Lifetime Prediction of Polymers: To Bet, or Not to Bet—Is This the Question?
Abstract
:1. Introduction
2. Experimental
2.1. Materials
2.2. Long-Term Isothermal Degradations
2.3. Short-Term Isothermal Degradations
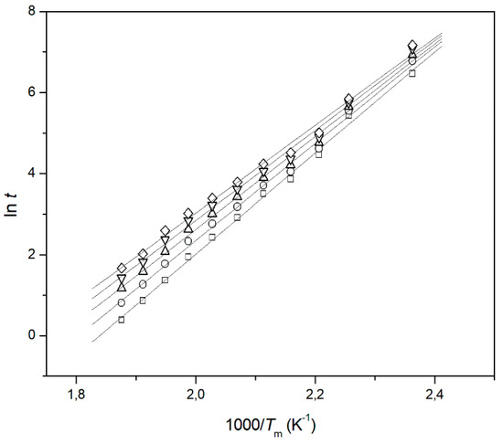
2.4. Kinetics Method
3. Results and Discussion
- -
- Despite the advertizing, its recycling is not economically viable and, since it is one of the most used polymeric materials in food packaging because of its ability to be degraded, it represents one of the major domestic waste materials; thus, it could be interesting and useful to predict, at least roughly, its end life in the environment.
- -
- On considering the original purpose of the work to verify the validity of lifetime predictions by extrapolating the kinetics data obtained at high temperatures, PLA was chosen because of its low glass transition and melting temperature. In respect to the polymers examined in the past, it suggested the possibility of a sizable degradation in a reasonable time during long-term measurements.
4. Conclusions
Author Contributions
Funding
Conflicts of Interest
References
- Ozao, R.; Popescu, C. Special Chapter in the recent advancement in North America on the field of Thermal Analysis and Calorimetry. J. Therm. Anal. Calorim. 2018, 131, 237. [Google Scholar] [CrossRef]
- Yang, R. Status and challenge in aging research of polymer composites. Polym. Mater. Sci. Eng. 2015, 31, 181–184. [Google Scholar]
- Liu, X.; Zhao, J.; Yang, R.; Iervolino, R.; Barbera, S. A novel in-situ aging evaluation method by FTIR and the application to thermal oxidized nitrile rubber. Polym. Degrad. Stabil. 2016, 128, 99–106. [Google Scholar] [CrossRef]
- Blanco, I.; Bottino, F.A.; Cicala, G.; Latteri, A.; Recca, A. A kinetic study of the thermal and thermal oxidative degradations of new bridged POSS/PS nanocomposites. Polym. Degrad. Stabil. 2013, 98, 2564–2570. [Google Scholar] [CrossRef]
- Cangialosi, D. Glass Transition and Physical Aging of Confined Polymers Investigated by Calorimetric Techniques. Handb. Therm. Anal. Calorim. 2018, 6, 301–337. [Google Scholar] [CrossRef]
- De Eulate, P.N.G.; Cangialosi, D. The very long-term physical aging of glassy polymers. Phys. Chem. Chem. Phys. 2018, 20, 12356–12361. [Google Scholar] [CrossRef] [PubMed]
- Cicala, G.; Latteri, A.; Mannino, S.; Ognibene, G.; Blanco, I. Influence of Soluble Electrospun Co-Polyethersulfone Veils on Dynamic Mechanical and Morphological Properties of Epoxy Composites: Effect of Polymer Molar Mass. Adv. Polym. Technol. 2018, 37, 798–809. [Google Scholar] [CrossRef]
- White, C.C.; White, K.M.; Pickett, J.E. Service Life Prediction of Polymers and Plastics Exposed to Outdoor Weathering; William Andrew Applied Science Publishers: Norwich, UK, 2018; pp. 1–342. ISBN 978-0-323-49776-3. [Google Scholar]
- Friedman, H.L. Kinetics of thermal degradation of char-forming plastics from thermogravimetry. Application to a phenolic plastic. J. Polym. Sci. Part C Polym. Symp. 1964, 6, 183–195. [Google Scholar] [CrossRef]
- Friedman, H.L. New methods for evaluating kinetic parameters from thermal analysis data. J. Polym. Sci. Part B Polym. Lett. 1969, 7, 41–46. [Google Scholar] [CrossRef]
- Flynn, J.H.; Wall, L.A. A quick direct method for the determination of activation energy from thermogravimetric data. J. Polym. Sci. B Polym. Lett. 1966, 4, 323–328. [Google Scholar] [CrossRef]
- Ozawa, T. A new method of analyzing thermogravimetric data. Bull. Chem. Soc. Jpn. 1965, 38, 1881–1886. [Google Scholar] [CrossRef]
