N-Doped Carbon Xerogels as Pt Support for the Electro-Reduction of Oxygen
Abstract
:1. Introduction
2. Results
2.1. N-Doped Carbon Xerogels
2.2. Pt Catalysts Supported on N-Doped Carbon Xerogels
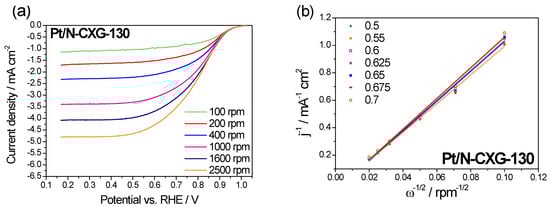
2.3. Activity for the Oxygen Reduction Reaction
3. Materials and Methods
3.1. Synthesis of Materials
3.2. Physico-Chemical Characterization
3.3. Electro-Chemical Characterization
4. Conclusions
Acknowledgments
Author Contributions
Conflicts of Interest
References
- Arico, A.S.; Srinivasan, S.; Antonucci, V. DMFCs: From fundamental aspects to technology development. Fuel Cells 2001, 1, 133–161. [Google Scholar] [CrossRef]
- Aricò, A.S.; Baglio, V.; Antonucci, V.; Zhang, J.; Liu, H. Electrocatalysis of Direct Methanol Fuel Cells: From Fundamentals to Applications; John Wiley & Sons: Hoboken, NJ, USA, 2009. [Google Scholar]
- Niakolas, D.K.; Daletou, M.; Neophytides, S.G.; Vayenas, C.G. Fuel cells are a commercially viable alternative for the production of clean energy. Ambio 2016, 45, 32–37. [Google Scholar] [CrossRef] [PubMed]
- Steele, B.C.H.; Heinzel, A. Materials for fuel-cell technologies. Nature 2001, 414, 345–352. [Google Scholar] [CrossRef] [PubMed]
- You, P.Y.; Kamarudin, S.K. Recent progress of carbonaceous materials in fuel cell applications: An overview. Chem. Eng. J. 2017, 309, 489–502. [Google Scholar] [CrossRef]
- Sebastián, D.; Baglio, V.; Aricò, A.S.; Serov, A.; Atanassov, P. Performance analysis of a non-platinum group metal catalyst based on iron-aminoantipyrine for direct methanol fuel cells. Appl. Catal. B Environ. 2016, 182, 297–305. [Google Scholar] [CrossRef]
- Jaouen, F. Heat-Treated Transition Metal-NxCy Electrocatalysts for the O2 Reduction Reaction in Acid PEM Fuel Cells. In Non-Noble Metal Fuel Cell Catalysts; Wiley-VCH Verlag GmbH & Co. KGaA: Weinheim, Germany, 2014; pp. 29–118. ISBN 9783527664900. [Google Scholar]
- Serov, A.; Robson, M.H.; Halevi, B.; Artyushkova, K.; Atanassov, P. Highly active and durable templated non-PGM cathode catalysts derived from iron and aminoantipyrine. Electrochem. Commun. 2012, 22, 53–56. [Google Scholar] [CrossRef]
- Kriston, Á.; Xie, T.; Gamliel, D.; Ganesan, P.; Popov, B.N. Effect of ultra-low Pt loading on mass activity of polymer electrolyte membrane fuel cells. J. Power Sources 2013, 243, 958–963. [Google Scholar] [CrossRef]
- Tang, J.M.; Jensen, K.; Waje, M.; Li, W.; Larsen, P.; Pauley, K.; Chen, Z.; Ramesh, P.; Itkis, M.E.; Yan, Y.; et al. High performance hydrogen fuel cells with ultralow Pt loading carbon nanotube thin film catalysts. J. Phys. Chem. C 2007, 111, 17901–17904. [Google Scholar] [CrossRef]
- Antolini, E. Carbon supports for low-temperature fuel cell catalysts. Appl. Catal. B Environ. 2009, 88, 1–24. [Google Scholar] [CrossRef]
- Huang, H.; Wang, X.; Jiang, S.P.; Deng, N.; Yoon, Y.S.; Aricò, A.S.; Spinelli, P.; Jiang, L.; Wang, C.; O’Hayre, R.; et al. Recent progress on carbon-based support materials for electrocatalysts of direct methanol fuel cells. J. Mater. Chem. A 2014, 2, 6266–6291. [Google Scholar] [CrossRef]
