Shape Memory Epoxy Polymer (SMEP) Composite Mechanical Properties Enhanced by Introducing Graphene Oxide (GO) into the Matrix
Abstract
1. Introduce
2. Experimental
2.1. Materials
2.2. Synthesis of Graphene Oxide (GO)
2.3. Fabrication of Epoxy Resin/GO Nanocomposites
2.4. Characterization
3. Results and Discussion
3.1. Characterizations of Microstructure
3.2. Thermal Properties
3.3. Mechanical Properties
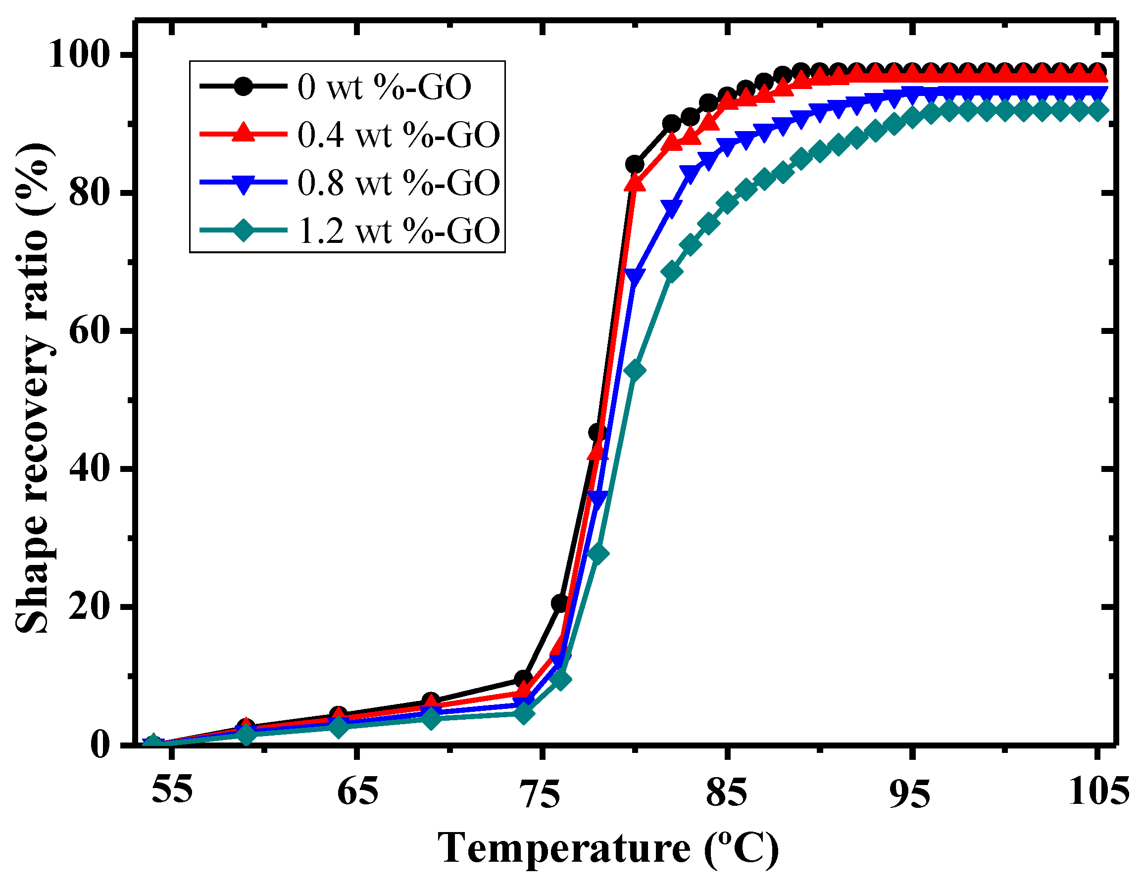
3.4. Shape Memory Properties
4. Conclusions
- (1)
- The Tg of a specimen after GO filling was enhanced, and presented an upward trend with augmenting of the GO content. The maximum thermal decomposition temperature showed a tendency of first increasing and then decreasing with the augmenting of the GO mass fraction. Accordingly, the thermal decomposition rate showed a similar trend.