- Vyazovkin, S. Modification of the integral isoconversional method to account for variation in the activation energy. J. Comput. Chem. 2001, 22, 178–183. [Google Scholar] [CrossRef]
- Šesták, J.; Berggren, G. Study of the kinetics of the mechanism of solid-state reactions at increasing temperature. Thermochim. Acta 1971, 3, 1–12. [Google Scholar] [CrossRef]
- Šimon, P. Fourty years of the Šesták–Berggren equation. Thermochim. Acta 2011, 520, 156–157. [Google Scholar] [CrossRef]
- Fatemi, N.; Whitehead, R.; Price, D.; Dollimore, D. Some comments on the use of Avrami-Erofeev expressions and solid state decomposition rate constants. Thermochim. Acta 1986, 104, 93–100. [Google Scholar] [CrossRef]
- Bruijn, T.J.W.; Jong, W.A.; Van Den Berg, P.J. Kinetic parameters in Avrami–Erofeev type reactions from isothermal and non-isothermal experiments. Thermochim. Acta 1981, 45, 315–325. [Google Scholar] [CrossRef]
- Kissinger, H.E. Reaction kinetics in differential thermal analysis. Anal. Chem. 1957, 29, 1702–1706. [Google Scholar] [CrossRef]
- Abate, L.; Blanco, I.; Cicala, G.; Recca, G.; Scamporrino, A. The influence of chain-ends on the thermal and rheological properties of some 40/60 PES/PEES copolymers. Polym. Eng. Sci. 2009, 49, 1477–1483. [Google Scholar] [CrossRef]
- Abate, L.; Asarisi, V.; Blanco, I.; Cicala, G.; Recca, G. The influence of sulfonation degree on the thermal behaviour of sulfonated poly(arylene ethersulfone)s. Polym. Degrad. Stabil. 2010, 95, 1568–1574. [Google Scholar] [CrossRef]
- Dobkowski, Z.; Rudnik, E. Lifetime prediction for polymers via the temperature of initial decomposition. J. Therm. Anal. 1997, 48, 1393–1400. [Google Scholar] [CrossRef]
- Dobkowski, Z. Thermal analysis techniques for characterization of polymer materials. Polym. Degrad. Stabil. 2006, 91, 488–493. [Google Scholar] [CrossRef]
- Blanco, I.; Oliveri, L.; Cicala, G.; Recca, A. Effects of novel reactive toughening agent on thermal stability of epoxy resin. J. Therm. Anal. Calorim. 2012, 108, 685–693. [Google Scholar] [CrossRef]
- Li, X.-G.; Huang, M.-R.; Bai, H. Kinetics of thermal degradation of liquid-crystalline aromatic polymers. Angew. Makromol. Chem. 1998, 256, 9–19. [Google Scholar] [CrossRef]
- Wang, H.; Tao, X.; Newton, E. Thermal degradation kinetics and lifetime prediction of a luminescent conducting polymer. Polym. Int. 2004, 53, 20–26. [Google Scholar] [CrossRef]
- Abate, L.; Blanco, I.; Cicala, G.; La Spina, R.; Restuccia, C.L. Thermal and rheological behaviour of some random aromatic polyethersulfone/polyetherethersulfone copolymers. Polym. Degrad. Stabil. 2006, 91, 924–930. [Google Scholar] [CrossRef]
- Ebewele, R.O. Polymer Science and Technology; CRC Press: Boca Raton, NY, USA, 2000; ISBN 0-8493-8939-9. [Google Scholar]
- Abate, L.; Blanco, I.; Motta, O.; Pollicino, A.; Recca, A. The isothermal degradation of some polyetherketones: A comparative kinetic study between long-term and short-term experiments. Polym. Degrad. Stabil. 2002, 75, 465–471. [Google Scholar] [CrossRef]
- Abate, L.; Blanco, I.; Pappalardo, A.; Pollicino, A. A kinetic study of the thermal and oxidative degradations of a new poly(arylene)ether copolymer. J. Therm. Anal. Calorim. 2001, 65, 373–380. [Google Scholar] [CrossRef]
- MacCallum, J.R. Comprehensive Polymer Science; Allen, G., Ed.; Pergamon Press: Oxford, UK, 1989; Volume 1. [Google Scholar]
