of of Fe and Ge doped Ni2Mn1−xCuxGa. J. Appl. Phys. 2007, 101, 09C515. [Google Scholar] [CrossRef]
- Bruno, N.M.; Huang, Y.J.; Dennis, C.L.; Li, J.G.; Shull, R.D.; Ross, J.H.; Chumlyakov, Y.I.; Karaman, I. Effect of grain constraint on the field requirements for magnetocaloric effect in Ni45Co5Mn40Sn10 melt-spun ribbons. J. Appl. Phys. 2016, 120, 075101. [Google Scholar] [CrossRef]
- Zhang, X.; Zhang, H.; Qian, M.; Geng, L. Enhanced magnetocaloric effect in Ni-Mn-Sn-Co alloys with two successive magnetostructural transformations. Sci. Rep. 2018, 8, 8235. [Google Scholar] [CrossRef]
- Buchelnikov, V.D.; Sokolovskiy, V.V. Magnetocaloric Effect in Ni–Mn–X (X = Ga, In, Sn, Sb) Heusler Alloys. Phys. Met. Metallogr. 2011, 112, 633. [Google Scholar] [CrossRef]
- Huang, C.; Wang, Y.; Tang, Z.; Liao, X.; Yang, S.; Song, X. Influence of atomic ordering on elastocaloric and magnetocaloric effects of a Ni–Cu–Mn–Ga ferromagnetic shape memory alloy. J. Alloys Comp. 2015, 630, 244–249. [Google Scholar] [CrossRef]
- Wroblewski, R.; Sielicki, K.; Leonowicz, M. Magnetocaloric properties of Ni49.9Mn19.6Cu5.7Ga24.8 single crystal processed by Bridgman method with stationary crucible. Mater. Lett. 2018, 218, 83–85. [Google Scholar] [CrossRef]
- Millan-Solsona, R.; Stern-Taulats, E.; Vives, E.; Planes, A.; Sharma, J.; Nayak, A.K.; Suresh, K.G.; Mañosa, L. Large entropy change associated with the elastocaloric effect in polycrystalline Ni-Mn-Sb-Co magnetic shape memory alloys. Appl. Phys. Lett. 2014, 105, 241901. [Google Scholar] [CrossRef]
- Li, Z.; Li, Z.; Yang, J.; Li, D.; Yang, B.; Yan, H.; Nie, Z.; Hou, L.; Li, X.; Zhang, Y.; et al. Large elastocaloric effect in a polycrystalline Ni45.7Co4.2Mn37.3Sb12.8 alloy with low transformation strain. Scr. Mater. 2019, 162, 486. [Google Scholar] [CrossRef]











| Forward MT | |||||||
|---|---|---|---|---|---|---|---|
| <0 | <0 | <0 | >0 | >0 | <0 | ||
| >0 | <0 | >0 | >0 | <0 | <0 |
| Ni | Mn | Ga | Cu | MP | AP | TCm | TCA | |∆SA−m| | |∆S m−A| | (AP − MP) |
|---|---|---|---|---|---|---|---|---|---|---|
| 50 | 14 | 25 | 11 | 502.0 | 536.3 | 273.8 | - | 16 | 13 | 34.3 |
| 50 | 16 | 25 | 9 | 424.2 | 442.2 | 302.6 | - | 16 | 15 | 18.0 |
| 50 | 17.5 | 25 | 7.5 | 334.5 | 343.9 | 343.7 | - | 18 | 17 | 9.6 |
| 50 | 18 | 25 | 7 | 327.9 | 337.5 | - | - | 21 | 19 | 9.4 |
| 50 | 19 | 25 | 6 | 291.0 | 294.5 | - | - | 35 | 36 | 3.5 |
| 50 | 20 | 25 | 5 | 271.8 | 276.5 | - | 302.5 | 19 | 19 | 4.7 |
| 50 | 21 | 25 | 4 | 245.3 | 251.2 | - | 327.2 | 14 | 13 | 5.8 |
| 50 | 22 | 25 | 3 | 217.7 | 226.9 | - | 347.3 | 12 | 12 | 9.2 |
| x | ao | a | b | c | c/a | Martensite | λ2 | ΔT |
|---|---|---|---|---|---|---|---|---|
| 3 | 5.825 | 5.933 | - | 5.596 | 0.943 | 5M | 0.961 | 9.2 |
| 4 | 5.813 | 5.921 | - | 5.643 | 0.953 | 5M | 0.971 | 5.8 |
| 6 | 5.801 | 6.042 | 5.738 | 5.560 | - | 7M | 0.989 | 3.5 |
| 6 | 5.801 | 5.527 | - | 6.079 | 1.100 | NM | - | - |
| 7 | 5.804 | 5.481 | - | 6.468 | 1.180 | NM | 0.944 | 10.7 |
| 9 | 5.818 | 5.451 | - | 6.572 | 1.206 | NM | 0.937 | 18.0 |
| 11 | 5.828 | 5.443 | - | 6.576 | 1.208 | NM | 0.934 | 34.3 |
© 2020 by the authors. Licensee MDPI, Basel, Switzerland. This article is an open access article distributed under the terms and conditions of the Creative Commons Attribution (CC BY) license (http://creativecommons.org/licenses/by/4.0/).
Share and Cite
Seguí, C.; Torrens-Serra, J.; Cesari, E.; Lázpita, P. Optimizing the Caloric Properties of Cu-Doped Ni–Mn–Ga Alloys. Materials 2020, 13, 419. https://doi.org/10.3390/ma13020419
Seguí C, Torrens-Serra J, Cesari E, Lázpita P. Optimizing the Caloric Properties of Cu-Doped Ni–Mn–Ga Alloys. Materials. 2020; 13(2):419. https://doi.org/10.3390/ma13020419
Chicago/Turabian StyleSeguí, Concepcio, Joan Torrens-Serra, Eduard Cesari, and Patricia Lázpita. 2020. "Optimizing the Caloric Properties of Cu-Doped Ni–Mn–Ga Alloys" Materials 13, no. 2: 419. https://doi.org/10.3390/ma13020419
APA StyleSeguí, C., Torrens-Serra, J., Cesari, E., & Lázpita, P. (2020). Optimizing the Caloric Properties of Cu-Doped Ni–Mn–Ga Alloys. Materials, 13(2), 419. https://doi.org/10.3390/ma13020419

