Exploring the Halogen-Bonded Cocrystallization Potential of a Metal-Organic Unit Derived from Copper(ii) Chloride and 4-Aminoacetophenone
Abstract
1. Introduction
2. Materials and Methods
2.1. Synthesis of CuCl2(aap)2
2.2. Mechanochemical Experiments
2.3. Crystallization Experiments
2.4. Thermal Analysis
2.5. Single-Crystal X-ray Diffraction Experiments
2.6. Powder X-ray Diffraction Experiments
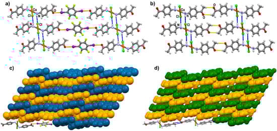
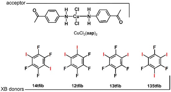
3. Results and Discussion
4. Conclusions
Supplementary Materials
Author Contributions
Funding
Conflicts of Interest
References
- Cavallo, G.; Metrangolo, P.; Milani, R.; Pilati, T.; Priimagi, A.; Resnati, G.; Terraneo, G. The Halogen Bond. Chem. Rev. 2016, 116, 2478–2601. [Google Scholar] [CrossRef]
- Fourmigué, M. Halogen bonding: Recent advances. Curr. Opin. Solid State Mater. Sci. 2009, 13, 36–45. [Google Scholar] [CrossRef]
- Priimägi, A.; Cavallo, G.; Metrangolo, P.; Resnati, G. The Halogen Bond in the Design of Functional Supramolecular Materials: Recent Advances. Acc. Chem. Res. 2013, 46, 2686–2695. [Google Scholar] [CrossRef] [PubMed]
- Politzer, P.; Murray, J.S.; Clark, T. Halogen bonding: An electrostatically-driven highly directional noncovalent interaction. Phys. Chem. Chem. Phys. 2010, 12, 7748–7757. [Google Scholar] [CrossRef] [PubMed]
- Lisac, K.; Topić, F.; Arhangelskis, M.; Cepić, S.; Julien, P.A.; Nickels, C.W.; Morris, A.J.; Friščić, F.; Cinčić, D. Halogen-bonded cocrystallization with phosphorus, arsenic and antimony acceptors. Nat. Commun. 2019, 10, 61. [Google Scholar] [CrossRef]
- Legon, A.C. The halogen bond: An interim perspective. Phys. Chem. Chem. Phys. 2010, 12, 7736–7747. [Google Scholar] [CrossRef]
- Messina, M.T.; Metrangolo, P.; Panzeri, W.; Ragg, E.; Resnati, G. Perfluorocarbon-hydrocarbon self-assembly. Part 3.Liquid phase interactions between perfluoroalkylhalides and heteroatom containing hydrocarbons. Tetrahedron Lett. 1998, 39, 9069–9072. [Google Scholar] [CrossRef]
- Cinčić, D.; Friščić, T.; Jones, W. Isostructural materials achieved by using structurally equivalent donors and acceptors in halogen-bonded cocrystals. Chem. Eur. J. 2008, 14, 747–753. [Google Scholar] [CrossRef]
- Stilinović, V.; Horvat, G.; Hrenar, T.; Nemec, V.; Cinčić, D. Halogen and hydrogen bonding between (N-halogeno) succinimides and pyridine derivatives in solution, the solid state and in silico. Chem. Eur. J. 2017, 23, 5244–5257. [Google Scholar] [CrossRef]
- Troff, R.W.; Mäkelä, T.; Topić, F.; Valkonen, A.; Raatikainen, K.; Rissanen, K. Alternative motifs for halogen bonding. Eur. J. Org. Chem. 2013, 9, 1617–1637. [Google Scholar] [CrossRef]
- Eraković, M.; Cinčić, D.; Molčanov, K.; Stilinović, V. Crystallographic Charge Density Study of the Partial Covalent Nature of Strong N···Br Halogen Bonds. Angew. Chem. Int. Ed. 2019, 58, 15702–15706. [Google Scholar] [CrossRef] [PubMed]
