Temperature-Dependent Photoluminescence Emission from Unstrained and Strained GaSe Nanosheets
Abstract
:1. Introduction
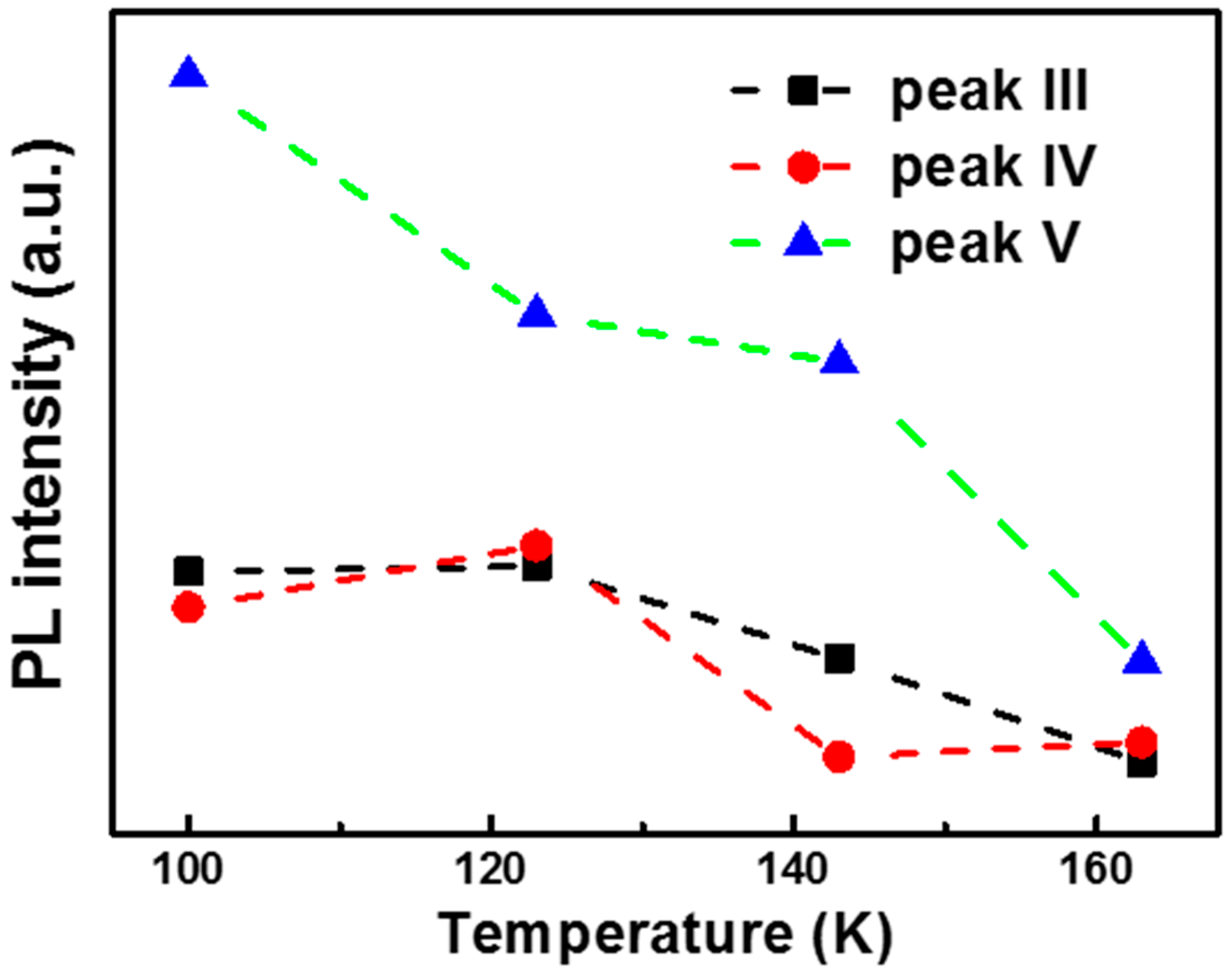
2. Results and Discussion
3. Materials and Methods
4. Conclusions
Supplementary Materials
Acknowledgments
Author Contributions
Conflicts of Interest
References
- Novoselov, K.S.; Geim, A.K.; Morozov, S.V.; Jiang, D.; Zhang, Y.; Dubonos, S.V.; Grigorieva, I.V.; Firsov, A.A. Electric field effect in atomically thin carbon films. Science 2004, 306, 666–669. [Google Scholar] [CrossRef] [PubMed]
- Lee, C.; Wei, X.; Kysar, J.W.; Hone, J. Measurement of the elastic properties and intrinsic strength of monolayer graphene. Science 2008, 321, 385–388. [Google Scholar] [CrossRef] [PubMed]
- Bae, S.; Kim, H.; Lee, Y.; Xu, X.; Park, J.-S.; Zheng, Y.; Balakrishnan, J.; Lei, T.; Kim, H.R.; Song, Y.I. Roll-to-roll production of 30-inch graphene films for transparent electrodes. Nat. Nanotechnol. 2010, 5, 574–578. [Google Scholar] [CrossRef] [PubMed]
- Song, L.; Ci, L.; Lu, H.; Sorokin, P.B.; Jin, C.; Ni, J.; Kvashnin, A.G.; Kvashnin, D.G.; Lou, J.; Yakobson, B.I. Large scale growth and characterization of atomic hexagonal boron nitride layers. Nano Lett. 2010, 10, 3209–3215. [Google Scholar] [CrossRef] [PubMed]
- Lee, Y.H.; Zhang, X.Q.; Zhang, W.; Chang, M.T.; Lin, C.T.; Chang, K.D.; Yu, Y.C.; Wang, J.T.W.; Chang, C.S.; Li, L.J. Synthesis of large-area MoS2 atomic layers with chemical vapor deposition. Adv. Mater. 2012, 24, 2320–2325. [Google Scholar] [CrossRef] [PubMed]
- Late, D.J.; Liu, B.; Matte, H.; Rao, C.; Dravid, V.P. Rapid characterization of ultrathin layers of chalcogenides on SiO2/Si substrates. Adv. Funct. Mater. 2012, 22, 1894–1905. [Google Scholar] [CrossRef]
- Late, D.J.; Liu, B.; Luo, J.; Yan, A.; Matte, H.; Grayson, M.; Rao, C.; Dravid, V.P. GaS and GaSe ultrathin layer transistors. Adv. Mater. 2012, 24, 3549–3554. [Google Scholar] [CrossRef] [PubMed]
- Isik, M.; Hadibrata, W.; Gasanly, N. Annealing effect on the low temperature thermoluminescence properties of GaSe single crystals. J. Lumin. 2014, 154, 131–135. [Google Scholar] [CrossRef]
- Ma, Y.; Dai, Y.; Guo, M.; Yu, L.; Huang, B. Tunable electronic and dielectric behavior of GaS and GaSe monolayers. Phys. Chem. Chem. Phys. 2013, 15, 7098–7105. [Google Scholar] [CrossRef] [PubMed]
