A Simple Method for High-Performance, Solution-Processed, Amorphous ZrO2 Gate Insulator TFT with a High Concentration Precursor
Abstract
:1. Introduction
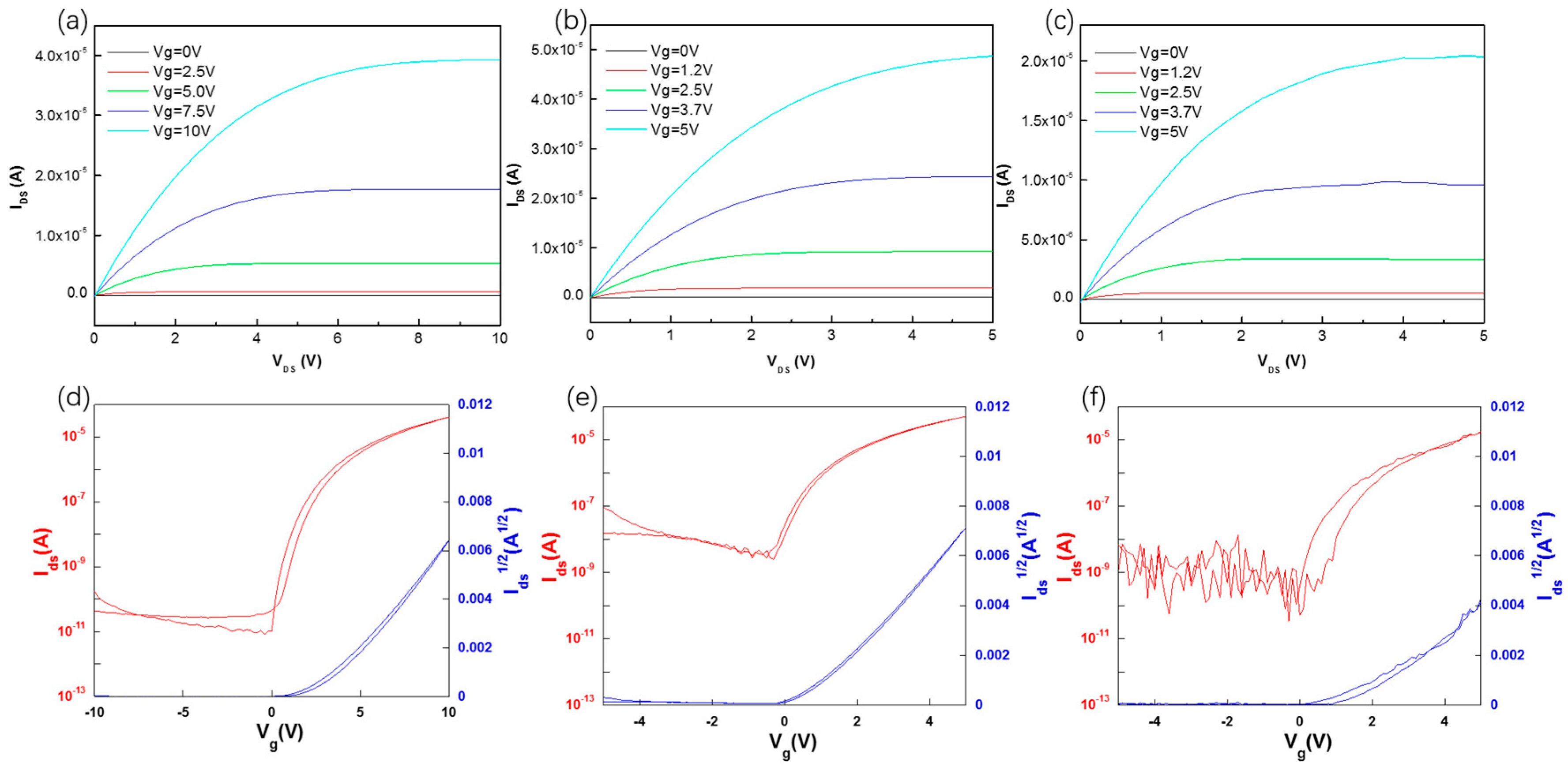
2. Results and Discussion
3. Materials and Methods
4. Conclusions
Acknowledgments
Author Contributions
Conflicts of Interest
References
- Fortunato, E.; Barquinha, P.; Martins, R. Oxide Semiconductor Thin-Film Transistors: A Review of Recent Advances. Adv. Mater. 2012, 24, 2945–2986. [Google Scholar] [CrossRef] [PubMed]
- Park, J.S.; Maeng, W.; Kim, H.; Park, J. Review of recent developments in amorphous oxide semiconductor thin-film transistor devices. Thin Solid Films 2012, 520, 1679–1693. [Google Scholar] [CrossRef]
- Kim, S.; Yoon, S.; Kim, H. Review of solution-processed oxide thin-film transistors. Jpn. J. Appl. Phys. 2014, 53, 02BA02. [Google Scholar] [CrossRef]
- Kamiya, T.; Hosono, H. Material characteristics and applications of transparent amorphous oxide semiconductors. NPG Asia Mater. 2010, 2, 15–22. [Google Scholar] [CrossRef]
- Ribes, G.; Mitard, J.; Denais, M.; Bruyere, S.; Monsieur, F.; Parthasarathy, C.; Vincent, E.; Ghibaudo, G. Review on high-k dielectrics reliability issues. IEEE Trans. Device Mater. Reliab. 2005, 5, 5–19. [Google Scholar] [CrossRef]
- Park, S.; Kim, C.; Lee, W.; Sung, S.; Yoon, M. Sol-gel metal oxide dielectrics for all-solution-processed electronics. Mater. Sci. Eng. R Rep. 2017, 114, 1–22. [Google Scholar] [CrossRef]
- He, W.; Xu, W.; Peng, Q.; Liu, C.; Zhou, G.; Wu, S.; Zeng, M.; Zhang, Z.; Gao, J.; Gao, X.; et al. Surface Modification on Solution Processable ZrO2 High-k Dielectrics for Low Voltage Operations of Organic Thin Film Transistors. J. Phys. Chem. C 2016, 120, 9949–9957. [Google Scholar] [CrossRef]
- Son, B.; Je, S.Y.; Kim, H.J.; Lee, C.; Lee, C.; Hwang, A.Y.; Won, J.Y.; Song, J.H.; Choi, R.; Jeong, J.K. High-performance In-Zn-O thin-film transistors with a soluble processed ZrO2 gate insulator. Phys. Status Solidi (RRL) Rapid Res. Lett. 2013, 7, 485–488. [Google Scholar] [CrossRef]
- Park, Y.M.; Daniel, J.R.; Heeney, M.; Salleo, A. Room-Temperature Fabrication of Ultrathin Oxide Gate Dielectrics for Low-Voltage Operation of Organic Field-Effect Transistors. Adv. Mater. 2011, 23, 971–974. [Google Scholar] [CrossRef] [PubMed]