- Maillard, F.; Job, N.; Chatenet, M. Approaches to Synthesize Carbon-Supported Platinum-Based Electrocatalysts for Proton-Exchange Membrane Fuel Cells. In New and Future Developments in Catalysis: Batteries, Hydrogen Storage and Fuel Cells; Elsevier: Amsterdam, The Netherlands, 2013; pp. 407–428. ISBN 9780444538802. [Google Scholar]
- Antolini, E. Formation, microstructural characteristics and stability of carbon supported platinum catalysts for low temperature fuel cells. J. Mater. Sci. 2003, 38, 2995–3005. [Google Scholar] [CrossRef]
- Gálvez, M.E.M.; Calvillo, L.; Alegre, C.; Sebastián, D.; Suelves, I.; Pérez-Rodríguez, S.; Celorrio, V.; Pastor, E.; Pardo, J.I.J.; Moliner, R.; et al. Nanostructured Carbon Materials as Supports in the Preparation of Direct Methanol Fuel Cell Electrocatalysts. Catalysts 2013, 3, 671–682. [Google Scholar] [CrossRef]
- Lázaro, M.J.; Ascaso, S.; Pérez-Rodríguez, S.; Calderón, J.C.; Gálvez, M.E.; Jesús Nieto, M.; Moliner, R.; Boyano, A.; Sebastián, D.; Alegre, C.; et al. Carbon-based catalysts: Synthesis and applications. Comptes Rendus Chim. 2015, 18, 1229–1241. [Google Scholar] [CrossRef]
- Sebastián, D.; Alegre, C.; Calvillo, L.; Pérez, M.; Moliner, R.; Lázaro, M.J. Carbon supports for the catalytic dehydrogenation of liquid organic hydrides as hydrogen storage and delivery system. Int. J. Hydrogen Energy 2014, 39, 4109–4115. [Google Scholar] [CrossRef]
- Sebastián, D.; Suelves, I.; Moliner, R.; Lázaro, M.J.; Stassi, A.; Baglio, V.; Aricò, A.S. Optimizing the synthesis of carbon nanofiber based electrocatalysts for fuel cells. Appl. Catal. B Environ. 2013, 132–133, 22–27. [Google Scholar] [CrossRef]
- Al-Muhtaseb, S.A.; Ritter, J.A. Preparation and Properties of Resorcinol-Formaldehyde Organic and Carbon Gels. Adv. Mater. 2003, 15, 101–114. [Google Scholar] [CrossRef]
- Alegre, C.; Sebastián, D.; Gálvez, M.E.; Moliner, R.; Lázaro, M.J. Sulfurized carbon xerogels as Pt support with enhanced activity for fuel cell applications. Appl. Catal. B Environ. 2016, 192, 260–267. [Google Scholar] [CrossRef]
- Kiciński, W.; Dziura, A. Heteroatom-doped carbon gels from phenols and heterocyclic aldehydes: Sulfur-doped carbon xerogels. Carbon 2014, 75, 56–67. [Google Scholar] [CrossRef]
- De la Fuente, J.L.G.; Martínez-Huerta, M.V.; Rojas, S.; Terreros, P.; Fierro, J.L.G.; Peña, M.A. Methanol electrooxidation on PtRu nanoparticles supported on functionalised carbon black. Catal. Today 2006, 116, 422–432. [Google Scholar] [CrossRef]
- Alegre, C.; Gálvez, M.E.; Baquedano, E.; Pastor, E.; Moliner, R.; Lázaro, M.J. Influence of support’s oxygen functionalization on the activity of Pt/carbon xerogels catalysts for methanol electro-oxidation. Int. J. Hydrogen Energy 2012, 37, 7180–7191. [Google Scholar] [CrossRef]
- Sebastián, D.; Lázaro, M.J.; Moliner, R.; Suelves, I.; Aricò, A.S.; Baglio, V. Oxidized carbon nanofibers supporting PtRu nanoparticles for direct methanol fuel cells. Int. J. Hydrogen Energy 2014, 39, 5414–5423. [Google Scholar] [CrossRef]
- Bae, G.; Youn, D.H.; Han, S.; Lee, J.S. The role of nitrogen in a carbon support on the increased activity and stability of a Pt catalyst in electrochemical hydrogen oxidation. Carbon 2013, 51, 274–281. [Google Scholar] [CrossRef]