- Zhou, Y.; Nie, Y.; Liu, Y.; Yan, K.; Hong, J.; Jin, C.; Zhou, Y.; Yin, J.; Liu, Z.; Peng, H. Epitaxy and photoresponse of two-dimensional GaSe crystals on flexible transparent mica sheets. ACS Nano 2014, 8, 1485–1490. [Google Scholar] [CrossRef] [PubMed]
- Mooser, E.; Schlüter, M. The band-gap excitons in gallium selenide. IL Nuovo Cimento B (1971–1996) 1973, 18, 164–208. [Google Scholar]
- Capozzi, V.; Montagna, M. Optical spectroscopy of extrinsic recombinations in gallium selenide. Phys. Rev. B 1989, 40, 3182. [Google Scholar] [CrossRef]
- Zhang, S.-R.; Zhu, S.-F.; Zhao, B.-J.; Xie, L.-H.; Song, K.-H. First-principles study of the elastic, electronic and optical properties of ε-GaSe layered semiconductor. Phys. B Condens. Matter 2014, 436, 188–192. [Google Scholar] [CrossRef]
- Kim, W.; Li, C.; Chaves, F.A.; Jiménez, D.; Rodriguez, R.D.; Susoma, J.; Fenner, M.A.; Lipsanen, H.; Riikonen, J. Tunable graphene–GaSe dual heterojunction device. Adv. Mater. 2016, 28, 1845–1852. [Google Scholar] [CrossRef] [PubMed]
- Augelli, V.; Manfredotti, C.; Murri, R.; Vasanelli, L. Hall-mobility anisotropy in GaSe. Phys. Rev. B 1978, 17, 3221. [Google Scholar] [CrossRef]
- Wu, Y.; Zhang, D.; Lee, K.; Duesberg, G.S.; Syrlybekov, A.; Liu, X.; Abid, M.; Abid, M.; Liu, Y.; Zhang, L.; et al. Quantum confinement and gas sensing of mechanically exfoliated GaSe. Adv. Mater. Technol. 2017, 2, 1600197. [Google Scholar] [CrossRef]
- Zhou, X.; Cheng, J.; Zhou, Y.; Cao, T.; Hong, H.; Liao, Z.; Wu, S.; Peng, H.; Liu, K.; Yu, D. Strong second-harmonic generation in atomic layered GaSe. J. Am. Chem. Soc. 2015, 137, 7994–7997. [Google Scholar] [CrossRef] [PubMed]
- Zhu, Z.; Cheng, Y.; Schwingenschlögl, U. Topological phase transition in layered GaS and GaSe. Phys. Rev. Lett. 2012, 108, 266805. [Google Scholar] [CrossRef] [PubMed]
- An, W.; Wu, F.; Jiang, H.; Tian, G.-S.; Li, X.-Z. Systematic investigation on topological properties of layered GaS and GaSe under strain. J. Chem. Phys. 2014, 141, 084701. [Google Scholar] [CrossRef] [PubMed]
- Wang, C.; Yang, S.-X.; Zhang, H.-R.; Du, L.-N.; Wang, L.; Yang, F.-Y.; Zhang, X.-Z.; Liu, Q. Synthesis of atomically thin GaSe wrinkles for strain sensors. Front. Phys. 2016, 11, 116802. [Google Scholar] [CrossRef]