- (2)
- The tensile fracture stresses and flexural fracture stresses of samples with 0.8 wt % GO content reached their maximum values, which were 34.9% and 60.93% greater than those of neat epoxy resin, respectively.
- (3)
- The greatest impact strength, minimum impact deformation and maximum absorbed energy were obtained in the fabricated samples with 0.8 wt % GO content.
- (4)
- The shape recovery ratio of composites decreased with the increase of GO content, and the shape restoring rate increased as the temperature rose.
Author Contributions
Funding
Conflicts of Interest
References
- Yi, Z.; Zhang, J.; Zhang, S.; Gao, Q.; Li, J.; Zhang, W. Synthesis and mechanism of metal-mediated polymerization of phenolic resins. Polymers 2016, 8, 159. [Google Scholar] [CrossRef]
- Bodaghi, M.; Shakeri, M.; Aghdam, M.M. Thermo-mechanical behavior of shape adaptive composite plates with surface bonded shape memory alloy ribbons. Compos. Struct. 2015, 119, 115–133. [Google Scholar] [CrossRef]
- Deng, R.; Liu, S.; Liang, F.; Wang, K.; Zhu, J.; Yang, Z. Polymeric janus particles with hierarchical structures. Macromolecules 2014, 47, 3701–3707. [Google Scholar] [CrossRef]
- Xie, F.; Huang, L.N.; Liu, T.J.; Leng, J.S. Synthesis and characterization of high temperature cyanate-based shape memory polymers with functional poly-butadiene/acrylonitrile. Polymer 2014, 55, 5873–5879. [Google Scholar] [CrossRef]
- Ni, Q.Q.; Zhang, C.S.; Fu, Y.Q.; Dai, G.Z.; Kimura, T. Shape memory effect and mechanical properties of carbon nanotube/shape memory polymer nano-composites. Compos. Struct. 2007, 81, 176–184. [Google Scholar] [CrossRef]
- Zhang, L.; Du, H.; Liu, L. Analysis and design of smart mandrels using shape memory polymers. Compos. Part B Eng. 2014, 59, 230–237. [Google Scholar] [CrossRef]
- Farzaneh, S.; Fitoussi, J.; Lucas, A. Shape memory effect and properties memory effect of polyurethane. J. Appl. Polym. Sci. 2013, 128, 3240–3249. [Google Scholar] [CrossRef]
- Dhand, V.; Mittal, G.; Rhee, K.Y.; Park, S.J.; Hui, D. A short review on basalt fiber reinforced polymer composites. Compos. Part B 2015, 73, 166–180. [Google Scholar] [CrossRef]
- Laoubi, K.; Hamadi, Z.; Benyahia, A.A.; Serier, A.; Azari, Z. Thermal behavior of E-glass fiber-reinforced unsaturated polyester composites. Compos. Part B 2014, 56, 520–526. [Google Scholar] [CrossRef]
- Yang, B.; Wang, Z.Q.; Zhou, L.M.; Zhang, J.F.; Liang, W.Y. Experimental and numerical investigation of interply hybrid composites based on woven fabrics and PCBT resin subjected to low-velocity impact. Compos. Struct. 2015, 132, 464–476. [Google Scholar] [CrossRef]
- Pistor, V.; Bluma, G.S.; Raquel, S.M. Influence of different percentages of N-phenylaminopropyl-poss on the degradation kinetic of epoxy resin. Polym. Compos. 2012, 33, 1439–1444. [Google Scholar] [CrossRef]
- Arun, K.; Ramkishor, A.; Kaushal, K.; Sampat, S.C.; Sudhir, K.; Ravindra, K. Anticorrosive and electromagnetic shielding response of a graphene/TiO-epoxy nanocomposite with enhanced mechanical properties. RSC Adv. 2016, 6, 113405–113414. [Google Scholar]
