Interplay of Thermo-Optic and Reorientational Responses in Nematicon Generation
Abstract
1. Introduction
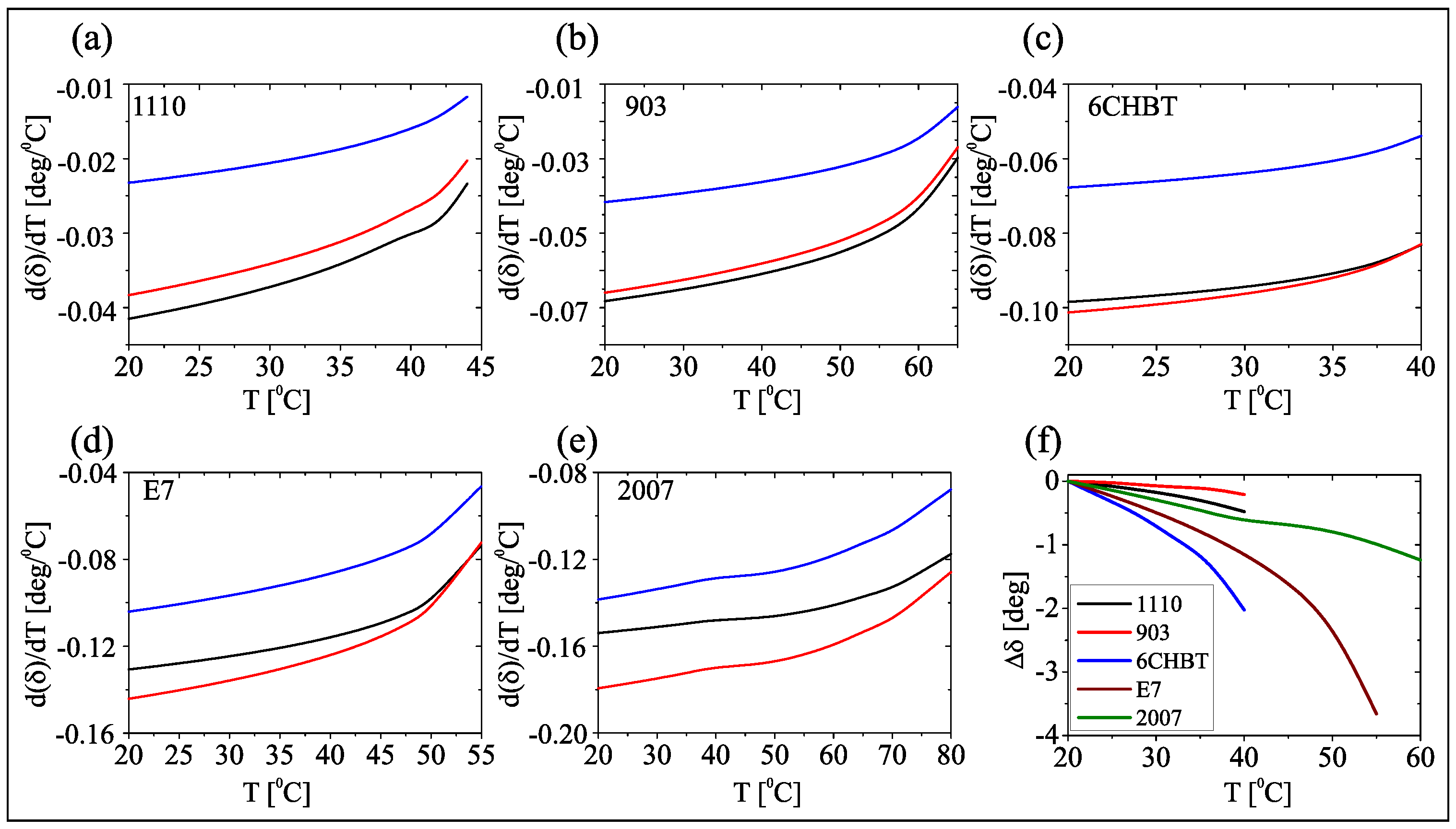
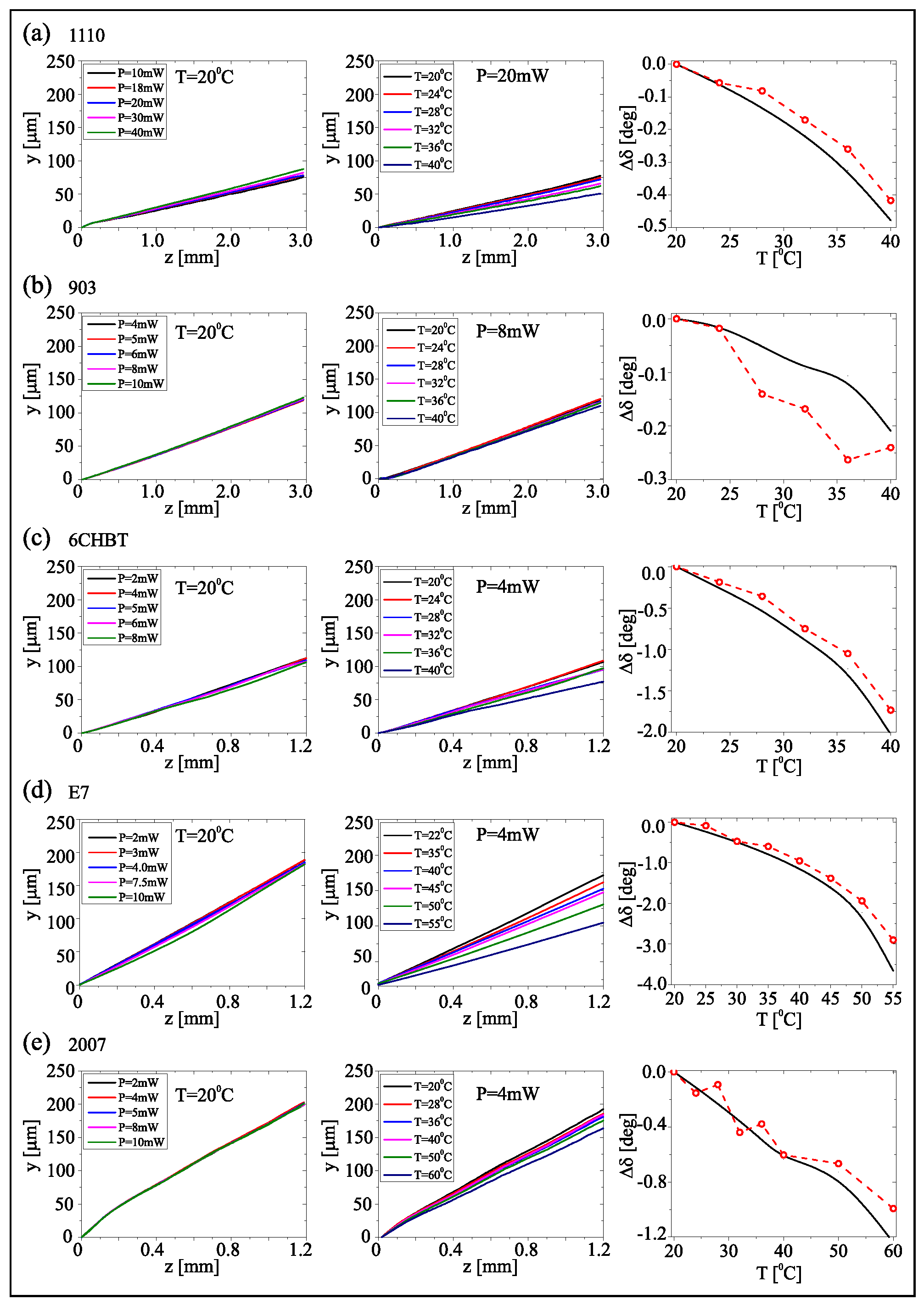
2. Temperature Effects on Beam Propagation
3. Temperature-Dependent Nematicon Propagation
4. Discussion
5. Materials and Methods
Author Contributions
Acknowledgments
Conflicts of Interest
References
- DeGennes, P.G.; Prost, J. The Physics of Liquid Crystals; Oxford Science: New York, NY, USA, 1993. [Google Scholar]
- Khoo, I.C. Liquid Crystals: Physical Properties and Nonlinear Optical Phenomena; Wiley: New York, NY, USA, 1995. [Google Scholar]
- Braun, E.; Faucheux, L.P.; Libchaber, A. Strong self-focusing in nematic liquid crystals. Phys. Rev. A 1993, 48, 611–622. [Google Scholar] [CrossRef] [PubMed]
- Peccianti, M.; Assanto, G. Nematicons. Phys. Rep. 2012, 516, 147–208. [Google Scholar] [CrossRef]
- Bang, O.; Krolikowski, W.; Wyller, J.; Rasmussen, J.J. Collapse arrest and soliton stabilization in nonlocal nonlinear media. Phys. Rev. E 2002, 66, 046619. [Google Scholar] [CrossRef] [PubMed]
- Conti, C.; Peccianti, M.; Assanto, G. Route to nonlocality and observation of accessible solitons. Phys. Rev. Lett. 2003, 91, 073901. [Google Scholar] [CrossRef] [PubMed]
- Peccianti, M.; de Rossi, A.; Assanto, G.; Luca, A.D.; Umeton, C.; Khoo, I.C. Electrically assisted self-confinement and waveguiding in planar nematic liquid crystal cells. Appl. Phys. Lett. 2000, 77, 7–9. [Google Scholar] [CrossRef]
- Peccianti, M.; Assanto, G. Incoherent spatial solitary waves in nematic liquid crystals. Opt. Lett. 2001, 26, 1791. [Google Scholar] [CrossRef] [PubMed]
- Alberucci, A.; Peccianti, M.; Assanto, G.; Dyadyusha, A.; Kaczmarek, M. Two-color vector solitons in nonlocal media. Phys. Rev. Lett. 2006, 97, 153903. [Google Scholar] [CrossRef] [PubMed]
- Laudyn, U.; Kwasny, M.; Karpierz, M.; Assanto, G. Three-color vector nematicon. Photon. Lett. Pol. 2017, 9, 36–38. [Google Scholar] [CrossRef]
- Beeckman, J.; Neyts, K.; Haelterman, M. Patterned electrode steering of nematicons. J. Opt. A Pure Appl. Opt. 2006, 8, 214. [Google Scholar] [CrossRef]