- Qu, L.; Liu, Y.; Baek, J.-B.; Dai, L. Nitrogen-doped graphene as efficient metal-free electrocatalyst for oxygen reduction in fuel cells. ACS Nano 2010, 4, 1321–1326. [Google Scholar] [CrossRef] [PubMed]
- Sung, C.-C.; Liu, C.-Y.; Cheng, C.C.J. Durability improvement at high current density by graphene networks on PEM fuel cell. Int. J. Hydrogen Energy 2014, 39, 11706–11712. [Google Scholar] [CrossRef]
- Lee, J.-S.; Tai Kim, S.; Cao, R.; Choi, N.-S.; Liu, M.; Lee, K.T.; Cho, J. Metal-Air Batteries with High Energy Density: Li-Air versus Zn-Air. Adv. Energy Mater. 2011, 1, 34–50. [Google Scholar] [CrossRef]
- Liu, S.; Deng, C.; Yao, L.; Zhong, H.; Zhang, H. The key role of metal dopants in nitrogen-doped carbon xerogel for oxygen reduction reaction. J. Power Sources 2014, 269, 225–235. [Google Scholar] [CrossRef]
- Gorgulho, H.F.; Gonçalves, F.; Pereira, M.F.R.; Figueiredo, J.L. Synthesis and characterization of nitrogen-doped carbon xerogels. Carbon 2009, 47, 2032–2039. [Google Scholar] [CrossRef]
- Cai, M.; Ruthkosky, M.S.; Merzougui, B.; Swathirajan, S.; Balogh, M.P.; Oh, S.H. Investigation of thermal and electrochemical degradation of fuel cell catalysts. J. Power Sources 2006, 160, 977–986. [Google Scholar] [CrossRef]
- Wu, J.; Yuan, X.Z.; Martin, J.J.; Wang, H.; Zhang, J.; Shen, J.; Wu, S.; Merida, W. A review of PEM fuel cell durability: Degradation mechanisms and mitigation strategies. J. Power Sources 2008, 184, 104–119. [Google Scholar] [CrossRef]
- Shao, Y.; Yin, G.; Gao, Y. Understanding and approaches for the durability issues of Pt-based catalysts for PEM fuel cell. J. Power Sources 2007, 171, 558–566. [Google Scholar] [CrossRef]
- Yu, X.; Ye, S. Recent advances in activity and durability enhancement of Pt/C catalytic cathode in PEMFC. J. Power Sources 2007, 172, 133–144. [Google Scholar] [CrossRef]
- Yeon, K.; Lee, B.I.; Sung, J. Hydrogen adsorption on nitrogen-doped carbon xerogels. Carbon 2009, 47, 1171–1180. [Google Scholar] [CrossRef]
- Veselá, P.; Slovák, V. N-doped carbon xerogels prepared by ammonia assisted pyrolysis: Surface characterisation, thermal properties and adsorption ability for heavy metal ions. J. Anal. Appl. Pyrolysis 2014, 109, 266–271. [Google Scholar] [CrossRef]
- Kiciński, W.; Norek, M.; Jankiewicz, B.J. Heterogeneous carbon gels: N-doped carbon xerogels from resorcinol and n-containing heterocyclic aldehydes. Langmuir 2014, 30, 14276–14285. [Google Scholar] [CrossRef] [PubMed]
- Sánchez-Sánchez, Á.; Suárez-García, F.; Martínez-Alonso, A.; Tascón, J.M.D. Synthesis, characterization and dye removal capacities of N-doped mesoporous carbons. J. Colloid Interface Sci. 2015, 450, 91–100. [Google Scholar] [CrossRef] [PubMed]
- Liu, S.; Zhang, H.; Xu, Z.; Zhong, H.; Jin, H. Nitrogen-doped carbon xerogel as high active oxygen reduction catalyst for direct methanol alkaline fuel cell. Int. J. Hydrogen Energy 2012, 37, 19065–19072. [Google Scholar] [CrossRef]
- Pérez-Cadenas, M.; Moreno-Castilla, C.; Carrasco-Marín, F.; Pérez-Cadenas, A.F. Surface chemistry, porous texture, and morphology of N-doped carbon xerogels. Langmuir 2009, 25, 466–470. [Google Scholar] [CrossRef] [PubMed]
