Are AuPdTM (T = Sc, Y and M = Al, Ga, In), Heusler Compounds Superconductors without Inversion Symmetry?
Abstract
1. Introduction
2. Materials and Methods
2.1. Details of Calculations from First Principles
2.2. Experimental Details
3. Calculation Results
4. Experimental Results
4.1. X-ray Diffraction
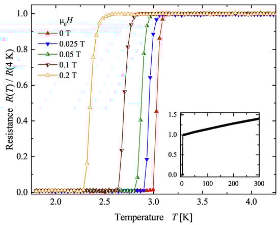
4.2. Electric Resistance
4.3. Magnetic Properties
4.4. Specific Heat
5. Discussion
5.1. Electronic Structure Revisited
6. Conclusions
Supplementary Materials
Author Contributions
Funding
Acknowledgments
Conflicts of Interest
Appendix A. Search for Superconducting Heusler Compounds without Inversion Symmetry
| Compound | Structure | |||
|---|---|---|---|---|
| CuNiScAl | 6.1447 | 6.1233 | * | n.o. |
| CuNiScGa | 6.1316 | 6.05 | [40] ** | |
| CuNiScIn | 6.3549 | 6.30 | [40] ** | |
| CuPtScIn | 6.5321 | 6.46 | multi-phase *** | |
| AgNiScAl | 6.3578 | 6.52 | [40] ** | |
| AgNiYAl | 6.6086 | —— | non-cubic | |
| AgPdScAl | 6.4981 | 6.4357 | * | n.o. |
| AgPdScIn | 6.6822 | 6.58 | [40] ** | |
| AgPdYAl | 6.7394 | 6.7119 | multi-phase *** | |
| AgPdYIn | 6.8986 | 6.79 | [40] ** | |
| AuPdScAl | 6.4907 | 6.4298 | 3.0 K | |
| AuPdScGa | 6.5054 | 6.43 | multi-phase *** | |
| AuPdScIn | 6.6925 | 6.5989 | **** | ***** |
| AuPdYAl | 6.7341 | —— | non-cubic | |
| AuPdYIn | 6.9052 | 6.8137 | n.o. | |
| AuPdLaIn | 7.1345 | —— | non-cubic | |
| AuPtScAl | 6.4988 | 6.51 | multi-phase *** | |
| AuPtScIn | 6.6978 | 6.6011 | * | 0.96 K |
| AuPtLaIn | 7.1312 | —— | non-cubic | |
References
- Heusler, F. Über magnetische Manganlegierungen. Verh. d. DPG 1903, 5, 219. [Google Scholar]
- Spintronics: From Materials to Devices; Springer Verlag: Dordrecht, The Netherlands; Heidelberg, Germany; New York, NY, USA; London, UK, 2013.
- Heusler Alloys: Properties, Growth, Applications; Springer Series in Materials Science; Springer Verlag: Dordrecht, The Netherlands; Heidelberg, Germany; New York, NY, USA; London, UK, 2016; Volume 222.
- Kübler, J.; Williams, A.R.; Sommers, C.B. Formation and coupling of magnetic moments in Heusler alloys. Phys. Rev. B 1983, 28, 1745. [Google Scholar] [CrossRef]
- Ouardi, S.; Fecher, G.H.; Felser, C.; Kü bler, J. Realization of Spin Gapless Semiconductors: The Heusler Compound Mn2CoAl. Phys. Rev. Lett. 2013, 110, 100401. [Google Scholar] [CrossRef] [PubMed]
- de Groot, R.A.; Müller, F.M.; van Engen, P.G.; Buschow, K.H.J. New Class of Materials: Half-Metallic Ferromagnets. Phys. Rev. Lett. 1983, 50, 2024. [Google Scholar] [CrossRef]
- Klimczuk, T.; Wang, C.H.; Gofryk, K.; Ronning, F.; Winterlik, J.; Fecher, G.H.; Griveau, J.C.; Colineau, E.; Felser, C.; Thompson, J.D.; et al. Superconductivity in the Heusler family of intermetallics. Phys. Rev. B 2012, 85, 174505. [Google Scholar] [CrossRef]
- Ishikawa, M.; Jorda, J.L.; Junod, A. Superconductivity in d- and f-Band Metals; Kernforschungszentrum Karlsruhe: Karlsruhe, Germany, 1982. [Google Scholar]
- Wernick, J.H.; Hull, G.W.; Bernardini, J.E.; Waszczak, J.V. Superconductivity in Ternary Heusler Compounds. Mater. Lett. 1983, 2, 90. [Google Scholar] [CrossRef]