- Piccardi, A.; Peccianti, M.; Assanto, G.; Dyadyusha, A.; Kaczmarek, M. Voltage-driven in-plane steering of nematicons. Appl. Phys. Lett. 2009, 94, 091106. [Google Scholar] [CrossRef]
- Barboza, R.; Alberucci, A.; Assanto, G. Large electro-optic beam steering with nematicons. Opt. Lett. 2011, 36, 2725–2727. [Google Scholar] [CrossRef] [PubMed]
- Piccardi, A.; Alberucci, A.; Barboza, R.; Buchnev, O.; Kaczmarek, M.; Assanto, G. In-plane steering of nematicon waveguides across an electrically adjusted interface. Appl. Phys. Lett. 2012, 100, 251107. [Google Scholar] [CrossRef]
- Izdebskaya, Y.V. Routing of spatial solitons by interaction with rod microelectrodes. Opt. Lett. 2014, 39, 1681–1684. [Google Scholar] [CrossRef] [PubMed]
- Izdebskaya, Y.V.; Shvedov, V.; Assanto, G.; Krolikowski, W. Magnetic routing of light-induced waveguides. Nat. Commun. 2017, 8, 14452. [Google Scholar] [CrossRef] [PubMed]
- Peccianti, M.; Conti, C.; Assanto, G.; DeLuca, A.; Umeton, C. All optical switching and logic gating with spatial solitons in liquid crystals. Appl. Phys. Lett. 2002, 81, 3335. [Google Scholar] [CrossRef]
- Pasquazi, A.; Alberucci, A.; Peccianti, M.; Assanto, G. Signal processing by opto-optical interactions between self-localized and free propagating beams in liquid crystals. Appl. Phys. Lett. 2005, 87, 261104. [Google Scholar] [CrossRef]
- Alberucci, A.; Piccardi, A.; Bortolozzo, U.; Residori, S.; Assanto, G. Nematicon all-optical control in liquid crystal light valves. Opt. Lett. 2010, 35, 390–392. [Google Scholar] [CrossRef] [PubMed]
- Assanto, G.; Minzoni, A.A.; Smyth, N.F.; Worthy, A.L. Refraction of nonlinear beams by localized refractive index changes in nematic liquid crystals. Phys. Rev. A 2010, 82, 053843. [Google Scholar] [CrossRef]
- Laudyn, U.A.; Karpierz, M.A. Nematicons deflection through interaction with disclination lines in chiral nematic liquid crystals. Appl. Phys. Lett. 2013, 103, 221104. [Google Scholar] [CrossRef]
- Peccianti, M.; Dyadyusha, A.; Kaczmarek, M.; Assanto, G. Escaping solitons from a trapping potential. Phys. Rev. Lett. 2008, 101, 153902. [Google Scholar] [CrossRef] [PubMed]