- Aakeröy, C.B.; Schultheiss, N.C.; Rajbanshi, A.; Desper, J.; Moore, C. Supramolecular synthesis based on a combination of hydrogen and halogen bonds. Cryst. Growth Des. 2009, 9, 432–441. [Google Scholar] [CrossRef] [PubMed]
- Aakeröy, C.B.; Wijethunga, T.K.; Haj, M.A.; Desper, J.; Moore, C. The structural landscape of heteroaryl-2-imidazoles: Competing halogen- and hydrogen-bond interactions. CrystEngComm 2014, 16, 7218–7225. [Google Scholar] [CrossRef]
- Aakeröy, C.B.; Chopade, P.D.; Desper, J. Avoiding “synthon crossover” in crystal engineering with halogen bonds and hydrogen bonds. Cryst. Growth Des. 2011, 11, 5333–5336. [Google Scholar] [CrossRef]
- Bertani, R.; Sgarbossa, P.; Venzo, A.; Lelj, F.; Amati, M.; Resnati, G.; Pilati, T.; Metrangolo, P.; Terraneo, G. Halogen bonding in metal–organic–supramolecular networks. Coord. Chem. Rev. 2010, 254, 677–695. [Google Scholar] [CrossRef]
- Mahmudov, K.T.; Kopylovich, M.N.; Guedes da Silva, M.F.C.; Pombeiro, A.J.L. Non-covalent interactions in the synthesis of coordination compounds: Recent advances. Coord. Chem. Rev. 2017, 345, 54–72. [Google Scholar] [CrossRef]
- Li, B.; Zhang, S.-Q.; Wang, L.-Y.; Mak, T.C.W. Halogen bonding: A powerful, emerging tool for constructing high-dimensional metal-containing supramolecular networks. Coord. Chem. Rev. 2016, 308, 1–21. [Google Scholar] [CrossRef]
- Gamekkanda, J.C.; Sinha, A.S.; Desper, J.; Ðaković, M.; Aakeröy, C.B. The Role of Halogen Bonding in Controlling Assembly and Organization of Cu (II)-Acac Based Coordination Complexes. Crystals 2017, 7, 226. [Google Scholar] [CrossRef]
- Aakeröy, C.B.; Schultheiss, N.; Desper, J.; Moore, C. Attempted assembly of discrete coordination complexes into 1-D chains using halogen bonding or halogen⋯halogen interactions. CrystEngComm 2007, 9, 421–426. [Google Scholar] [CrossRef]
- Zordan, F.; Brammer, L.; Sherwood, P. Supramolecular Chemistry of Halogens: Complementary features of inorganic (M–X) and organic (C–X′) halogens applied to M–X···X′–C halogen bond formation. J. Am. Chem. Soc. 2005, 127, 5979–5989. [Google Scholar] [CrossRef]
- Brammer, L.; Espallargas, G.M.; Libri, S. Combining metals with halogen bonds. CrystEngComm 2008, 10, 1712–1727. [Google Scholar] [CrossRef]
- Nandi, G.; Titi, H.M.; Goldberg, I. Exploring supramolecular self-assembly of metalloporphyrin tectons by halogen bonding. 2. Cryst. Growth Des. 2014, 14, 3557–3566. [Google Scholar] [CrossRef]
- Fernandez-Palacio, F.; Saccone, M.; Priimagi, A.; Terraneo, G.; Pilati, T.; Metrangolo, P.; Resnati, G. Coordination networks incorporating halogen-bond donor sites and azobenzene groups. CrystEngComm 2016, 18, 2251–2257. [Google Scholar] [CrossRef]
- Espallargas, G.M.; Brammer, L.; Sherwood, P. Designing intermolecular interactions between halogenated peripheries of inorganic and organic molecules: Electrostatically directed M–X···X′–C halogen bonds. Angew. Chem. Int. Ed. 2006, 45, 435–440. [Google Scholar] [CrossRef]