- Hill, D.J.T.; Dong, L.; O’Donnell, J.H.; George, G.; Pomery, P. Thermal degradation of polymethacrylonitrile. Polym. Degrad. Stabil. 1993, 40, 143–150. [Google Scholar] [CrossRef]
- Fakirov, S.; Krasteva, B. On the Glass Transition Temperature of Polyethylene as Revealed by Microhardness Measurements. J. Macromol. Sci.-Phys. B 2000, 39, 297–301. [Google Scholar] [CrossRef]
- Blanco, I.; Abate, L.; Antonelli, M.L. The regression of isothermal thermogravimetric data to evaluate degradation Ea values of polymers: A comparison with literature methods and an evaluation of lifetime prediction reliability. Polym. Degrad. Stabil. 2011, 96, 1947–1954. [Google Scholar] [CrossRef]
- Blanco, I.; Abate, L.; Antonelli, M.L.; Bottino, F.A. The regression of isothermal thermogravimetric data to evaluate degradation Ea values of polymers: A comparison with literature methods and an evaluation of lifetime predictions reliability. Part II. Polym. Degrad. Stabil. 2013, 98, 2291–2296. [Google Scholar] [CrossRef]
- Blanco, I. End-life Prediction of Commercial PLA Used for Food Packaging through Short Term TGA Experiments: Real Chance or Low Reliability? Chin. J. Polym. Sci. 2014, 32, 681–689. [Google Scholar] [CrossRef]
- Blanco, I. Lifetime prediction of food and beverage packaging wastes. J. Therm. Anal. Calorim. 2016, 125, 809–816. [Google Scholar] [CrossRef]








| Sample Code | Molecular Formula | Abbreviation |
|---|---|---|
| 1 | ![]() | PEEK1 |
| 2 | ![]() | PEEK2 |
| 3 | ![]() | PEEK3 |
| 4 | ![]() | PE |
| 5 | ![]() | PS |
| 6 | ![]() | PC |
| 7 | ![]() | PMMA |
| 8 | ![]() | PLA |
| 9 | ![]() | PET |
| 10 | ![]() | PP |
| Sample Code | Polymer | Mw | Tg °C | Tonset °C | Ref. | Experimental Time/Months |
|---|---|---|---|---|---|---|
| 1 | Polyetherketones 1 | n.a. | n.d. | 417.0 | [27] | 37 |
| 2 | Polyetherketones 1 | n.a. | n.d. | 379.0 | [27] | 37 |
| 3 | Polyetherketones 1 | n.a. | n.d. | 434.0 | [27] | 37 |
| 4 | Polyethylene (PE) | 60,000 | n.a. | 129.2 | [31] | 37 |
| 5 | Polystyrene (PS) | 65,000 | 99.5 | n.d. | [31] | 37 |
| 6 | Polycarbonate (PC) | 50,000 | 145.9 | n.d. | [31] | 37 |
| 7 | Poly(methyl methacrylate (PMMA) | 65,000 | 118.1 | n.d. | [31] | 37 |
| 8a | Polylactide (PLA) 1 | n.a. | 60.0 | 140.4 | [33] | 9 |
| 8b | Polylactide 2 | n.a. | 63.5 | 139.9 | [33] | 9 |
| 9a | Polyethylene terephthalate (PET) 1 | n.a. | 76.9 | 229.2 | [34] | 25 |
| 9b | Polyethylene terephthalate 2 | n.a. | 33.0 | 140.8 | [34] | 25 |
| 10a | Polypropylene (PP) 1 | n.a. | 47.8 | 151.0 | [34] | 25 |
| 10b | Polypropylene 2 | n.a. | 58.9 | 131.6 | [34] | 25 |
© 2018 by the author. Licensee MDPI, Basel, Switzerland. This article is an open access article distributed under the terms and conditions of the Creative Commons Attribution (CC BY) license (http://creativecommons.org/licenses/by/4.0/).
Share and Cite
Blanco, I. Lifetime Prediction of Polymers: To Bet, or Not to Bet—Is This the Question? Materials 2018, 11, 1383. https://doi.org/10.3390/ma11081383
Blanco I. Lifetime Prediction of Polymers: To Bet, or Not to Bet—Is This the Question? Materials. 2018; 11(8):1383. https://doi.org/10.3390/ma11081383
Chicago/Turabian StyleBlanco, Ignazio. 2018. "Lifetime Prediction of Polymers: To Bet, or Not to Bet—Is This the Question?" Materials 11, no. 8: 1383. https://doi.org/10.3390/ma11081383
APA StyleBlanco, I. (2018). Lifetime Prediction of Polymers: To Bet, or Not to Bet—Is This the Question? Materials, 11(8), 1383. https://doi.org/10.3390/ma11081383