- Piccardi, A.; Alberucci, A.; Assanto, G. Soliton self-deflection via power-dependent walk-off. Appl. Phys. Lett. 2010, 96, 061105. [Google Scholar] [CrossRef]
- Piccardi, A.; Alberucci, A.; Assanto, G. Self-turning self-confined light beams in guest–host media. Phys. Rev. Lett. 2010, 104, 213904. [Google Scholar] [CrossRef] [PubMed]
- Karpierz, M.A. Spatial Solitons in Liquid Crystals in Soliton-Driven Photonics; Springer: New York, NY, USA, 2001. [Google Scholar]
- Assanto, G.; Peccianti, M. Spatial solitons in nematic liquid crystals. IEEE J. Quantum Electron. 2003, 39, 13–21. [Google Scholar] [CrossRef]
- Assanto, G.; Karpierz, M. Nematicons: Self-localized beams in nematic liquid crystals. Liq. Cryst. 2009, 36, 1161. [Google Scholar] [CrossRef]
- Piccardi, A.; Alberucci, A.; Bortolozzo, U.; Residori, S.; Assanto, G. Readdressable Interconnects with spatial soliton waveguides in liquid crystal light valves. IEEE Photon. Techn. Lett. 2010, 22, 694–696. [Google Scholar] [CrossRef]
- Perumbilavil, S.; Piccardi, A.; Buchnev, O.; Kauranen, M.; Strangi, G.; Assanto, G. Soliton-assisted random lasing in optically-pumped liquid crystals. Appl. Phys. Lett. 2016, 109, 161105. [Google Scholar] [CrossRef]
- Perumbilavil, S.; Piccardi, A.; Barboza, R.; Buchnev, O.; Strangi, G.; Kauranen, M.; Assanto, G. Beaming random lasers with soliton control. Nat. Commun. 2018, 9, 3863. [Google Scholar] [CrossRef] [PubMed]
- Kim, Y.K.; Senyuk, B.; Lavrentovich, O.D. Molecular reorientation of a nematic liquid crystal by thermal expansion. Nat. Commun. 2012, 3, 1133. [Google Scholar] [CrossRef] [PubMed]
- Piccardi, A.; Alberucci, A.; Tabiryan, N.; Assanto, G. Dark nematicons. Opt. Lett. 2011, 36, 1356–1358. [Google Scholar] [CrossRef] [PubMed]
- Derrien, F.; Henninot, J.F.; Warenghem, M.; Abbate, G. A thermal (2D+1) spatial optical soliton in a dye doped liquid crystal. J. Opt. A Pure Appl. Opt. 2000, 2, 332. [Google Scholar] [CrossRef]
- Janossy, I.; Taghizadeh, M.; Mathew, J.; Smith, S. Thermally induced optical bistability in thin film devices. IEE J. Quantum Electron. 1985, 21, 1447–1452. [Google Scholar] [CrossRef]
