Analytical Model for Voltage-Dependent Photo and Dark Currents in Bulk Heterojunction Organic Solar Cells
Abstract
:1. Introduction
2. Theoretical Model
2.1. Dark Current
2.2. Dissociation Efficiency
2.3. Photocurrent
2.4. Net External Current
3. Results and Discussion
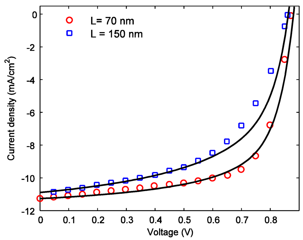
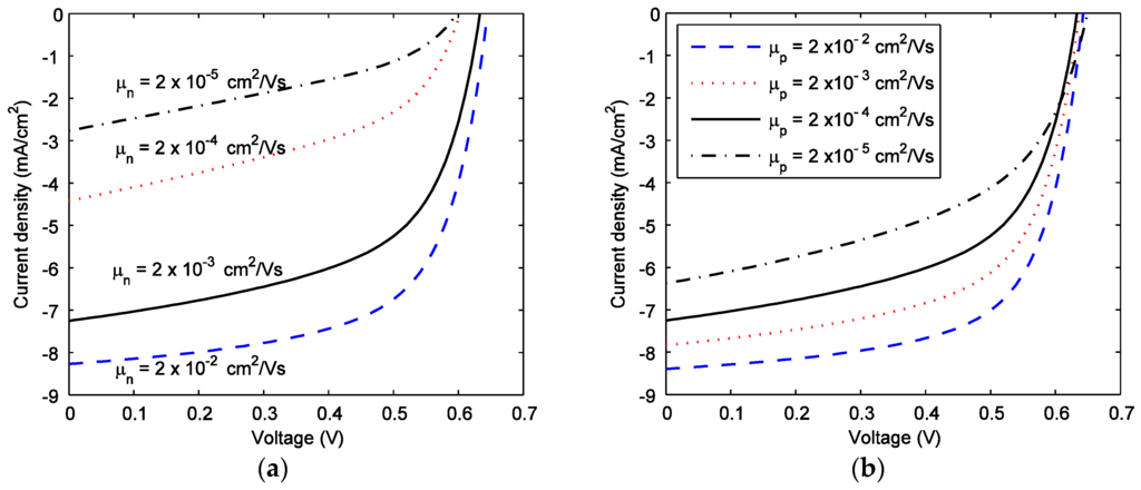
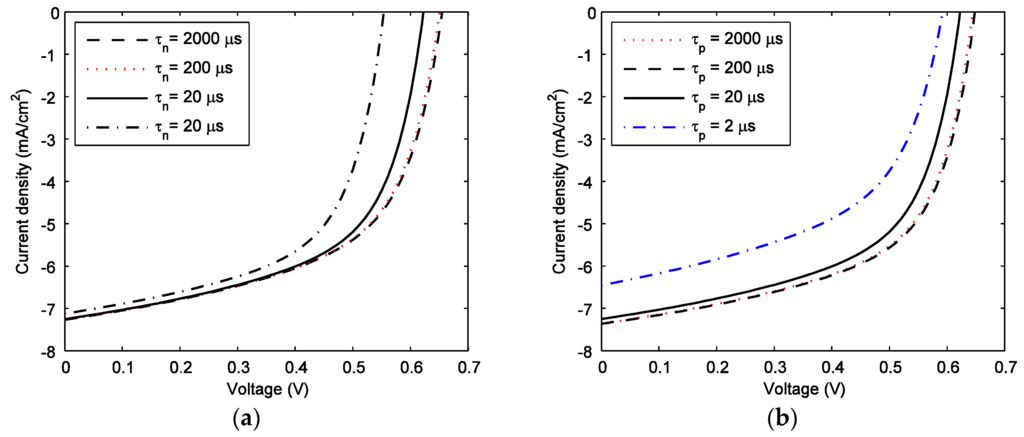
3.1. Dark Current Density
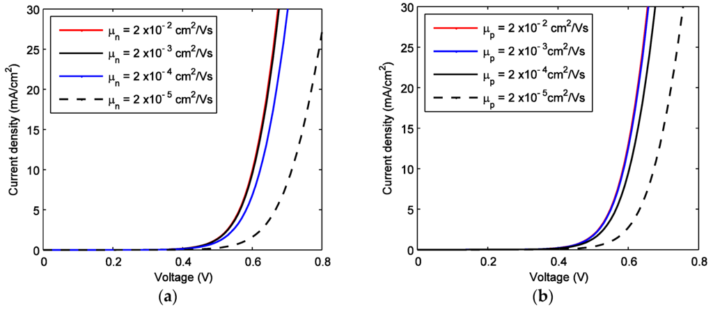
3.2. Net External Current
4. Conclusions
Acknowledgments
Author Contributions
Conflicts of Interest
References
- Kumar, P.; Gaur, A.A. Model for the J-V characteristics of degraded polymer solar cells. J. Appl. Phys. 2013, 113, 094505. [Google Scholar] [CrossRef]
- Zhang, T.; Birgersson, E.; Luther, J. A spatially smoothed device model for organic bulk heterojunction solar cells. J. Appl. Phys. 2013, 113, 174505. [Google Scholar] [CrossRef]
- Mihailetchi, V.D.; Koster, L.J.A.; Hummelen, J.C.; Blom, P.W.M. Photocurrent Generation in Polymer-Fullerene Bulk Heterojunctions. Phys. Rev. Lett. 2004, 93, 216601. [Google Scholar] [CrossRef] [PubMed]
- Namkoong, G.; Kong, J.; Samson, M.; Hwang, I.W.; Lee, K. Active layer thickness effect on the recombination process of PCDTBT:PC71BM organic solar cells. Org. Electron. 2013, 14, 74–79. [Google Scholar] [CrossRef]
- Street, R.A.; Schoendorf, M. Interface state recombination in organic solar cells. Phys. Rev. B 2010, 81, 205307. [Google Scholar] [CrossRef]
- Shuttle, C.G.; O’Regan, B.; Ballantyne, A.M.; Nelson, J.; Bradley, D.D.C.; de Mello, J.; Durrant, J.R. Experimental determination of the rate law for charge carrier decay in a polythiophene: Fullerene solar cell. Appl. Phys. Letts. 2008, 92, 093311. [Google Scholar] [CrossRef]
- Mandoc, M.M.; Kooistra, F.B.; Hummelen, J.C.; Boer, B.D.; Blom, P.W.M. Effect of traps on the performance of bulk heterojunction organic solar cells. Appl. Phys. Letts. 2007, 91, 263505. [Google Scholar] [CrossRef]
- Arnab, S.M.; Kabir, M.Z. An analytical model for analyzing the current-voltage characteristics of bulk heterojunction organic solar cells. J. Appl. Phys. 2014, 115, 034504. [Google Scholar] [CrossRef]
- Chowdhury, M.M.; Alam, M.K. An optoelectronic analytical model for bulk heterojunction organic solar cells incorporating position and wavelength dependent carrier generation. Sol. Energy Mater. Sol. Cells 2015, 132, 107–117. [Google Scholar] [CrossRef]