- Kierstead, H.A.; Dunlap, B.D.; Malik, S.K.; Umarji, A.M.; Shenoy, G.K. Coexistence of ordered magnetism and superconductivity in Pd2YbSn. Phys. Rev. B 1985, 32, 135. [Google Scholar] [CrossRef]
- Shelton, R.N.; Hausermann-Berg, L.S.; Johnson, M.J.; Klavins, P.; Yang, H.D. Coexistence of superconductivity and long-range magnetic order in ErPd2Sn. Phys. Rev. B 1986, 34, 199. [Google Scholar] [CrossRef]
- Gruner, T.; Jang, D.; Huesges, Z.; Cardoso-Gil, R.; Fecher, G.H.; Koza, M.M.; Stockert, O.; Mackenzie, A.P.; Brando, M.; Geibel, C. Charge density wave quantum critical point with strong enhancement of superconductivity. Nat. Phys. 2017, 13, 967–972. [Google Scholar] [CrossRef]
- Winterlik, J.; Fecher, G.H.; Felser, C. Electronic and structural properties of palladium-based Heusler superconductors. Solid State Commun. 2008, 145, 475–478. [Google Scholar] [CrossRef]
- Winterlik, J.; Fecher, G.H.; Felser, C.; Jourdan, M.; Grube, K.; Hardy, F.; Löhneysen, H.V.; Holman, K.L.; Cava, R.J. Ni-based superconductor: Heusler compound ZrNi2Ga. Phys. Rev. B 2008, 78, 184506. [Google Scholar] [CrossRef]
- Winterlik, J.; Fecher, G.H.; Thomas, A.; Felser, C. Superconductivity in palladium-based Heusler compounds. Phys. Rev. B 2009, 79, 064508. [Google Scholar] [CrossRef]
- van Hove, L. The Occurrence of Singularities in the Elastic Frequency Distribution of a Crystal. Phys. Rev. 1953, 89, 1189. [Google Scholar] [CrossRef]
- Labbe, J.; Friedel, J. Instabilite electronique et changement de phase cristalline des composes du type V3Si a basse temperature. J. Phys. (France) 1966, 27, 153. [Google Scholar] [CrossRef]
- Simon, A. Supraleitung—Ein chemisches Phänomen? Angew. Chem. 1987, 99, 602. [Google Scholar] [CrossRef]
- Ramesh Kumar, K.; Chunchu, V.; Thamizhav, A. Van Hove scenario and superconductivity in full Heusler alloy Pd2ZrGa. J. Appl. Phys. 2013, 113, 17E155. [Google Scholar] [CrossRef]
- Matthias, B.T. Transition Temperatures of Superconductors. Phys. Rev. 1953, 92, 874. [Google Scholar] [CrossRef]
- Matthias, B.T. Empirical Relation between Superconductivity and the Number of Valence Electrons per Atom. Phys. Rev. 1955, 97, 74. [Google Scholar] [CrossRef]
- Allen, P.B.; Mitrovic, B. Theory of Superconducting Tc. Solid State Phys. 1960, 37, 1. [Google Scholar]
- Allen, P.B.; Dynes, R.C. Superconductivity at very strong coupling. J. Phys. C 1975, 8, L158. [Google Scholar] [CrossRef]
- De Gennes, P.G. Superconductivity of Metals and Alloys; CRC Press: Boca Raton, FL, USA, 1999. [Google Scholar]
- Kleiner, R.; Buckel, W. Superconductivity; Wiley-VCH: Berlin, Germany, 2015. [Google Scholar]
- Cracknell, A.P. Group theory and magnetic phnomena in solids. Rep. Prog. Phys. 1969, 32, 633. [Google Scholar] [CrossRef]
- Koster, G.F.; Dimmok, J.O.; Wheeler, R.G.; Statz, H. Properties of the Thirty-Two Point Groups; M.I.T. Press: Cambridge, MA, USA, 1963. [Google Scholar]
- Non-Centrosymmetric Superconductors Introduction and Overview; Lecture Notes in Physics; Springer-Verlag: Berlin/Heidelberg, Germany, 2012; Volume 847.