- Awwadi, F.F.; Willett, R.D.; Twamley, B. The aryl chlorine-halide ion synthon and its role in the control of the crystal structures of tetrahalocuprate(ii) ions. Cryst. Growth Des. 2007, 7, 624–632. [Google Scholar] [CrossRef]
- Derossi, S.; Brammer, L.; Hunter, C.A.; Ward, M.D. Halogen bonded supramolecular assemblies of [Ru(bipy)(CN)4]2– anions and N-methyl-halopyridinium cations in the solid state and in solution. Inorg. Chem. 2009, 48, 1666–1677. [Google Scholar] [CrossRef]
- Valle, G.; Ettorre, R. Bis(4-bromoimidazolium) tetrachloropalladate(ii). Acta Cryst. C 1994, 50, 1221–1222. [Google Scholar] [CrossRef]
- Imakubo, T.; Sawa, H.; Kato, R. Novel molecular conductors, (DIETS)4M(CN)4 (M = Ni, Pd, Pt): Highly reticulated donor ··· anion contacts by –I ··· NC– interaction. J. Chem. Soc. Chem. Commun. 1995, 16, 1667–1668. [Google Scholar] [CrossRef]
- Yamashita, Y.; Tomura, M.; Badruz-Zaman, M. Synthesis and properties of novel tetrathiafulvalene vinylogues. Chem. Commun. 1998, 16, 1657–1658. [Google Scholar] [CrossRef]
- Kosaka, Y.; Yamamoto, H.M.; Tajima, A.; Nakao, A.; Cui, H.; Kato, R. Supramolecular Ni(dmit)2 salts with halopyridinium cations -development of multifunctional molecular conductors with the use of competing supramolecular interactions. CrystEngComm 2013, 15, 3200–3211. [Google Scholar] [CrossRef]
- Imakubo, T.; Kobayashi, M. Effects of solvent additives on the crystal architecture of supramolecular conductors based on diiodo(ethylenedithio)tetraselenafulvalene and indium tetrahalide anions. Eur. J. Inorg. Chem. 2014, 24, 3973–3981. [Google Scholar] [CrossRef]
- Pfrunder, M.C.; Micallef, A.S.; Rintoul, L.; Arnold, D.P.; McMurtrie, J. Interplay between the supramolecular motifs of polypyridyl metal complexes and halogen bond networks in cocrystals. Cryst. Growth Des. 2016, 16, 681–695. [Google Scholar] [CrossRef]
- Jeon, I.-R.; Mathonière, C.; Clérac, R.; Rouzières, M.; Jeannin, O.; Trzop, E.; Collet, E.; Fourmigué, M. Photoinduced reversible spin-state switching of an Feiii complex assisted by a halogen-bonded supramolecular network. Chem. Commun. 2017, 53, 10283–10286. [Google Scholar] [CrossRef] [PubMed]
- Ding, X.; Tuikka, M.J.; Hirva, P.; Kukushkin, V.Y.; Novikov, A.S.; Haukka, M. Fine-tuning halogen bonding properties of diiodine through halogen-halogen charge transfer- extended [Ru(2,2′-bipyridine)(CO)2X2]∙I2 systems (X = Cl, Br, I). CrystEngComm 2016, 18, 1987–1995. [Google Scholar] [CrossRef]
- Ivanov, D.M.; Novikov, A.S.; Ananyev, I.V.; Kirina, Y.V.; Kukushkin, V.Y. Halogen bonding between metal centers and halocarbons. Chem. Commun 2016, 52, 5565–5568. [Google Scholar] [CrossRef] [PubMed]
- Lisac, K.; Cinčić, D. Simple design for metal-based halogen-bonded cocrystals utilizing the M–Cl···I motif. CrystEngComm 2018, 20, 5955–5963. [Google Scholar] [CrossRef]
- Cinčić, D.; Friščić, T. Synthesis of an extended halogen-bonded metal–organic structure in a one-pot mechanochemical reaction that combines covalent bonding, coordination chemistry and supramolecular synthesis. CrystEngComm 2014, 16, 10169–10172. [Google Scholar] [CrossRef]