- Liu, X.; Li, S.; Mei, J.; Lau, W.-M.; Mi, R.; Li, Y.; Liu, H.; Liu, L. From melamine–resorcinol–formaldehyde to nitrogen-doped carbon xerogels with micro- and meso-pores for lithium batteries. J. Mater. Chem. A 2014, 2, 14429–14438. [Google Scholar] [CrossRef]
- Jin, H.; Li, J.; Chen, F.; Gao, L.; Zhang, H.; Liu, D.; Liu, Q. Nitrogen-doped carbon xerogels as novel cathode electrocatalysts for oxygen reduction reaction in direct borohydride fuel cells. Electrochim. Acta 2016, 222, 438–445. [Google Scholar] [CrossRef]
- Alegre, C.; Baquedano, E.; Galvez, M.E.; Moliner, R.; Lazaro, M.J. Tailoring carbon xerogels’ properties to enhance catalytic activity of Pt catalysts towards methanol oxidation. Int. J. Hydrogen Energy 2015, 40, 14736–14745. [Google Scholar] [CrossRef]
- Pizzi, A. Melamine-formaldehyde adhesives. In Handbook of Adhesive Technology; CRC Press: Boca Raton, FL, USA, 1994; pp. 393–403. ISBN 0824709861. [Google Scholar]
- Zhang, Y.; Feng, H.; Wu, X.; Wang, L.; Zhang, A.; Xia, T.; Dong, H.; Li, X.; Zhang, L. Progress of electrochemical capacitor electrode materials: A review. Int. J. Hydrogen Energy 2009, 34, 4889–4899. [Google Scholar] [CrossRef]
- Barbosa, M.B.; Nascimento, J.P.; Martelli, P.B.; Furtado, C.A.; Mohallem, N.D.S.; Gorgulho, H.F. Electrochemical properties of carbon xerogel containing nitrogen in a carbon matrix. Microporous Mesoporous Mater. 2012, 162, 24–30. [Google Scholar] [CrossRef]
- Matter, P.H.; Zhang, L.; Ozkan, U.S. The role of nanostructure in nitrogen-containing carbon catalysts for the oxygen reduction reaction. J. Catal. 2006, 239, 83–96. [Google Scholar] [CrossRef]
- Su, D.S.; Schlögl, R. Nanostructured Carbon and Carbon Nanocomposites for Electrochemical Energy Storage Applications. ChemSusChem 2010, 3, 136–168. [Google Scholar] [CrossRef] [PubMed]
- Jin, H.; Zhang, H.; Zhong, H.; Zhang, J. Nitrogen-doped carbon xerogel: A novel carbon-based electrocatalyst for oxygen reduction reaction in proton exchange membrane (PEM) fuel cells. Energy Environ. Sci. 2011, 4, 3389–3394. [Google Scholar] [CrossRef]
- Podyacheva, O.Y.; Ismagilov, Z.R. Nitrogen-doped carbon nanomaterials: To the mechanism of growth, electrical conductivity and application in catalysis. Catal. Today 2015, 249, 12–22. [Google Scholar] [CrossRef]
- Liu, H.; Song, C.; Zhang, L.; Zhang, J.; Wang, H.; Wilkinson, D.P. A review of anode catalysis in the direct methanol fuel cell. J. Power Sources 2006, 155, 95–110. [Google Scholar] [CrossRef]
- Bruno, M.M.; Viva, F.A.; Petruccelli, M.A.; Corti, H.R. Platinum supported on mesoporous carbon as cathode catalyst for direct methanol fuel cells. J. Power Sources 2015, 278, 458–463. [Google Scholar] [CrossRef]
- Sahu, A.K.; Sridhar, P.; Pitchumani, S. Mesoporous carbon for polymer electrolyte fuel cell electrodes. J. Indian Inst. Sci. 2009, 89, 437–445. [Google Scholar]
- Paraknowitsch, J.P.; Thomas, A.; Antonietti, M. A detailed view on the polycondensation of ionic liquid monomers towards nitrogen doped carbon materials. J. Mater. Chem. 2010, 20, 6746–6758. [Google Scholar] [CrossRef]
- Roy, S.C.; Christensen, P.A.; Hamnett, A.; Thomas, K.M.; Trapp, V. Direct Methanol Fuel Cell Cathodes with Sulfur and Nitrogen-Based Carbon Functionality. J. Electrochem. Soc. 1996, 143, 3073–3079. [Google Scholar] [CrossRef]