- Tsai, M.S.; Jiang, I.M.; Huang, C.Y.; Shih, C.C. Reorientational optical nonlinearity of nematic liquid-crystal cells near the nematic isotropic phase transition temperature. Opt. Lett. 2003, 28, 2357–2359. [Google Scholar] [CrossRef] [PubMed]
- Warenghem, M.; Blach, J.; Henninot, J. Measuring and monitoring optically induced thermal or orientational non-locality in nematic liquid crystal. Mol. Cryst. Liq. Cryst. 2006, 454, 297–314. [Google Scholar] [CrossRef]
- Assanto, G.; Svensson, B.; Kuchibhatla, D.; Gibson, U.J.; Seaton, C.T.; Stegeman, G.I. Prism coupling into ZnS waveguides: A classic example of a nonlinear coupler. Opt. Lett. 1986, 11, 644. [Google Scholar] [CrossRef] [PubMed]
- Vitrant, G.; Reinisch, R.; Paumier, J.C.; Assanto, G.; Stegeman, G.I. Non-linear prism coupling with nonlocality. Opt. Lett. 1989, 14, 898. [Google Scholar] [CrossRef] [PubMed]
- Rotschild, C.; Cohen, O.; Manela, O.; Segev, M.; Carmon, T. Solitons in nonlinear media with an infinite range of nonlocality: First observation of coherent elliptic solitons and of vortex-ring solitons. Phys. Rev. Lett. 2005, 95, 213904. [Google Scholar] [CrossRef] [PubMed]
- Rothschild, C.; Alfassi, B.; Cohen, O.; Segev, M. Long-range interactions between optical solitons. Nat. Phys. 2006, 2, 769. [Google Scholar] [CrossRef]
- Laudyn, U.; Piccardi, A.; Kwasny, M.; Karpierz, M.; Assanto, G. Thermo-optic soliton routing in nematic liquid crystals. Opt. Lett. 2018, 43, 2296–2299. [Google Scholar] [CrossRef] [PubMed]
- Laudyn, U.A.; Kwasny, M.; Piccardi, A.; Karpierz, M.A.; Dabrowski, R.; Chojnowska, O.; Alberucci, A.; Assanto, G. Nonlinear competition in nematicon propagation. Opt. Lett. 2015, 40, 5235–5238. [Google Scholar] [CrossRef] [PubMed]
- Alberucci, A.; Laudyn, U.; Piccardi, A.; Kwasny, M.; Klus, B.; Karpierz, M.; Assanto, G. Nonlinear continuous-wave optical propagation in nematic liquid crystals: Interplay between reorientational and thermal effects. Phys. Rev. E 2017, 96. [Google Scholar] [CrossRef] [PubMed]
- Warenghem, M.; Blach, J.; Henninot, J.F. Thermo-nematicon: An unnatural coexistence of solitons in liquid crystals? J. Opt. Soc. Am. B 2008, 25, 1882–1887. [Google Scholar] [CrossRef]