- Park, Y.M.; Desai, A.; Salleo, A.; Jimison, L. Solution-Processable Zirconium Oxide Gate Dielectrics for Flexible Organic Field Effect Transistors Operated at Low Voltages. Chem. Mater. 2013, 25, 2571–2579. [Google Scholar] [CrossRef]
- Li, X.F.; Xin, E.L.; Zhang, J.H. Low-Temperature Solution-Processed Zirconium Oxide Gate Insulators for Thin-Film Transistors. IEEE Trans. Electron Devices 2013, 60, 3413–3416. [Google Scholar]
- Zeumault, A.; Ma, S.; Holbery, J. Fully inkjet-printed metal-oxide thin-film transistors on plastic. Phys. Status Solidi (A) 2016, 213, 2189–2195. [Google Scholar] [CrossRef]
- Ning, H.; Tao, R.; Fang, Z.; Cai, W.; Chen, J.; Zhou, Y.; Zhu, Z.; Zheng, Z.; Yao, R.; Xu, M.; et al. Direct patterning of silver electrodes with 2.4 μm channel length by piezoelectric inkjet printing. J. Colloid Interface Sci. 2017, 487, 68–72. [Google Scholar] [CrossRef] [PubMed]
- Park, J.H.; Yoo, Y.B.; Lee, K.H.; Jang, W.S.; Oh, J.Y.; Chae, S.S.; Baik, H.K. Low-Temperature, High-Performance Solution-Processed Thin-Film Transistors with Peroxo-Zirconium Oxide Dielectric. ACS Appl. Mater. Interfaces 2013, 5, 410–417. [Google Scholar] [CrossRef] [PubMed]
- Kaloumenos, M.; Hofmann, K.; Spiehl, D.; Hoffmann, R.; Precht, R.; Bonrad, K. Electrical properties of solution processed multilayer high-k ZrO2 capacitors in inert atmosphere. Thin Solid Films 2016, 600, 59–64. [Google Scholar] [CrossRef]
- Mi, Y.; Wang, J.; Yang, Z.; Wang, Z.; Wang, H.; Yang, S. A simple one-step solution deposition process for constructing high-performance amorphous zirconium oxide thin film. RSC Adv. 2014, 4, 6060. [Google Scholar] [CrossRef]
- Pantisano, L.; Afanas Ev, V.V.; Cimino, S.; Adelmann, C.; Goux, L.; Chen, Y.Y.; Kittl, J.A.; Wouters, D.; Jurczak, M. Towards barrier height modulation in HfO2/TiN by oxygen scavenging-Dielectric defects or metal induced gap states. Microelectron. Eng. 2011, 88, 1251–1254. [Google Scholar] [CrossRef]
- Beaulieu, M.R.; Baral, J.K.; Hendricks, N.R.; Tang, Y.; Briseño, A.L.; Watkins, J.J. Solution Processable High Dielectric Constant Nanocomposites Based on ZrO2 Nanoparticles for Flexible Organic Transistors. ACS Appl. Mater. Interfaces 2013, 5, 13096–13103. [Google Scholar] [CrossRef] [PubMed]