- Jiang, K.; Eitan, A.; Schadler, L.S.; Ajayan, P.M.; Siegel, R.W.; Grobert, N.; Mayne, M.; Reyes-Reyes, M.; Terrones, H.; Terrones, M. Selective attachment of gold nanoparticles to nitrogen-doped carbon nanotubes. Nano Lett. 2003, 3, 275–277. [Google Scholar] [CrossRef]
- Puthusseri, D.; Ramaprabhu, S. Oxygen reduction reaction activity of platinum nanoparticles decorated nitrogen doped carbon in proton exchange membrane fuel cell under real operating conditions. Int. J. Hydrogen Energy 2016, 41, 13163–13170. [Google Scholar] [CrossRef]
- Jukk, K.; Kongi, N.; Rauwel, P.; Matisen, L.; Tammeveski, K. Platinum Nanoparticles Supported on Nitrogen-Doped Graphene Nanosheets as Electrocatalysts for Oxygen Reduction Reaction. Electrocatalysis 2016, 7, 428–440. [Google Scholar] [CrossRef]
- Melke, J.; Peter, B.; Habereder, A.; Ziegler, J.; Fasel, C.; Nefedov, A.; Sezen, H.; Wöll, C.; Ehrenberg, H.; Roth, C. Metal–Support Interactions of Platinum Nanoparticles Decorated N-Doped Carbon Nanofibers for the Oxygen Reduction Reaction. ACS Appl. Mater. Interfaces 2016, 8, 82–90. [Google Scholar] [CrossRef] [PubMed]
- Artyushkova, K.; Serov, A.; Rojas-Carbonell, S.; Atanassov, P. Chemistry of Multitudinous Active Sites for Oxygen Reduction Reaction in Transition Metal-Nitrogen-Carbon Electrocatalysts. J. Phys. Chem. C 2015, 119, 25917–25928. [Google Scholar] [CrossRef]
- Zhou, Y.; Neyerlin, K.; Olson, T.S.; Pylypenko, S.; Bult, J.; Dinh, H.N.; Gennett, T.; Shao, Z.; O’Hayre, R. Enhancement of Pt and Pt-alloy fuel cell catalyst activity and durability via nitrogen-modified carbon supports. Energy Environ. Sci. 2010, 3, 1437–1446. [Google Scholar] [CrossRef]
- Chen, Y.; Wang, J.; Liu, H.; Li, R.; Sun, X.; Ye, S.; Knights, S. Enhanced stability of Pt electrocatalysts by nitrogen doping in CNTs for PEM fuel cells. Electrochem. Commun. 2009, 11, 2071–2076. [Google Scholar] [CrossRef]
- Pylypenko, S.; Queen, A.; Olson, T.S.; Dameron, A.; Oneill, K.; Neyerlin, K.C.; Pivovar, B.; Dinh, H.N.; Ginley, D.S.; Gennett, T.; et al. Tuning carbon-based fuel cell catalyst support structures via nitrogen functionalization. II. Investigation of durability of Pt-Ru nanoparticles supported on highly oriented pyrolytic graphite model catalyst supports as a function of nitrogen implantation. J. Phys. Chem. C 2011, 115, 13676–13684. [Google Scholar] [CrossRef]
- Alegre, C.; Gálvez, M.E.; Moliner, R.; Baglio, V.; Aricò, A.S.; Lázaro, M.J. Towards an optimal synthesis route for the preparation of highly mesoporous carbon xerogel-supported Pt catalysts for the oxygen reduction reaction. Appl. Catal. B Environ. 2014, 147, 947–957. [Google Scholar] [CrossRef]
- Alegre, C.; Gálvez, M.E.; Moliner, R.; Baglio, V.; Stassi, A.; Aricò, A.S.; Lázaro, M.J. Platinum Ruthenium Catalysts Supported on Carbon Xerogel for Methanol Electro-Oxidation: Influence of the Catalyst Synthesis Method. ChemCatChem 2013, 5, 3770–3780. [Google Scholar] [CrossRef]
- Borup, R.; Meyers, J.; Pivovar, B.; Kim, Y.S.; Mukundan, R.; Garland, N.; Myers, D.; Wilson, M.; Garzon, F.; Wood, D.; et al. Scientific aspects of polymer electrolyte fuel cell durability and degradation. Chem. Rev. 2007, 107, 3904–3951. [Google Scholar] [CrossRef] [PubMed]