- Kumar, P.; Jain, S.C.; Kumar, V.; Chand, S.; Tandon, R.P. A model for the J-V characteristics of P3HT:PCBM solar cells. J. Appl. Phys. 2009, 105, 104507. [Google Scholar] [CrossRef]
- Wojcik, M.; Tachiya, M. Accuracies of the empirical theories of the escape probability based on Eigen model and Braun model compared with the exact extension of Onsager theory. J. Chem. Phys. 2009, 130, 104107. [Google Scholar] [CrossRef] [PubMed]
- Hernández-García, L.F.; Cabrera-Arenas, V.; Reséndiz-Mendoza, L.M. On the convergence of the algorithm for simulating organic solar cells. Comput. Phys. Commun. 2015, 196, 372–379. [Google Scholar] [CrossRef]
- Shuttle, C.G.; Hamilton, R.; O’Regan, B.C.; Nelson, J.; Durrant, J.R. Charge-density-based analysis of the current–voltage response of polythiophene/fullerene photovoltaic devices. Proc. Natl. Acad. Sci. USA 2010, 107, 16448–16452. [Google Scholar] [CrossRef] [PubMed]
- Braun, C.L. Electric field assisted dissociation of charge transfer states as a mechanism of photocarrier production. J. Chem. Phys. 1984, 80, 4157–4161. [Google Scholar] [CrossRef]
- Deibel, C.; Dyakonov, V.; Brabec, C.J. Organic bulk-heterojunction solar cells. IEEE J. Sel. Top. Quantum Electron. 2010, 16, 1517–1527. [Google Scholar] [CrossRef]
- Anjan, M.; Kabir, M.Z. Modeling of current-voltage characteristics of CdS/CdTe solar cells. Phys. Status Solidi A 2011, 208, 1813–1816. [Google Scholar] [CrossRef]
- Kasap, S.O. Optoelectronics and Photonics: Principles and Practices, 2nd ed.; Pearson Education: Upper Saddle River, NJ, USA, 2013. [Google Scholar]
- Nelson, J. The Physics of Solar Cells; Imperial College Press: London, UK, 2003. [Google Scholar]
- Rauh, D.; Deibel, C.; Dyakonov, V. Charge density dependent nongeminate recombination in organic bulk heterojunction solar cells. Adv. Funct. Mater. 2012, 22, 3371–3377. [Google Scholar] [CrossRef]
- Servaites, J.D.; Ratner, M.A.; Marks, T.J. Organic solar cells: A new look at traditional models. Energy Environ. Sci. 2011, 4, 4410–4422. [Google Scholar] [CrossRef]