- Fumagalli, L.; Ferrari, G.; Sampietro, M.; Gomila, G. Dielectric-constant measurement of thin insulating films at low frequency by nanoscale capacitance microscopy. Appl. Phys. Lett. 2007, 91, 243110. [Google Scholar] [CrossRef]
- Lee, C.; Dodabalapur, A. Solution-Processed High-k Dielectric, ZrO2, and Integration in Thin-Film Transistors. J. Electron. Mater. 2012, 41, 895–898. [Google Scholar] [CrossRef]
- Xu, W.; Wang, H.; Ye, L.; Xu, J. The role of solution-processed high-k gate dielectrics in electrical performance of oxide thin-film transistors. J. Mater. Chem. C 2014, 2, 5389. [Google Scholar] [CrossRef]
- Trewyn, B.G.; Slowing, I.I.; Giri, S.; Chen, H.; Lin, V.S.Y. Synthesis and Functionalization of a Mesoporous Silica Nanoparticle Based on the Sol-Gel Process and Applications in Controlled Release. Acc. Chem. Res. 2007, 40, 846–853. [Google Scholar] [CrossRef] [PubMed]
- Liu, Y.; Guan, P.; Zhang, B.; Falk, M.L.; Katz, H.E. Ion Dependence of Gate Dielectric Behavior of Alkali Metal Ion-Incorporated Aluminas in Oxide Field-Effect Transistors. Chem. Mater. 2013, 25, 3788–3796. [Google Scholar] [CrossRef]
- Sunho Jeong, J.M. Low-temperature, solution-processed metal oxide thin film transistors. J. Mater. Chem. 2012, 22, 1243–1250. [Google Scholar] [CrossRef]
- Kwon, J.; Lee, D.; Kim, K. Review paper: Transparent amorphous oxide semiconductor thin film transistor. Electron. Mater. Lett. 2011, 7, 1–11. [Google Scholar] [CrossRef]
- Kurdesau, F.; Khripunov, G.; Da Cunha, A.F.; Kaelin, M.; Tiwari, A.N. Comparative study of ITO layers deposited by DC and RF magnetron sputtering at room temperature. J. Non-Cryst. Solids 2006, 352, 1466–1470. [Google Scholar] [CrossRef]
- Yim, K.; Yong, Y.; Lee, J.; Lee, K.; Nahm, H.; Yoo, J.; Lee, C.; Seong Hwang, C.; Han, S. Novel high-k dielectrics for next-generation electronic devices screened by automated ab initio calculations. NPG Asia Mater. 2015, 7, e190. [Google Scholar] [CrossRef]
- Papathanasiou, A.G.; Papaioannou, A.T.; Boudouvis, A.G. Illuminating the connection between contact angle saturation and dielectric breakdown in electrowetting through leakage current measurements. J. Appl. Phys. 2008, 103, 034901. [Google Scholar] [CrossRef]
