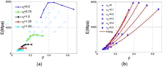
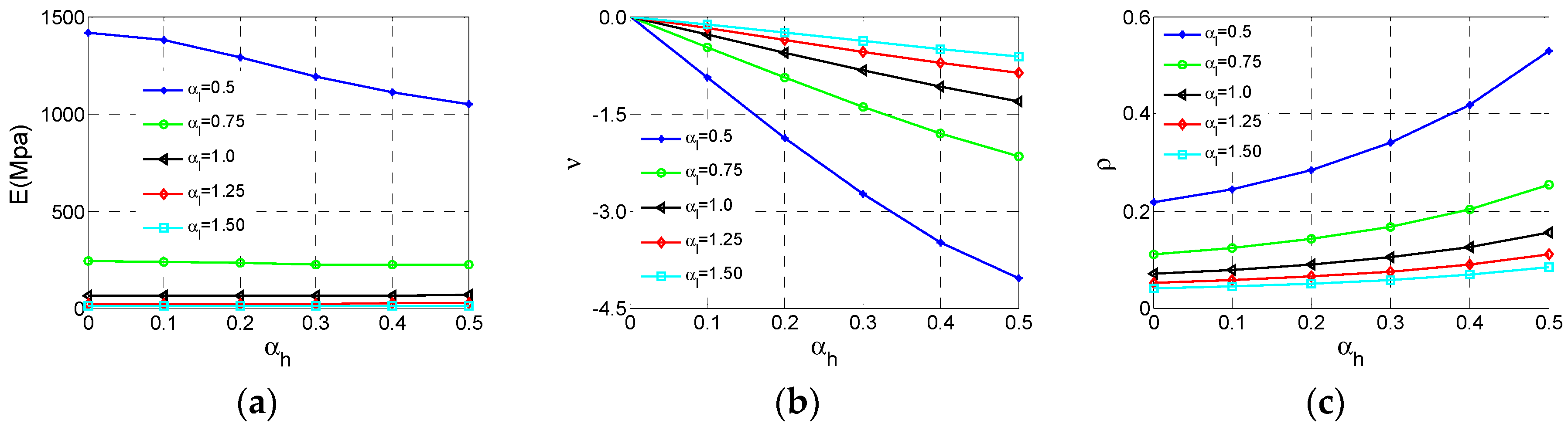
Novel Negative Poisson’s Ratio Lattice Structures with Enhanced Stiffness and Energy Absorption Capacity
Chen, Z.; Wang, Z.; Zhou, S.; Shao, J.; Wu, X. Novel Negative Poisson’s Ratio Lattice Structures with Enhanced Stiffness and Energy Absorption Capacity. Materials 2018, 11, 1095. https://doi.org/10.3390/ma11071095
Chen Z, Wang Z, Zhou S, Shao J, Wu X. Novel Negative Poisson’s Ratio Lattice Structures with Enhanced Stiffness and Energy Absorption Capacity. Materials. 2018; 11(7):1095. https://doi.org/10.3390/ma11071095
Chicago/Turabian StyleChen, Zeyao, Zhe Wang, Shiwei Zhou, Jianwang Shao, and Xian Wu. 2018. "Novel Negative Poisson’s Ratio Lattice Structures with Enhanced Stiffness and Energy Absorption Capacity" Materials 11, no. 7: 1095. https://doi.org/10.3390/ma11071095