- Nemec, V.; Fotović, L.; Friščić, T.; Cinčić, D. A large family of halogen-bonded cocrystals involving metal-organic building blocks with open coordination sites. Cryst. Growth Des. 2017, 17, 6169–6173. [Google Scholar] [CrossRef]
- Merkens, C.; Pan, F.; Englert, U. 3-(4-pyridyl)-2,4-pentanedione - a bridge between coordinativve, halogen, and hydrogen bonds. CrystEngComm 2013, 15, 8153–8158. [Google Scholar] [CrossRef]
- Pfrunder, M.C.; Brock, A.J.; Brown, J.J.; Grosjean, A.; Ward, J.; McMurtrie, J.C.; Clegg, J.K. A three-dimensional cubic halogen-bonded network. Chem. Commun. 2018, 54, 3974–3976. [Google Scholar] [CrossRef]
- Ghosh, B.N.; Lahtinen, M.; Kalenius, E.; Mal, P.; Rissanen, K. 2,2′:6′,2″-terpyridine trimethylplatinum(iv) iodide complexes as bifunctional halogen bond acceptors. Cryst. Growth Des. 2016, 16, 2527–2534. [Google Scholar] [CrossRef]
- Lapadula, G.; Judaš, N.; Friščić, T.; Jones, W. A three-component modular strategy to extend and link coordination complexes by using halogen bonds to O, S and π acceptors. Chem. Eur. J. 2010, 16, 7400–7403. [Google Scholar] [CrossRef] [PubMed]
- Groom, C.R.; Bruno, I.J.; Lightfoot, M.P.; Ward, S.C. The Cambridge Structural Database. Acta Cryst. B 2016, 72, 171–179. [Google Scholar] [CrossRef] [PubMed]
- Kettle, S.F.A. Stability of coordination compounds. In Physical Inorganic Chemistry; Springer: Berlin/Heidelberg, Germany, 1996; pp. 73–94. [Google Scholar]
- James, S.L.; Adams, C.J.; Bolm, C.; Braga, D.; Collier, P.; Friščić, T.; Grepioni, F.; Harris, K.D.M.; Hyett, G.; Jones, W.; et al. Mechanochemistry: Opportunities for new and cleaner synthesis. Chem. Soc. Rev. 2012, 41, 413–447. [Google Scholar] [CrossRef] [PubMed]
- Friščić, T.; Jones, W. Recent advances in understanding the mechanism of cocrystal formation via grinding. Cryst. Growth Des. 2009, 9, 1621–1637. [Google Scholar] [CrossRef]
- STARe Evaluation Software Version 15.00 (Build 8668), Mettler-Toledo GmbH: Giessen, Germany, 2016.
- CrysAlis CCD V171.34, Oxford Diffraction, Oxford Diffraction Ltd.: Abingdon, Oxfordshire, UK, 2003.
- CrysAlis RED V171.34, Oxford Diffraction, Oxford Diffraction Ltd.: Abingdon, Oxfordshire, UK, 2003.
- Sheldrick, G.M. A short history of SHELX. Acta Cryst. A 2008, 64, 112–122. [Google Scholar] [CrossRef]
- Sheldrick, G.M. SHELXT- Integrated space-group and crystal-structure determination. Acta Cryst. A 2015, 71, 3–8. [Google Scholar] [CrossRef]
- Farrugia, L.J. WinGX suite for small-molecule single-crystal crystallography. J. Appl. Cryst. 1999, 32, 837–838. [Google Scholar] [CrossRef]
- Macrae, C.F.; Bruno, I.J.; Chisholm, J.A.; Edgington, P.R.; McCabe, P.; Pidcock, E.; Rodriguez-Monge, L.; Taylor, R.; van de Streek, J.; Wood, P.A. Mercury CSD 2.0- new features for the visualization and investigation of crystal structures. J. Appl. Cryst. 2008, 41, 466–470. [Google Scholar] [CrossRef]
- Philips X’Pert Data Collector 1.3e, Philips Analytical, B.V.: Almelo, The Netherlands, 2001.