- Wang, D.; Bierwagen, G.P. Sol-gel coatings on metals for corrosion protection. Prog. Org. Coat. 2009, 64, 327–338. [Google Scholar] [CrossRef]
- Yao, R.; Zheng, Z.; Zeng, Y.; Liu, X.; Ning, H.; Hu, S.; Tao, R.; Chen, J.; Cai, W.; Xu, M.; et al. All-Aluminum Thin Film Transistor Fabrication at Room Temperature. Materials 2017, 10, 222. [Google Scholar] [CrossRef] [PubMed]









| Concentration | Layer | Density (g/cm3) | Thickness (nm) | Roughness (nm) |
|---|---|---|---|---|
| 0.1 M | 3 | 4.69 | 22.49 | 0.51 |
| 0.3 M | 3 | 4.83 | 66.98 | 0.56 |
| 0.3 M | 6 | 4.77 | 129.29 | 1.21 |
| 0.6 M | 3 | 4.75 | 137.14 | 0.79 |
© 2017 by the authors. Licensee MDPI, Basel, Switzerland. This article is an open access article distributed under the terms and conditions of the Creative Commons Attribution (CC BY) license (http://creativecommons.org/licenses/by/4.0/).
Share and Cite
Cai, W.; Zhu, Z.; Wei, J.; Fang, Z.; Ning, H.; Zheng, Z.; Zhou, S.; Yao, R.; Peng, J.; Lu, X. A Simple Method for High-Performance, Solution-Processed, Amorphous ZrO2 Gate Insulator TFT with a High Concentration Precursor. Materials 2017, 10, 972. https://doi.org/10.3390/ma10080972
Cai W, Zhu Z, Wei J, Fang Z, Ning H, Zheng Z, Zhou S, Yao R, Peng J, Lu X. A Simple Method for High-Performance, Solution-Processed, Amorphous ZrO2 Gate Insulator TFT with a High Concentration Precursor. Materials. 2017; 10(8):972. https://doi.org/10.3390/ma10080972
Chicago/Turabian StyleCai, Wei, Zhennan Zhu, Jinglin Wei, Zhiqiang Fang, Honglong Ning, Zeke Zheng, Shangxiong Zhou, Rihui Yao, Junbiao Peng, and Xubing Lu. 2017. "A Simple Method for High-Performance, Solution-Processed, Amorphous ZrO2 Gate Insulator TFT with a High Concentration Precursor" Materials 10, no. 8: 972. https://doi.org/10.3390/ma10080972
APA StyleCai, W., Zhu, Z., Wei, J., Fang, Z., Ning, H., Zheng, Z., Zhou, S., Yao, R., Peng, J., & Lu, X. (2017). A Simple Method for High-Performance, Solution-Processed, Amorphous ZrO2 Gate Insulator TFT with a High Concentration Precursor. Materials, 10(8), 972. https://doi.org/10.3390/ma10080972