- Li, J.; Wu, S.T. Extended Cauchy equations for the refractive indices of liquid crystals. J. Appl. Phys. 2004, 95, 896–901. [Google Scholar] [CrossRef]
- Alberucci, A.; Piccardi, A.; Peccianti, M.; Kaczmarek, M.; Assanto, G. Propagation of spatial optical solitons in a dielectric with adjustable nonlinearity. Phys. Rev. A 2010, 82, 023806. [Google Scholar] [CrossRef]
- Jánossy, I.; Kósa, T. Influence of anthraquinone dyes on optical reorientation of nematic liquid crystals. Opt. Lett. 1992, 17, 1183–1185. [Google Scholar] [CrossRef] [PubMed]
- Dąbrowski, R. New liquid crystalline materials for photonic applications. Mol. Cryst. Liq. Cryst. 2004, 421, 1–21. [Google Scholar] [CrossRef]
- Baran, W.; Raszewski, Z.; Dabrowski, R.; Kedzierski, J.; Rutkowska, J. Some physical properties of mesogenic 4-(trans-4-n-Alkylcyclohexyl) isothiocyanatobenzenes. Mol. Cryst. Liq. Cryst. 1985, 123, 237–245. [Google Scholar] [CrossRef]
- Schirmer, J.; Kohns, P.; Schmidt-kaler, T.; Muravski, A.A.; Yakovenko, S.Y.; Bezborodov, V.S.; Dabrowski, R.; Adomenas, P. Birefringence and refractive indices dispersion of different liquid crystalline structures. Mol. Cryst. Liq. Cryst. Sci. Technol. Sect. A Mol. Cryst. Liq. Cryst. 1997, 307, 17–42. [Google Scholar] [CrossRef]
- Conti, C.; Peccianti, M.; Assanto, G. Observation of optical spatial solitons in a highly nonlocal medium. Phys. Rev. Lett. 2004, 92, 113902. [Google Scholar] [CrossRef] [PubMed]
- Alberucci, A.; Jisha, C.; Assanto, G. Breather solitons in highly nonlocal media. J. Opt. 2016, 18, 12. [Google Scholar] [CrossRef]
- Klus, B.; Laudyn, U.; Karpierz, M.; Sahraoui, B. All-optical measurement of elastic constants in nematic liquid crystals. Opt. Express 2014, 22, 30257. [Google Scholar] [CrossRef] [PubMed]
- Milanchian, K.; Abdi, E.; Tajalli, H.; Ahmadi, S.K.; Zakerhamidi, M. Nonlinear refractive index of some anthraquinone dyes in 1294-1b liquid crystal. Opt. Commun. 2012, 285, 761. [Google Scholar] [CrossRef]







| 1110 | 6CHBT | 903 | |||||||||
| T [] | T [] | T [] | |||||||||
| 20 | 1.4517 | 1.4976 | 8.36 | 20 | 1.4967 | 1.6335 | 3.61 | 20 | 1.4696 | 1.5422 | 7.36 |
| 24 | 1.4506 | 1.4947 | 7.95 | 24 | 1.5021 | 1.6314 | 3.44 | 24 | 1.4681 | 1.5410 | 7.17 |