- Bauer, E.; Hilscher, G.; Michor, H.; Paul, C.; Scheidt, E.W.; Gribanov, A.; Seropegin, Y.; Noe, H.; Sigrist, M.; Rogl, P. Heavy Fermion Superconductivity and Magnetic Order in Noncentrosymmetric CePt3Si. Phys. Rev. Lett. 2004, 92, 027003. [Google Scholar] [CrossRef]
- Kimura, N.; Ito, K.; Saitoh, K.; Umeda, Y.; Aoki, H.; Terashima, T. Pressure-Induced Superconductivity in Noncentrosymmetric Heavy-Fermion CeRhSi3. Phys. Rev. Lett. 2005, 95, 247004. [Google Scholar] [CrossRef]
- Perdew, J.P.; Burke, K.; Ernzerhof, M. Generalized Gradient Approximation Made Simple. Phys. Rev. Lett. 1996, 77, 3865. [Google Scholar] [CrossRef]
- Blaha, P.; Schwarz, K.; Madsen, G.K.H.; Kvasnicka, D.; Luitz, J. WIEN2k, An Augmented Plane Wave + Local Orbitals Program for Calculating Crystal Properties; Karlheinz Schwarz, Techn. Universität Wien: Wien, Austria, 2001. [Google Scholar]
- Ebert, H. Fully Relativistic Band Structure Calculations for Magnetic Solids—Formalism and Application. In Electronic Structure and Physical Properties of Solids. The Use of the LMTO Method; Dreysee, H., Ed.; Lecture Notes in Physics; Springer-Verlag: Berlin/Heidelberg, Germany, 1999; Volume 535, pp. 191–246. [Google Scholar]
- Ebert, H.; Ködderitzsch, D.; Minar, J. Calculating condensed matter properties using the KKR-Green’s function method—Recent developments and applications. Rep. Prog. Phys. 2011, 74, 096501. [Google Scholar] [CrossRef]
- Soven, P. Coherent-Potential Model of Substitutional Disordered Alloys. Phys. Rev. 1967, 156, 809. [Google Scholar] [CrossRef]
- Kandpal, H.C.; Fecher, G.H.; Felser, C. Calculated electronic and magnetic properties of the half-metallic, transition metal based Heusler compounds. J. Phys. D: Appl. Phys. 2007, 40, 1507–1523. [Google Scholar] [CrossRef]
- Fecher, G.H.; Chadov, S.; Felser, C. Theory of Half-Metallic Heusler Compounds; Springer: Dordrecht, The Netherlands, 2013. [Google Scholar]
- Rodriguez-Carvajal, J. Recent advances in magnetic structure determination by neutron powder diffraction. Physica B 1993, 192, 55. [Google Scholar] [CrossRef]
- Dwight, A.E.; Kimball, C.W. SeT2X and LnT2X compounds with the MnCu2Al-type structure. J. Less-Common Met. 1987, 127, 179. [Google Scholar] [CrossRef]
- Graf, T.; Casper, F.; Winterlik, J.; Balke, B.; Fecher, G.H.; Felser, C. Crystal Structure of New Heusler Compounds. Z. Anorg. Allg. Chem. 2009, 635, 976. [Google Scholar] [CrossRef]










© 2019 by the authors. Licensee MDPI, Basel, Switzerland. This article is an open access article distributed under the terms and conditions of the Creative Commons Attribution (CC BY) license (http://creativecommons.org/licenses/by/4.0/).
Share and Cite
Kautzsch, L.; Mende, F.; Fecher, G.H.; Winterlik, J.; Felser, C. Are AuPdTM (T = Sc, Y and M = Al, Ga, In), Heusler Compounds Superconductors without Inversion Symmetry? Materials 2019, 12, 2580. https://doi.org/10.3390/ma12162580
Kautzsch L, Mende F, Fecher GH, Winterlik J, Felser C. Are AuPdTM (T = Sc, Y and M = Al, Ga, In), Heusler Compounds Superconductors without Inversion Symmetry? Materials. 2019; 12(16):2580. https://doi.org/10.3390/ma12162580
Chicago/Turabian StyleKautzsch, Linus, Felix Mende, Gerhard H Fecher, Jürgen Winterlik, and Claudia Felser. 2019. "Are AuPdTM (T = Sc, Y and M = Al, Ga, In), Heusler Compounds Superconductors without Inversion Symmetry?" Materials 12, no. 16: 2580. https://doi.org/10.3390/ma12162580
APA StyleKautzsch, L., Mende, F., Fecher, G. H., Winterlik, J., & Felser, C. (2019). Are AuPdTM (T = Sc, Y and M = Al, Ga, In), Heusler Compounds Superconductors without Inversion Symmetry? Materials, 12(16), 2580. https://doi.org/10.3390/ma12162580