- Gujjala, R.; Ojha, S.; Acharya, S.K.; Pal, S.K. Mechanical properties of woven jute-glass hybrid-reinforced epoxy composite. J. Compos. Mater. 2013, 48, 3445–3455. [Google Scholar] [CrossRef]
- Al-Itry, R.; Lamnawar, K.; Maazouz, A. Biopolymer blends based on poly(lactic acid): Shear and elongation rheology/structure/blowing process relationships. Polymers 2015, 7, 939–962. [Google Scholar] [CrossRef]
- Wang, Z.Q.; Liu, J.B.; Guo, J.M.; Sun, X.Y.; Xu, L.D. The Study of Thermal, Mechanical and Shape Memory Properties of Chopped Carbon Fiber-Reinforced TPI Shape Memory Polymer Composites. Polymers 2017, 9, 594. [Google Scholar] [CrossRef]
- Li, G.; Xu, W. Thermomechanical behavior of thermo set shape memory polymer programmed by cold-compression: Testing and constitutive modeling. J. Mech. Phys. Solids 2011, 59, 1231–1250. [Google Scholar] [CrossRef]
- Hu, J.; Zhu, Y.; Huang, H.; Lu, J. Recent advances in shape memory polymers: Structure, mechanism, functionality, modeling and applications. Prog. Mater. Sci. 2012, 37, 1720–1763. [Google Scholar] [CrossRef]
- Ward, S.; Pooja, S.; Thomas, S.; Duncan, J. Biomedical applications of thermally activated shape memory polymers. Mater. Chem. 2010, 20, 3356–3366. [Google Scholar]
- Wang, X.L.; Dou, W.Q. Preparation of graphite oxide (GO) and the thermal stability of silicone rubber/GO nanocomposites. Thermochim. Acta 2012, 529, 25–28. [Google Scholar] [CrossRef]
- Kou, L.; Gao, C. Making silica nanoparticle-covered graphene oxide nanohybrids as general building blocks for large-area superhydrophilic coatings. Nanoscale 2011, 3, 519–528. [Google Scholar] [CrossRef]
- Wang, Y.; Shi, Z.X.; Fang, J.H.; Xu, H.J.; Yin, J. Graphene oxide/polybenzimidazole composites fabricated by a solvent-exchange method. Carbon 2011, 49, 1199–1207. [Google Scholar] [CrossRef]
- Shao, L.; Chang, X.J.; Zhang, Y.L.; Huang, Y.F.; Yao, Y.H.; Guo, Z.H. Graphene oxide cross-linked chitosan nanocomposite membrane. Appl. Surf. Sci. 2013, 280, 989–992. [Google Scholar] [CrossRef]
- Wu, H.Q.; Tang, B.B.; Wu, P.Y. Development of novel SiO2–GO nanohybrid/polysulfone membrane with enhanced performance. J. Membr. Sci. 2014, 451, 94–102. [Google Scholar] [CrossRef]
- Monti, M.; Rallini, M.; Puglia, D.; Peponi, L. Morphology and electrical properties of graphene-epoxy nanocomposites obtained by different solvent assisted processing methods. Compos. Part A 2013, 46, 166–172. [Google Scholar] [CrossRef]
- Geng, Y.; Wang, S.J.; Kim, J.K. Preparation of graphite nanoplatelets and graphene sheets. J. Colloid Interface Sci. 2009, 336, 592–598. [Google Scholar] [CrossRef]
- Bortz, D.R.; Heras, E.G.; Martin-Gullon, I. Impressive fatigue life and fracture toughness improvements in graphene oxide/epoxy composites. Macromolecules 2012, 45, 238–245. [Google Scholar] [CrossRef]
- Xiang, Z.L.; Zhang, L.; Yuan, T.; Sun, J.Q. Healability Demonstrates Enhanced Shape-Recovery of Graphene-Oxide-Reinforced Shape-Memory Polymeric Films. ACS Appl. Mater. Interfaces 2018, 10, 2897–2906. [Google Scholar] [CrossRef]