- Park, S.H.; Roy, A.; Beaupre, S.; Cho, S.; Coates, N.; Moon, J.S.; Moses, D.; Leclerc, M.; Lee, K.; Heeger, A.J. Bulk heterojunction solar cells with internal quantum efficiency approaching 100%. Nat. Photonics 2009, 3, 297–302. [Google Scholar] [CrossRef]
- Kim, Y.; Choulis, S.A.; Nelson, J.; Bradley, D.D.C. Composition and annealing effects in polythiophene/fullerene solar cells. J. Mater. Sci. 2005, 40, 1371–1376. [Google Scholar] [CrossRef]
- Koster, L.J.A.; Mihailetchi, V.D.; Blom, P.W.M. Ultimate efficiency of polymer/fullerene bulk heterojunction solar cells. Appl. Phys. Lett. 2006, 88, 093511. [Google Scholar] [CrossRef]
- Monestier, F.; Simon, J.J.; Torchio, P.; Escoubas, L.; Flory, F.; Bailly, S.; de Bettignies, R.; Guillerez, S.; Defranoux, C. Modeling the short-circuit current density of polymer solar cells based on P3HT:PCBM blend. Sol. Energy Mater. Sol. Cells 2007, 91, 405–410. [Google Scholar] [CrossRef]










| Parameters | Value |
|---|---|
| Effective Bandgap, Eg | 1 eV |
| Electron (Hole) injection barrier, () | 0.1 eV |
| Effective density of states in conduction (valence) band | 2 × 1020 cm−3 |
| Relative dielectric constant εr | 3.5 |
| Parallel area resistance, Rp | 106 ohm·cm2 |
| Initial separation, r0 | 1.5 nm |
| Reactivity parameter, S | 0.05 cm/s |
© 2016 by the authors; licensee MDPI, Basel, Switzerland. This article is an open access article distributed under the terms and conditions of the Creative Commons Attribution (CC-BY) license (http://creativecommons.org/licenses/by/4.0/).
Share and Cite
Saleheen, M.; Arnab, S.M.; Kabir, M.Z. Analytical Model for Voltage-Dependent Photo and Dark Currents in Bulk Heterojunction Organic Solar Cells. Energies 2016, 9, 412. https://doi.org/10.3390/en9060412
Saleheen M, Arnab SM, Kabir MZ. Analytical Model for Voltage-Dependent Photo and Dark Currents in Bulk Heterojunction Organic Solar Cells. Energies. 2016; 9(6):412. https://doi.org/10.3390/en9060412
Chicago/Turabian StyleSaleheen, Mesbahus, Salman M. Arnab, and M. Z. Kabir. 2016. "Analytical Model for Voltage-Dependent Photo and Dark Currents in Bulk Heterojunction Organic Solar Cells" Energies 9, no. 6: 412. https://doi.org/10.3390/en9060412
APA StyleSaleheen, M., Arnab, S. M., & Kabir, M. Z. (2016). Analytical Model for Voltage-Dependent Photo and Dark Currents in Bulk Heterojunction Organic Solar Cells. Energies, 9(6), 412. https://doi.org/10.3390/en9060412