| 28 | 1.4496 | 1.4916 | 7.38 | 28 | 1.5046 | 1.6262 | 3.01 | 28 | 1.4662 | 1.5371 | 6.95 |
| 32 | 1.4488 | 1.4882 | 5.98 | 32 | 1.5097 | 1.6203 | 2.55 | 32 | 1.4649 | 1.5345 | 6.68 |
| 36 | 1.4482 | 1.4844 | 4.72 | 36 | 1.5135 | 1.6138 | 2.14 | 36 | 1.4626 | 1.5317 | 6.35 |
| 40 | 1.4480 | 1.4797 | 3.65 | 40 | 1.5161 | 1.5923 | 1.64 | 40 | 1.4609 | 1.5269 | 5.96 |
| 2007A | E7 | ||||||||||
| T [] | T [] | ||||||||||
| 20 | 1.5090 | 1.7773 | 15.01 | 20 | 1.5290 | 1.7314 | 4.39 | ||||
| 24 | 1.5091 | 1.7739 | 14.79 | 25 | 1.5340 | 1.7298 | 3.70 | ||||
| 28 | 1.5093 | 1.7704 | 14.50 | 30 | 1.5393 | 1.7276 | 3.33 | ||||
| 32 | 1.5096 | 1.7668 | 14.16 | 35 | 1.5450 | 1.7246 | 3.05 | ||||
| 36 | 1.5100 | 1.7630 | 13.78 | 40 | 1.5513 | 1.7203 | 2.85 | ||||
| 40 | 1.5105 | 1.7590 | 13.37 | 45 | 1.5586 | 1.7141 | 2.59 | ||||
| 50 | 1.5122 | 1.7580 | 12.25 | 50 | 1.5679 | 1.7039 | 2.33 | ||||
| 60 | 1.5149 | 1.7450 | 10.85 | 55 | 1.5856 | 1.6770 | 2.22 | ||||
© 2018 by the authors. Licensee MDPI, Basel, Switzerland. This article is an open access article distributed under the terms and conditions of the Creative Commons Attribution (CC BY) license (http://creativecommons.org/licenses/by/4.0/).
Share and Cite
Laudyn, U.A.; Piccardi, A.; Kwasny, M.; Klus, B.; Karpierz, M.A.; Assanto, G. Interplay of Thermo-Optic and Reorientational Responses in Nematicon Generation. Materials 2018, 11, 1837. https://doi.org/10.3390/ma11101837
Laudyn UA, Piccardi A, Kwasny M, Klus B, Karpierz MA, Assanto G. Interplay of Thermo-Optic and Reorientational Responses in Nematicon Generation. Materials. 2018; 11(10):1837. https://doi.org/10.3390/ma11101837
Chicago/Turabian StyleLaudyn, Urszula A., Armando Piccardi, Michal Kwasny, Bartlomiej Klus, Miroslaw A. Karpierz, and Gaetano Assanto. 2018. "Interplay of Thermo-Optic and Reorientational Responses in Nematicon Generation" Materials 11, no. 10: 1837. https://doi.org/10.3390/ma11101837
APA StyleLaudyn, U. A., Piccardi, A., Kwasny, M., Klus, B., Karpierz, M. A., & Assanto, G. (2018). Interplay of Thermo-Optic and Reorientational Responses in Nematicon Generation. Materials, 11(10), 1837. https://doi.org/10.3390/ma11101837