| Carbon Xerogel | SBET (m2·g−1) | Vpore (cm3·g−1) | Vmicro (cm3·g−1) | Vmeso c(m3·g−1) | dpore (nm) | ID/IG | G Band Position (cm−1) |
|---|---|---|---|---|---|---|---|
| CXG-130 | 461 | 0.29 | 0.23 | 0.06 | 3.6 | 0.74 | 1593.5 |
| CXG-300 | 587 | 0.65 | 0.10 | 0.55 | 5.2 | 0.89 | 1591.3 |
| N-CXG-130 | 497 | 1.35 | 0.14 | 1.21 | 19.2 | 0.98 | 1597.0 |
| N-CXG-300 | 387 | 0.34 | 0.17 | 0.17 | 7.3 | 0.91 | 1595.4 |
| Carbon Xerogel | C (wt %) | H (wt %) | N (wt %) |
|---|---|---|---|
| CXG-130 | 94.93 | 1.08 | 0.11 |
| CXG-300 | 94.58 | 0.84 | 0.35 |
| N-CXG-130 | 90.12 | 0.92 | 3.0 |
| N-CXG-300 | 93.30 | 0.82 | 3.4 |
| Carbon Xerogel | N (at %) | N-Pyridine (at %) | N-Pyrrole (at %) | N-Graphitic (at %) | Noxidized (at %) |
|---|---|---|---|---|---|
| 398.2 eV | 400.8 eV | 402.0 eV | 405.0 eV | ||
| N-CXG-130 | 3.4 | 29.7 | 46.0 | 21.3 | 3.0 |
| N-CXG-300 | 4.5 | 30.8 | 54.4 | 7.9 | 6.9 |
| Catalyst | Pt Crystal Size (nm) | Pt Content (wt %) |
|---|---|---|
| Pt/CXG-130 | 5.9 | 20.7 |
| Pt/CXG-300 | 5.4 | 15.0 |
| Pt/N-CXG-130 | 4.3 | 18.9 |
| Pt/N-CXG-300 | 5.5 | 16.7 |
| Pt/Vulcan | 3.4 | 16.7 |
| Catalyst | ORR Onset Potential (V vs. RHE) at −0.1 mA·cm−2 | ORR Half-Wave Potential (V vs. RHE) | Limiting Current Density (mA·cm−2) | n (Koutecky-Levich) | ECSA (m2·g−1 Pt) |
|---|---|---|---|---|---|
| Pt/CXG-130 | 0.94 | 0.78 | 2.8 | 2.3 | 25 |
| Pt/CXG-300 | 0.97 | 0.83 | 3.5 | 2.8 | 39 |
| Pt/N-CXG-130 | 0.97 | 0.82 | 4.6 | 3.5 | 33 |
| Pt/N-CXG-300 | 0.97 | 0.84 | 4.1 | 3.8 | 24 |
| Pt/Vulcan | 0.95 | 0.84 | 4.9 | 4.0 | 42 |
| Catalyst | ECSA BoT (m2·g−1 Pt) | ECSA EoT (m2·g−1 Pt) | % Loss |
|---|---|---|---|
| Pt/CXG-130 | 25 | 14 | 47 |
| Pt/N-CXG-130 | 33 | 19 | 42 |
| Pt/N-CXG-300 | 24 | 16 | 33 |
| Pt/Vulcan | 42 | 28 | 33 |
© 2017 by the authors. Licensee MDPI, Basel, Switzerland. This article is an open access article distributed under the terms and conditions of the Creative Commons Attribution (CC BY) license (http://creativecommons.org/licenses/by/4.0/).
Share and Cite
Alegre, C.; Sebastián, D.; Gálvez, M.E.; Baquedano, E.; Moliner, R.; Aricò, A.S.; Baglio, V.; Lázaro, M.J. N-Doped Carbon Xerogels as Pt Support for the Electro-Reduction of Oxygen. Materials 2017, 10, 1092. https://doi.org/10.3390/ma10091092
Alegre C, Sebastián D, Gálvez ME, Baquedano E, Moliner R, Aricò AS, Baglio V, Lázaro MJ. N-Doped Carbon Xerogels as Pt Support for the Electro-Reduction of Oxygen. Materials. 2017; 10(9):1092. https://doi.org/10.3390/ma10091092
Chicago/Turabian StyleAlegre, Cinthia, David Sebastián, María E. Gálvez, Estela Baquedano, Rafael Moliner, Antonino S. Aricò, Vincenzo Baglio, and María J. Lázaro. 2017. "N-Doped Carbon Xerogels as Pt Support for the Electro-Reduction of Oxygen" Materials 10, no. 9: 1092. https://doi.org/10.3390/ma10091092
APA StyleAlegre, C., Sebastián, D., Gálvez, M. E., Baquedano, E., Moliner, R., Aricò, A. S., Baglio, V., & Lázaro, M. J. (2017). N-Doped Carbon Xerogels as Pt Support for the Electro-Reduction of Oxygen. Materials, 10(9), 1092. https://doi.org/10.3390/ma10091092