- Philips X’Pert Graphics & Identify 1.3e, Philips Analytical, B.V.: Almelo, The Netherlands, 2001.
- Philips X’Pert Plus 1.0, Philips Analytical, B.V.: Almelo, The Netherlands, 1999.
- Nemec, V.; Cinčić, D. Uncommon halogen bond motifs in cocrystals of aromatic amines and 1,4-diiodotetrafluorobenzene. CrystEngComm 2016, 18, 7425–7429. [Google Scholar] [CrossRef]
- Yang, L.; Powell, D.R.; Houser, R.P. Structural variation in copper(i) complexes with pyridylmethylamide ligands: Structural analysis with a new four-coordinate geometry index, τ4. Dalton Trans. 2007, 955–964. [Google Scholar] [CrossRef] [PubMed]
- Okuniewski, A.; Rosiak, D.; Chojnacki, J.; Becker, B. Coordination polymers and molecular structures among complexes of mercury(ii) halides with selected 1-benzoylthioureas. Polyhedron 2015, 90, 47–57. [Google Scholar] [CrossRef]
- Bondi, A.J. van der Waals volumes and radii. Phys. Chem. 1964, 68, 441–451. [Google Scholar] [CrossRef]




| Donor | Monodentate Ligand | Bidentate Ligand | Halide and Pseudohalide |
|---|---|---|---|
| 1,4-diiodotetrafluorobenzene | 8 hits | 18 hits | 20 hits |
| 1,3-diiodotetrafluorobenzene | no hits | 2 hits | 2 hits |
| 1,2-diiodotetrafluorobenzene | no hits | no hits | 3 hits |
| 1,3,5-triiodotrifluorobenzene | no hits | 5 hits | 2 hits |
© 2020 by the authors. Licensee MDPI, Basel, Switzerland. This article is an open access article distributed under the terms and conditions of the Creative Commons Attribution (CC BY) license (http://creativecommons.org/licenses/by/4.0/).
Share and Cite
Nemec, V.; Lisac, K.; Liović, M.; Brekalo, I.; Cinčić, D. Exploring the Halogen-Bonded Cocrystallization Potential of a Metal-Organic Unit Derived from Copper(ii) Chloride and 4-Aminoacetophenone. Materials 2020, 13, 2385. https://doi.org/10.3390/ma13102385
Nemec V, Lisac K, Liović M, Brekalo I, Cinčić D. Exploring the Halogen-Bonded Cocrystallization Potential of a Metal-Organic Unit Derived from Copper(ii) Chloride and 4-Aminoacetophenone. Materials. 2020; 13(10):2385. https://doi.org/10.3390/ma13102385
Chicago/Turabian StyleNemec, Vinko, Katarina Lisac, Marin Liović, Ivana Brekalo, and Dominik Cinčić. 2020. "Exploring the Halogen-Bonded Cocrystallization Potential of a Metal-Organic Unit Derived from Copper(ii) Chloride and 4-Aminoacetophenone" Materials 13, no. 10: 2385. https://doi.org/10.3390/ma13102385
APA StyleNemec, V., Lisac, K., Liović, M., Brekalo, I., & Cinčić, D. (2020). Exploring the Halogen-Bonded Cocrystallization Potential of a Metal-Organic Unit Derived from Copper(ii) Chloride and 4-Aminoacetophenone. Materials, 13(10), 2385. https://doi.org/10.3390/ma13102385