- Wu, W.; Wang, L.; Yu, R.; Liu, Y.; Wei, S.H.; Hone, J.; Wang, Z.L. Piezophototronic effect in single-atomic-layer MoS2 for strain-gated flexible optoelectronics. Adv. Mater. 2016, 28, 8463–8468. [Google Scholar] [CrossRef] [PubMed]
- Wu, W.; Wang, Z.L. Piezotronics and piezo-phototronics for adaptive electronics and optoelectronics. Nat. Rev. Mater. 2016, 1, 16031. [Google Scholar] [CrossRef]
- Liu, C.; Peng, M.; Yu, A.; Liu, J.; Song, M.; Zhang, Y.; Zhai, J. Interface engineering on p-CuI/n-ZnO heterojunction for enhancing piezoelectric and piezo-phototronic performance. Nano Energy 2016, 26, 417–424. [Google Scholar] [CrossRef]
- Wu, Y.; Fuh, H.-R.; Zhang, D.; Coileáin, C.Ó.; Xu, H.; Cho, J.; Choi, M.; Chun, B.S.; Jiang, X.; Abid, M. Simultaneous large continuous band gap tunability and photoluminescence enhancement in GaSe nanosheets via elastic strain engineering. Nano Energy 2017, 32, 157–164. [Google Scholar] [CrossRef]
- Varshni, Y.P. Temperature dependence of the energy gap in semiconductors. Physica 1967, 34, 149–154. [Google Scholar] [CrossRef]
- O’Donnell, K.; Chen, X. Temperature dependence of semiconductor band gaps. Appl. Phys. Lett. 1991, 58, 2924–2926. [Google Scholar] [CrossRef]





© 2017 by the authors. Licensee MDPI, Basel, Switzerland. This article is an open access article distributed under the terms and conditions of the Creative Commons Attribution (CC BY) license (http://creativecommons.org/licenses/by/4.0/).
Share and Cite
Zhang, D.; Jia, T.; Dong, R.; Chen, D. Temperature-Dependent Photoluminescence Emission from Unstrained and Strained GaSe Nanosheets. Materials 2017, 10, 1282. https://doi.org/10.3390/ma10111282
Zhang D, Jia T, Dong R, Chen D. Temperature-Dependent Photoluminescence Emission from Unstrained and Strained GaSe Nanosheets. Materials. 2017; 10(11):1282. https://doi.org/10.3390/ma10111282
Chicago/Turabian StyleZhang, Duan, Tanhua Jia, Ran Dong, and Dengyun Chen. 2017. "Temperature-Dependent Photoluminescence Emission from Unstrained and Strained GaSe Nanosheets" Materials 10, no. 11: 1282. https://doi.org/10.3390/ma10111282
APA StyleZhang, D., Jia, T., Dong, R., & Chen, D. (2017). Temperature-Dependent Photoluminescence Emission from Unstrained and Strained GaSe Nanosheets. Materials, 10(11), 1282. https://doi.org/10.3390/ma10111282