- Huang, Q.; Hao, L.Y.; Gong, T.; Liu, M.T.; Lin, Y.F. Enhancement of Physicochemical Properties and Biocompatibility of Shape Memory Polymers by the Addition of Graphene Oxide. J. Biomed. Nanotechnol. 2017, 13, 678–687. [Google Scholar] [CrossRef]
- Wang, X.; Xing, W.Y.; Zhang, P.; Song, L.; Yang, H.Y.; Hu, Y. Covalent functionalization of graphene with organosilane and its use as a reinforcement in epoxy composites. Compos. Sci. Technol. 2012, 72, 737–743. [Google Scholar] [CrossRef]
- Hummers, W.S.; Offeman, R.E. Preparation of graphitic oxide. J. Am. Chem. Soc. 1958, 80, 1339. [Google Scholar] [CrossRef]
- Guo, J.M.; Wang, Z.Q.; Tong, L.Y.; Lv, H.Q. Shape memory and thermo-mechanical properties of shape memory polymer/carbon fiber composites. Compos. Part A 2015, 76, 162–171. [Google Scholar] [CrossRef]
- Guo, J.M.; Wang, Z.Q.; Tong, L.Y.; Liang, W.Y. Effects of short carbon fibres and nanoparticles on mechanical, thermal and shape memory properties of SMP hybrid nanocomposites. Compos. Part B 2016, 90, 152–159. [Google Scholar] [CrossRef]
- Gall, K.; Dunn, M.L.; Liu, Y.P.; Finch, D.; Lake, M.; Munshi, A.N. Shape memory polymer nanocomposites. Acta Mater. 2002, 50, 5115–5126. [Google Scholar] [CrossRef]
















| GO Content (wt %) | Fracture Stress (MPa) | Fracture Strain (%) | Young’s Modulus (GPa) |
|---|---|---|---|
| 0.0 | 56.26 | 2.63 | 2.59 |
| 0.4 | 68.71 | 2.57 | 2.71 |
| 0.8 | 75.93 | 2.42 | 2.89 |
| 1.2 | 58.12 | 2.24 | 2.81 |
| GO Content (wt %) | Flexural Stress (MPa) | Flexural Strain (%) | Flexural Modulus (GPa) |
|---|---|---|---|
| 0.0 | 78.13 | 2.56 | 3.06 |
| 0.4 | 91.57 | 2.69 | 3.23 |
| 0.8 | 139.06 | 3.32 | 3.51 |
| 1.2 | 131.49 | 2.75 | 3.47 |
© 2019 by the authors. Licensee MDPI, Basel, Switzerland. This article is an open access article distributed under the terms and conditions of the Creative Commons Attribution (CC BY) license (http://creativecommons.org/licenses/by/4.0/).
Share and Cite
Yu, Z.; Wang, Z.; Li, H.; Teng, J.; Xu, L. Shape Memory Epoxy Polymer (SMEP) Composite Mechanical Properties Enhanced by Introducing Graphene Oxide (GO) into the Matrix. Materials 2019, 12, 1107. https://doi.org/10.3390/ma12071107
Yu Z, Wang Z, Li H, Teng J, Xu L. Shape Memory Epoxy Polymer (SMEP) Composite Mechanical Properties Enhanced by Introducing Graphene Oxide (GO) into the Matrix. Materials. 2019; 12(7):1107. https://doi.org/10.3390/ma12071107
Chicago/Turabian StyleYu, Zhengwei, Zhenqing Wang, Hao Li, Jianxin Teng, and Lidan Xu. 2019. "Shape Memory Epoxy Polymer (SMEP) Composite Mechanical Properties Enhanced by Introducing Graphene Oxide (GO) into the Matrix" Materials 12, no. 7: 1107. https://doi.org/10.3390/ma12071107
APA StyleYu, Z., Wang, Z., Li, H., Teng, J., & Xu, L. (2019). Shape Memory Epoxy Polymer (SMEP) Composite Mechanical Properties Enhanced by Introducing Graphene Oxide (GO) into the Matrix. Materials, 12(7), 1107. https://doi.org/10.3390/ma12071107
